
DRUGONE
功能性磁共振成像(fMRI)是研究脑功能和神经疾病的重要工具,但现有分析方法通常依赖复杂的预处理流程和任务特定模型,导致结果在不同数据集和任务之间难以复现和迁移。
针对这一问题,研究人员提出了一种通用fMRI基础模型——NeuroSTORM。该模型直接从四维fMRI体数据中学习可泛化的表示,并通过大规模预训练实现跨任务迁移能力。其训练数据覆盖超过50,000名受试者、2865万帧fMRI数据,涵盖不同年龄、中心和实验条件。实验结果表明,NeuroSTORM在多个下游任务中均优于现有方法,包括人口统计预测、表型预测、疾病诊断、个体识别以及脑状态分类。在多中心临床数据中,该模型在17类疾病诊断任务中取得最佳表现,同时能够有效预测心理与认知表型。整体来看,该研究提出的框架为构建标准化、可迁移的fMRI分析模型提供了重要基础。

fMRI作为一种无创脑成像技术,广泛应用于神经科学研究、疾病诊断以及脑机接口等领域。然而,尽管深度学习方法在解析脑信号方面取得进展,当前fMRI分析仍面临严重碎片化问题。
不同研究通常采用不同的数据格式、预处理流程和模型设计,这种差异导致结果难以复现,并限制了模型在新任务中的迁移能力。此外,许多方法依赖特定任务设计,缺乏通用性。
基础模型的兴起为这一问题提供了新的解决思路。通过大规模预训练,模型能够学习通用表示,并在多任务中共享。然而,将这一理念应用于fMRI仍然具有挑战。一方面,fMRI数据是高维四维体数据,计算成本极高;另一方面,传统方法通常通过脑区划分或连接矩阵降维,这会丢失关键空间信息并引入偏差。
因此,研究人员提出,需要一种能够直接处理原始4D fMRI数据、同时具备高效计算能力和泛化能力的基础模型框架。
方法
NeuroSTORM采用统一框架,直接对原始四维fMRI数据进行建模。
在结构设计上,模型基于一种改进的时空建模架构,将状态空间模型与窗口机制结合,以降低计算复杂度并捕捉长程依赖关系。同时,通过掩码自编码策略进行自监督预训练,使模型能够从数据中学习稳定的时空特征表示。
为了应对fMRI数据中存在的高度冗余问题,研究人员引入时空冗余丢弃机制,在训练过程中有选择地去除重复信息,从而迫使模型学习更具信息量的表示。
在下游任务适配方面,模型采用轻量级提示调优策略,仅需调整少量参数即可完成任务迁移。这种设计在保持性能的同时显著降低了计算成本。
整体而言,该方法实现了从原始脑信号到通用表示的端到端学习。

图1:NeuroSTORM整体框架与数据体系。
结果
年龄与性别预测能力
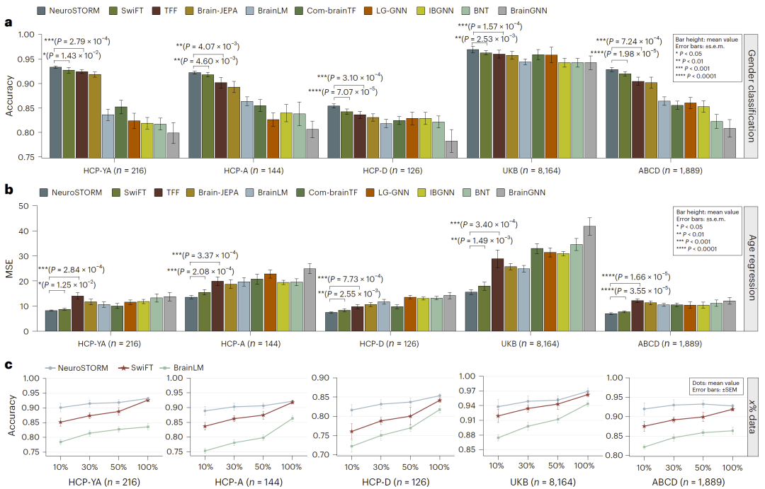
研究人员首先评估模型在基础人口统计预测任务中的表现。结果显示,NeuroSTORM在多个数据集上均优于ROI方法和体素级方法。
例如,在HCP-YA数据集上,性别分类准确率达到约93%,显著高于对比方法。在年龄预测任务中,模型同样取得最低误差,显示出其对脑结构变化的敏感性。
此外,在数据稀缺情况下,模型仍保持较高性能,即使只使用部分训练数据,其性能下降也明显小于其他方法,体现出良好的数据效率。

图2:年龄与性别预测性能。
表型预测能力
在表型预测任务中,NeuroSTORM能够从脑活动模式中推断认知、情绪、语言等多维特征。
实验结果表明,该模型在多个指标上均优于现有方法,并在数据减少时仍保持稳定表现。这表明模型能够捕捉复杂脑功能网络与行为之间的关系。
在临床数据中,模型对精神疾病相关指标(如情绪、认知等)同样表现出较强预测能力,说明其具有潜在临床应用价值。

图3:表型预测结果。
疾病诊断能力
在多种神经与精神疾病数据集上,NeuroSTORM均取得最佳或接近最佳表现。
例如,在ADHD、精神分裂症等任务中,模型显著优于现有方法。这一结果表明,其学习到的表示具有较强的疾病区分能力。
同时,在训练数据减少的情况下,模型性能下降较缓,进一步证明其泛化能力。

图4:疾病诊断结果。
个体识别能力
在fMRI重识别任务中,NeuroSTORM能够准确区分不同个体的脑信号特征。
实验结果显示,其识别准确率和平均精度均显著高于其他方法,说明模型嵌入空间能够有效保留个体特征信息。
这一能力对于脑数据检索和个体特征分析具有重要意义。

图5:fMRI个体识别性能。
脑状态分类能力
在脑状态分类任务中,模型能够识别不同认知任务或实验条件下的脑活动模式。
NeuroSTORM在多个任务中均取得最高准确率,并在低数据条件下仍保持优势。这表明其在捕捉动态脑状态方面具有强大能力。在药物状态分类实验中,模型还能区分药物作用前后的脑状态变化,显示出对功能变化的敏感性。

图6:脑状态分类结果。
讨论
该研究提出的NeuroSTORM为fMRI分析提供了一种通用基础模型框架,成功解决了长期存在的可复现性与可迁移性问题。
其核心优势在于直接处理原始4D数据,避免信息损失,同时通过大规模预训练学习稳定的时空表示。此外,轻量级任务适配机制使模型能够高效应用于多种任务。
与传统ROI方法相比,该模型能够保留更丰富的空间信息,从而在多项任务中取得更好表现。同时,其在数据稀缺场景下的优异表现,说明其具有实际应用潜力。
然而,该方法仍存在一定局限,例如训练数据存在人群偏差,以及对任务特异性信号的建模仍有提升空间。未来可通过引入多模态数据(如EEG、DTI)以及更丰富的先验知识进一步改进。
总体而言,该研究标志着脑影像分析从“任务模型”向“基础模型”转变,为构建通用脑科学AI系统提供了重要方向。
整理 | DrugOne团队
参考资料
Wang, C., Jiang, Y., Peng, Z. et al. Towards a general-purpose foundation model for functional MRI analysis. Nat. Biomed. Eng (2026).
https://doi.org/10.1038/s41551-026-01666-y
内容为【DrugOne】公众号原创|转载请注明来源