有没有人知道如何对R中的Tweedie进行逐步回归?
我找到了mgcv包,它显然将Tweedie的功率参数作为另一个待估计的参数来处理。这似乎改进了必须使用tweedie.profile来估计glm之外的功率,因此使用自动逐步函数进行回归似乎是令人鼓舞的。但是我还没有弄清楚这个包是否也提供了一个逐步的功能。包装手册有这样的说法。
我在关于冰沙的谈话中迷失了方向:
在mgcv包中没有step.gam。 为了便于全自动的模型选择,该软件包实现了两种平滑修改技术,可用于将平滑缩小到零,作为平滑选择的一部分。
我很感谢你的帮助。谢谢。
发布于 2016-05-20 17:39:03
您的问题并不是专门针对"Tweedie“家族的,它是mgcv 在模型选择中的一个通用特性。
mgcv不使用step.gam进行模型选择。我认为您的困惑来自于另一个包gam,它将使用step.gam顺序添加/删除一个术语并报告AIC。当您使用?step.gam in mgcv时,它会将您推荐到?gam.selection。?step.gam是故意留在那里的,以防人们搜索它。但是所有的细节都是在?gam.selection中提供的。
没有必要在step.gam mgcv**.中做将模型估计和模型选择集成到** mgcv**.**中,当平滑参数达到无穷大时,其二阶导数被罚为零,留下一个简单的线性项。例如,如果我们指定的模型如下:
y ~ s(x1, bs = 'cr') + s(x2, bs = 'cr')虽然s(x2)是一个虚假的模型术语,不应该包含在模型中,但是mgcv:::gam/bam在估计后会将s(x2)缩小到x2,从而产生如下模型:
y ~ s(x1) + x2这意味着,当您使用plot.gam()检查每个模型项的估计光滑函数时,s(x1)是一条曲线,而s(x2)是一条直线。
现在,这并不完全令人满意。对于一个完整的、成功的模型选择,我们也希望删除x2,即将s(x2)缩小到0,以得到一个臭名昭著的模型:
y ~ s(x1)但这并不难做到。我们可以使用收缩光滑类bs = 'ts' (收缩薄板回归样条,而不是普通的tp)或bs = cs' (收缩三次回归样条,而不是普通的'cr'),mgcv:::gam/bam应该能够将s(x2)收缩到0。这背后的数学是,mgcv将线性项(即空空间)的特征值从0修改为0.1,这是一个很小但却是正数,因此惩罚对线性项生效。因此,当您执行plot.gam()时,您将看到s(x2)是0处的一条水平线。
bs = 'cs'或bs = 'ts'应该放在函数s()中;然而mgcv也允许您在s()中保持bs = 'cr'或bs = 'tp'不变,而将select = TRUE放在gam()或bam()中。select = TRUE是一种更通用的处理方法,因为收缩平滑器目前只有cs和ts类,而select = TRUE适用于所有类型的平滑规范。他们实际上也是这样做的,把0特征值增加到0.1。
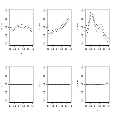
下面的示例取自?gam.selection下的示例。注意select = TRUE如何将几个术语缩小到0,从而提供了一个信息丰富的模型选择。
library(mgcv)
set.seed(3);n<-200
dat <- gamSim(1,n=n,scale=.15,dist="poisson") ## simulate data
dat$x4 <- runif(n, 0, 1);dat$x5 <- runif(n, 0, 1) ## spurious
b <- gam(y~s(x0)+s(x1)+s(x2)+s(x3)+s(x4)+s(x5),data=dat,
family=poisson,select=TRUE,method="REML")
summary(b)
plot.gam(b,pages=1)

注意,p-values in summary.gam()也为这样的选择提供了证据:
Approximate significance of smooth terms:
edf Ref.df Chi.sq p-value
s(x0) 1.7655119 9 5.264 0.0397 *
s(x1) 1.9271039 9 65.356 <2e-16 ***
s(x2) 6.1351372 9 156.204 <2e-16 ***
s(x3) 0.0002618 9 0.000 0.4088
s(x4) 0.0002766 9 0.000 1.0000
s(x5) 0.1757146 9 0.195 0.2963
---
Signif. codes: 0 ‘***’ 0.001 ‘**’ 0.01 ‘*’ 0.05 ‘.’ 0.1 ‘ ’ 1
R-sq.(adj) = 0.545 Deviance explained = 51.6%
-REML = 430.78 Scale est. = 1 n = 200https://stackoverflow.com/questions/37351338
复制相似问题