Laws in Darwinian Evolutionary Theory
达尔文进化理论中的定律
https://arxiv.org/PS_cache/q-bio/pdf/0605/0605020v1.pdf

摘要 本文讨论了近期关于制定达尔文进化动态定律的工作。尽管存在广泛共识认为生物学中可能存在一般性定律,但反对这种观点的意见也相当多。基于数学和生物学的最新进展,本文再次尝试探讨这一问题。具体而言,本文提出了三条定律,形成了生物学进化动态的数学框架。第二定律最具定量性,并以随机微分方程的独特形式明确表达。该定律捕捉了达尔文进化动态的显著特征:进化的概率本质、上升性以及适应性景观。该公式引入了四个动态元素:上升矩阵、横向矩阵、赖特进化势和随机驱动力。第一定律可以被视为第二定律的一个特例,它为讨论进化动态提供了参考点。第三定律描述了所关注的描述层次与其上下层次之间的关系,并定义了确定性驱动力和随机驱动力的二分法。它承认了生物学中的层次结构。本文还以F-定理的形式对费舍尔自然选择的基本定律提供了新的解释。所提出的定律基于时间和种群的连续性表示。它们的通用性通过与经典公式的一致性得到证明。这三条定律似乎为该学科的进一步发展提供了一个连贯的框架。 (发表于《生命物理评论》,2005年6月,第2卷第2期,第117-156页)


I. 引言 A. 背景
达尔文进化理论在生物科学中占据着独特的地位。实验生物学的进步以及新达尔文综合之后的野外观察数据,提出了许多新的问题,并引起了对之前未回答问题的关注。其中的一个核心问题是生物学中是否存在一般性定律。生物学家们以极大的热情回应了这些需求(12;18;23;24;28;32;54;65;74)。对现有理论进行了关键性的讨论(34)。勇敢地探索新理论(40),以探究秩序的起源。认真考虑了基因相互作用的上位性(82)。重新评估了平衡转移过程(13;31;61)。对物种概念的兴趣持续存在(54;63)。自然选择的基本定律(15;23;33)不断被重新审视。探索了各种优美的物种形成数学模型(18;28;42;72)。甚至对新的哲学意义进行了推测(76)和讨论(54)。这些努力丰富了对进化的定量和概念理解。
人们已经注意到(82),进化动态的定量表述对于回答新问题可能最为重要。仅靠文字描述已被证明是不够的,因为进化动态中各种确定性和随机性的贡献,无论是独立的还是相互作用的,通常具有相同的数量级。此外,相互作用可能是高度非线性的,合作行为也十分丰富。例如,正是基于这种考虑,斯图尔特(72)构建了他的基于对称性破缺的模型,加夫里列茨(28)提出了他的多孔适应性景观模型。本综述进一步发展了这一研究方向。我们尝试构建一个一般性和定量的数学框架,该框架似乎足够广泛,能够纳入非线性对称性破缺(72)和在多孔适应性景观中的扩散(28)的思想。它在概念上与达尔文动态一致。该表述似乎捕捉到了自然选择进化中的动态部分(16;17)。特别是,进化生物学中两个最具影响力的定量概念——赖特的适应性景观(83)和费舍尔的自然选择基本定律(25)——在经过现代进展的重新表述后,自然地融入了当前的表述中。当前的工作也可以被视为尝试将生物学和物理学中关于非平衡过程的方法统一起来的一种努力。
B. 数学描述的语言
本文所采用的数学方法基于连续表示法,该方法将时间和状态变量(例如生态动态中的物种种群数量以及群体遗传学中的基因型频率)均视为连续变量。选择连续表示法有三个原因。首先,由于连续表示法已在物理科学中广泛使用,因此很容易与这些领域建立联系。其次,从数学角度来看,任何离散过程都可以通过适当的连续过程来表示。因此,使用连续表示法并不会损失严谨性。第三,也是最重要的一点,生物学中离散和连续表示法之间的联系已经得到了广泛研究,例如在历史文献的注释性汇编(47)、最近的专著(12)以及近期的教科书(23;65)和在线书籍(24)中都有记录,并且已在群体遗传学中成功且广泛地应用。这些研究提供了实际生物学案例中出现的生物学参数与相应连续表示法之间的必要联系。这种联系也在物理科学中得到了研究(49;77)。因此,在本文的其余部分,我们将不再进一步讨论连续表示法的适当性。这意味着将要讨论的方程是微分方程。更准确地说,我们将提出三条进化定律,其中最重要的第二定律将以随机微分方程的独特形式表达。本文还将讨论这三条定律与已知经典表述之间的联系,并强调所假设定律的逻辑一致性,这使得本文的表述带有一定的抽象性。
C. 讨论内容
除了对文献的简要回顾,本文的重点是进化动态的结构,即应该有多少个独立的动态组分,它们的性质是什么,以及控制动态方程应该采取何种形式。我们不会讨论每个动态组分的具体结构。以经典物理学为例,我们试图回顾和建立的内容类似于牛顿的运动定律,而不是关于质量和力的结构,例如他的万有引力定律。因此,本文的内容在很大程度上类似于达尔文和华莱士发表自然选择进化理论时的内容(17):存在进化动态的定律,但动态组分的底层结构,例如与遗传学相关的结构,将不会被讨论,而是被假定为存在。这意味着许多定量且重要的问题,例如进化的速度(62),无法在本文中讨论,因为讨论这些问题需要对动态组分结构的了解。
D. 主题组织
本文其余部分的结构安排如下。在第二部分,我们将回顾生物科学和物理科学中关于进化动态定量表述的最新努力。在第三部分,我们将提出并讨论进化论的三条定律。我们将引入并讨论四个动态元素,并将费舍尔自然选择的基本定律重新解释为F-定理。在第四部分,我们将讨论所提出的三条定律与经典表述之间的联系。这种联系的一个示例将在第五部分中明确展示。F-定理将在第六部分中进一步讨论。第七部分将讨论当前表述的含义。第八部分将对选定的参考文献进行进一步说明。第九部分将总结本文的结果。
II. 进化动态定量表述的努力
在本节中,我们回顾了关于进化动态表述的先前努力。我们并不声称对文献进行了完整甚至全面的覆盖。然而,我们确实希望传达一个信息,即已经取得了相当大的进展,但争议仍然存在。
A. Ronald Alymer Fisher and Sewall Wright
费舍尔和赖特是为现代群体遗传学的定量分析奠定数学基础的最杰出人物之一(67)。他们的开创性工作标志着新达尔文综合的开始。1930年,费舍尔提出了自然选择的基本定律(25),将其比作物理学中的热力学第二定律。1932年,赖特提出了进化适应性景观,试图量化并可视化进化动态中的适应性(83)。自那以后,群体遗传学的数学发展最近被Ewens(23)总结,他努力讨论和对比费舍尔和赖特的观点,并为该领域进一步发展寻找共同基础。然而,围绕费舍尔和赖特的这些核心概念仍然存在大量争议。
人们普遍认为,费舍尔的自然选择基本定律并没有最终的表述形式。Ewens本人在他的书的第一版和第二版之间改变了对这一定律的解释,并认为自然选择的基本定律仍处于发展阶段。根据Ewens的说法,费舍尔的原始表述非常晦涩,但他认为这一定律确实是基本的。他分析了各种具体案例,以说明这一定律的广泛含义(23)。
可以得出结论,在所有这些例子中存在一个共同点:适应性增加与进化中的变异是等价的。Michod(55)也对这一主题进行了广泛讨论,并得出了类似的结论。
赖特的适应性景观概念的情况稍好一些。如果将“平均适应性的表面”解释为适应性景观,Ewens(23)对其本质进行了优雅的总结: “赖特提出了一个三阶段的过程,进化在这种情况下最容易发生。这种观点假设,大种群通常被分成半隔离的亚种群(或称部落),每个亚种群的规模相对较小。在每个部落内,存在一个基因型适应性表面,它依赖于许多基因座的遗传构成,并且根据‘平均适应性增加’的概念,基因频率倾向于移动,使得这个表面的局部峰值被接近。平均适应性表面被假定为非常复杂,具有多个局部最大值,其中一些比其他更高。如果完全确定性行为发生,系统将简单地移动到最近的选择峰值并停留在那里。相对较小的部落规模的重要性在于,这种严格的确定性行为不会发生:随机漂移可以使基因频率越过鞍点,可能在更高的选择峰值的控制下移动。选择值的随机变化也可以发挥相同的功能。”
在这里,适应性景观这一重要概念隐含在“平均适应性表面”中,已经在群体遗传学中被广泛使用,并且在物种形成讨论中特别具有启发性(18;28;42;72)。赖特概念的这种隐喻性和可视化部分在群体遗传学中尤其盛行,并且在整个生物学中甚至其他领域如统计物理学(70)和宇宙学(71)中都有所渗透。早在达尔文时代,19世纪的两位最伟大的物理学家——开尔文勋爵和玻尔兹曼——就已经认识到这些领域与达尔文动态之间的联系。有趣的是,受达尔文动态启发的思想甚至也被用于现代量子物理学(87)。然而,赖特概念的定量部分在生物学中仍然是一个未解决的问题。例如,关于平稳分布没有已知的简单显式公式(23)的说法,可以被视为这种怀疑的一个例子。
在赖斯(Rice)最近出版的关于群体遗传学数学基础的教科书中,可以找到一个更明确的否定性陈述。这一观点基于对极限环动态中潜在函数缺失的感知:“事实上,进化并没有一个普遍的潜在函数作为基础。为了证明这一点,我们只需要找到一个案例,在这个案例中,仅在选择的作用下,群体中的等位基因频率不会趋于一个稳定点,而是会永远持续变化。我们在图1.2中已经看到了这样一个例子。选择可能导致极限环的出现(见图1.2B),在这种情况下,群体会反复回到某个函数的相同状态,而这个函数在每一代中都在增加。需要注意的是,这并不与基本定律相矛盾,因为驱动这些波动的频率依赖性是方程1.52中E(δw)项的一部分。尽管进化理论并不是建立在任何量必然被最大化这一观点之上,但存在这样一个量的观点仍然是关于进化最广泛流传的误解之一”(65)。我们将在第五部分回到赖斯的这一陈述。
我们相信,正确理解赖特和费舍尔工作的关键在于,以现代物理学和数学的背景重新解释并精确地表达他们的观点,并表明这些观点已经隐含在经典表述中。这将在第三部分和第四部分中完成。
B. 生态进化
从生态学角度对进化动态的探索已经相当深入。这些努力已被总结,例如在Turchin(74)最近的专著中。该作者认为,普遍规律应该存在,并且应该能够产生与生态学相关的有用结果。特别是,这样一个通用框架在面对生物数据时,应在以下三个方面发挥建设性作用:定义我们想要解释的内容;将文字理论转化为明确的数学模型;以及使用正式的统计方法量化竞争模型预测数据的相对能力。这种观点显然在本文展示的生物学更广泛背景下也是有效的。
为了为生态动态提供一个一致的数学起点,Turchin提出了六个假设,推导出四个原则,并陈述了三个动态类别。例如,他的六个假设如下:(1)种群中生物个体的数量只能通过出生、死亡、迁入和迁出来改变;(2)种群机制是基于个体的;(3)存在一个密度上限;(4)在资源密度较低时,单个消费者遇到并捕获的资源个体数量与资源密度成正比——质量作用;(5)个体消费者从捕获的资源中获取的能量,用于生长、维持和繁殖,是捕获生物量的函数——生物量转化;(6)无论资源密度有多高,个体消费者摄取资源生物量的速度都不会超过其生理所决定的上限——最大摄取率。Turchin推导出的种群动态原则为将动态分类为定性的动态行为、各种机制的动态作用以及用于测试动态结果的零假设提供了一个基础。这些假设和原则似乎确实为分析生态数据提供了一个一致的基础。我们建议读者参考Turchin的书以获取详细阐述。
尽管我们认同Turchin对生物学中数学规律的积极观点,特别是关于它们的存在和重要性,但在如何进行这种一般性表述方面,确实存在几个重要差异。在概念层面,似乎Turchin没有区分进化动态结构的规律和动态方程中组成部分结构的规律。这可能并不关键,因为最终规律中动态结构和动态组分结构可能会相互耦合,例如在爱因斯坦的广义相对论中,质量和引力与空间和时间相互耦合。然而,我们相信在生物学中达到这种状态还有很长的路要走,而且最好从这两方面的规律是解耦的情况开始。另一个重要差异是,随机性在Turchin的表述中没有被强调其关键作用。因此,进化势和费舍尔自然选择的基本定律并不是Turchin明确讨论的主题。
在技术层面,Turchin表述中的假设数量似乎过多,甚至对于生态动态来说,这些假设也过于详细。然而,这些差异并不构成对Turchin表述真实性的反对。它们更多是关于从数学角度选择起点的问题,即哪一组公理会更方便。群体遗传学的当前表述将从不同的公理集合开始。我们相信,相同的公理集合也适用于生态动态的表述。在第八部分对我们的进化动态表述进行阐述后,我们将回到Turchin关于他的第一个也是最重要的原则的表述。
C. Ilya Prigogine
进化动态可以被归类为非平衡过程的范畴。在这方面,没有哪位当代学者比普里戈金做得更多。他早就认识到非平衡可能是秩序的来源。他还广泛研究并有力地推广了费舍尔自然选择基本定律与涨落耗散定理在物理学中的等价性,后者由昂萨格在1931年首次系统地提出(60)。他对涨落的重要性总结为:耗散结构和秩序都是通过涨落产生的。他的工作被凝练为他富有远见的耗散结构理论。要深入了解他的理论以及他所在学派的工作,最好的方式可能是阅读尼科利斯和普里戈金合著的专著(59)。
普里戈金强调了物理科学和生物科学的兼容性,尽管这可能有些偏向于前者。他指出(59):“生物过程并非处于自然之外,而是遵循适用于特定非线性相互作用以及远离平衡条件的物理定律”,并且“由于这些特定特征,能量和物质的流动可以被用来构建和维持功能和结构上的秩序”。这些理解如今已成为研究生物过程的基础。然而,即便持有如此坚定的信念,物理学中一个最重要的概念——势能——被认为在一般情况下并不适用(59)。我们将在第五部分回到这一点。需要指出的是,普里戈金学派的方法是下面讨论的经典方法的最好例子。
D. 非平衡动态中的势函数
在物理科学中,势函数在非平衡过程中的应用早已被充分认可。正如本文将讨论的,这种量可以对稳态或亚稳态附近的行为提供定量和定性描述,例如分布函数、亚稳态的寿命等。尽管许多研究者对势函数的存在性持否定意见(14;59),但自昂萨格1931年的工作以来(60),人们一直致力于寻找势函数并将其应用于实际问题。
直到1990年代,这些努力的结果被总结在van Kampen(77)和Risken(66)分别撰写的两本优秀书籍中。然而,总体上这种努力被认为并不十分成功(14;59)。情况可以概括如下:首先,没有一种通用且有效的方法来构建势函数。其次,如果将稳态分布函数的对数视为势,尚不清楚这种势如何与系统的动态轨迹相关联。换一种说法,已知所定义的势函数的极值点并不一定与漂移力的固定点重合。这种不匹配的发生原因和机制尚未被充分理解。
势函数在动态和统计背景中的概念如此有用,以至于许多研究者坚信其存在。尽管存在疑虑(14),但关于势函数构建的持续努力仍在进行,并在几个方向上取得了不错的结果。例如,Tanase-Nicola和Kurchan(73)通过扩展超对称方法,明确考虑了梯度系统的鞍点。他们从势函数的存在出发,以避免不可逆性这一最困难的问题:时间可逆对称性的破坏。结果是一种强大的计算方法,用于计算鞍点数量和逃逸率。
Lindner等人(48)在广泛存在于物理、工程和生物学中的可激发系统背景下,回顾了漂移力的固定点与稳态分布极值点之间的不匹配现象。通过计算机模拟观察到了丰富的现象。这种不匹配被视为一种数值实验发现:目前尚无数学或理论解释说明其为何以及如何发生。在另一项研究中,噪声在其中的有用和建设性作用被总结(81)。该研究认为,噪声在产生有用功能和秩序方面应发挥重要作用,其逻辑与Nicolis和Prigogine(59)的观点相同,但强调了最近的进展。然而,上述不匹配问题再次出现,构建的势函数通常被视为近似。
从一个看似不同的方向出发,有人尝试基于所谓的混沌假设为非平衡过程提供坚实基础。在混沌假设下,得到了一个有趣且重要的涨落定理,这进一步暗示了玻尔兹曼-吉布斯型稳态分布函数的存在。因此,在这种情况下,势函数很可能存在。然而,这种方法的困难在于,极少有实际物理系统被证明满足混沌假设,且数学构建与物理世界的联系尚不明确。Evans和Searles(22)对这一努力进行了综述。
由于亚稳态是一个如此重要的现象,且在构建势函数时遇到了困难,因此有人尝试绕开势函数问题,但仍能计算亚稳态的寿命。这种尝试导致了所谓的Machlup-Onsager泛函方法,由Freidlin和Wentzell(26)总结。这种方法一直受到积极关注(11;50)。一个开放性问题是,这种方法如何与基于势函数的方法联系起来,例如Kramers逃逸率公式所代表的方法(43)。显然,非平衡过程中势函数的构建研究反映了生物学中适应性景观的研究努力。
III. 进化动态的定律
在本节中,我们提出并讨论进化动态中的三条定律。我们将讨论它们的一些直接且重要的经验性后果。它们构成了进化动态的定量且一致的数学框架。我们还将讨论费舍尔自然选择的基本定律,并将其重新表述为F-定理。特别是,我们将表明它确实是当前表述中不可或缺的关系。
选择以假设形式呈现的合理性如下。
从积极方面来看,存在大量经验证据表明,群体遗传学的领域是自成一体的。假设这些定律将是一种直接承认群体遗传学这种自主性质的方式。这也使我们能够在一开始就引入赖特的适应性景观和费舍尔自然选择的基本定律。然后,我们可以表明当前的表述与经典表述是等价的。当前表述的最终重要性和正确性在于其能够与经验事实相联系。我们将在介绍过程中指出这些联系。
另一方面,目前还没有严格的推导表明,群体遗传学中的基本数学方程可以从物理和化学中更基础和微观的定律中得出。这些群体遗传学中的方程——在本文中被称为经典表述——是合理、自然的,并且得到了经验证据的有力支持。我们注意到,也没有证据表明它们与物理和化学中的定律不兼容。由于我们不会尝试推导当前的三条定律,因此我们必须选择一个合适的起点。此外,由于赖特的适应性景观和费舍尔自然选择的基本定律自70年前提出以来一直存在争议(如在II.A和II.D小节中讨论的),因此从经典表述中明确表达它们一直很困难。
假设的定律编号是任意的,以一种任意的标准将最重要的定律放在中间。我们从最重要且定量的第二定律开始。
A. 第二定律:达尔文定律

存在变异;存在选择;并且动态是适应性的。为了充分捕捉其特征,我们假设进化系统中的动态由一个随机微分方程控制,该方程包含四个动态元素。这些元素分别是正半定对称上升矩阵A、反对称横向矩阵T、标量函数赖特进化势ψ,以及随机驱动力ξ。方程如下:

这里,δ(t) 是狄拉克δ函数。在方程(2)中,我们假设随机驱动力是一个零均值的高斯白噪声。因子2是当前表述中的一个常规选择,而 ϵ 是一个正的数值常数,对于许多情况,可以将其设为1(ϵ=1),而不影响生物学描述。方程(2)所表达的随机驱动力与上升矩阵之间的关系保证了上升矩阵 A(q) 是正半定且对称的。
我们将在第四节讨论其与经典表述的等价性时,再详细讨论它与经验数据的联系。在本小节的其余部分,我们将讨论其一些直接且重要的后果。
很容易验证对称矩阵项是“上升的”:

它的动态效应是增加赖特进化势 ψ(q)。在这里,我们指出赖特进化势的图形表示对应于赖特最初设想的适应性景观。在本文中,我们尽可能避免使用带有预设含义的术语“适应性”。在这里定义的赖特进化势在动态和平衡中都有明确的含义,而适应性有时则没有。适应性景观的隐喻被扩展为包括所有可能影响所考虑进化过程的因素。上升矩阵使系统具有寻找最大势最大值(最高势峰)的倾向。这一特征将在讨论第一定律之后明确体现。反对称矩阵不会导致势的变化:

因此它是守恒的。从动态角度看,它倾向于使系统沿着等进化势轮廓线运动。横向动态的一个表现是振荡行为。随机驱动力 ξ(q,t) 对适应性景观中的运动的影响是随机的:它可以增加或减少进化势,也就是说,它可以在适应性景观中向上或向下移动。根据上述解释,自然选择的稳态效应由进化势的梯度 ∇ψ(q) 表示。对赖特进化势的清晰且直观的讨论最早由赖特(83)在其适应性景观的概念中明确表达:进化势的峰值对应于赖特的适应性峰值。这里引入的进化势是对赖特原始概念的推广。自然选择的节奏由上升矩阵和横向矩阵表示。
方程(1)表明,四个动态元素——赖特进化势的梯度、随机驱动力、上升动态和横向动态——必须相互平衡以产生进化动态。方程(1)是进化动态的基本方程,以随机微分方程的独特形式表达:据我们所知,这种形式既未在群体遗传学中使用,也未在数学文献中广泛讨论。根据上述关于随机驱动力和上升矩阵的讨论,我们可以称补充方程(2)为随机性-上升性关系。我们将在本节的最后一个子节中讨论它,并建议将方程(2)命名为F-定理。
在本文中引入的赖特进化势 ψ 通常是一个关于状态变量(生态学中的种群数量和群体遗传学中的基因频率)的强非线性函数。它在几个方面类似于物理科学中的能量的作用。事实上,它与物理科学中通常使用的势能符号相反。在这里,它是独立于时间的。更准确地说,赖特进化势的时间变化相对于问题的时间尺度是缓慢的。可以将当前讨论扩展到显式的时间依赖情况。如果赖特进化势在上方有界,则在状态空间中找到系统处于 q 的稳态概率密度存在,并且预期是一个玻尔兹曼-吉布斯分布:

这里,

,是物理学中的配分函数,它是对整个状态空间的求和,并作为归一化因子。方程(6)将在下一部分作为方程(38)推导出来。或者,也可以通过将其代入方程(39)直接验证。对于熟悉物理学中的朗之万方程(30;77)的读者来说,以 −ψ 作为能量,ϵ 作为温度,方程(6)可能看起来直观上显而易见。对于不熟悉相应物理学的读者,需要暂时信任方程(6),直到方程(38)和(39)或(42)。
我们应该指出,进化的动态方面,即横向矩阵 T 和上升矩阵 A,并没有显式地进入方程(6)。这类似于经典物理学中的能量函数。这表明赖特进化势代表了进化过程的最终和终极选择。它描述了系统最终需要适应的景观。然而,上升矩阵和横向矩阵以及随机驱动力确实会影响系统达到这种稳态的时间。从方程(6)可以看出,常数 ϵ 越大,平衡分布就越宽,变异就越多;或者,ϵ 越小,分布就越窄。在这个意义上,我们可以称 ϵ 为进化热度。这种玻尔兹曼-吉布斯型分布的存在暗示了一种全局优化。
这里可以得出几个直接且重要的结论。在进化势的最大值附近,对应于通常的赖特进化势峰值,假设在

,我们可以展开势能:

这里,U 是一个正定对称矩阵,这是势能峰值的必然结果。在该峰值附近找到系统的稳态概率密度是一个典型的高斯分布:

因此,远离势能峰值时,找到系统的概率将呈指数级减小。这种行为早已在许多生物模型中被观察到(12;23;24)。
人们可能会好奇,系统是如何从一个势能峰值移动到另一个势能峰值的?这一过程最初由赖特(83)进行了可视化。相关的数学计算似乎最早是由克拉默斯(43)完成的。它已经被应用于生物学(9),并表明随机驱动力必须参与其中。从一个势能峰值跳到另一个势能峰值必须借助随机驱动力。跳跃率 Γ 中的主导因素通常是起始峰值(峰值1)与跨越山谷到达另一个峰值的最高点(鞍点 qsaddle)之间的势能差(9;43;77):

当指数变得很大时,这个速率很容易变得指数级小。前置因子 P0 通常是上升矩阵 A、横向矩阵 T、数值常数 ϵ、起始和结束峰值的位置以及鞍点的平滑函数。在几种情况下,P0 的表达式已经被明确推导出来(43;77)。方程(9)是对鲁棒性和稳定性的定量衡量。因此,它可以解释物种相对稳定的常见观察结果。在这里,物种被识别为一个特定的峰值。然而,方程(9)暗示了当随机驱动力有限时,系统在峰值之间移动的可能性。
赖特所描述的平衡转移过程(如Ewens(23)总结的,见第二部分A小节)显然是方程(9)的一个恰当的文字表述。我们希望进一步扩展这种类比。赖特所使用的较小种群规模和半地理隔离群体(部落)无疑会因为增强的波动而提高过程的跃迁率。在物理学中讨论从亚稳态到更稳定态的转变时,这种过程已经被数学上仔细研究过:要求整个系统同时发生转变在能量上是非常不利的;相反,考虑这种转变首先在局部、在空间受限的区域内发生更为可行。这种过程在物理学、化学和工程学中被称为成核过程(45)。
我们强调方程(9)的一个重要定性特征。峰值之间的跃迁率是赖特进化势 ψ、静态景观(如果我们忽略其时间变化)、随机力 ξ 和上升矩阵 A 的共同结果。随机力的强度度量 ϵ 直接出现在方程(9)的指数中,作为赖特进化势的尺度。
由方程(1)和(2)表达的第二定律捕捉到了达尔文和华莱士(17)首次描述、达尔文(16)广泛阐述,并由费舍尔、霍尔丹、穆勒和赖特(67)以及许多其他人(12;24)进一步发展的进化动态的主要特征。它将进化过程表达为一种“修补”过程(39)。在这个意义上,我们也可以称第二定律为达尔文定律。必然性和偶然性(57)分别由赖特进化势和随机驱动力来体现。
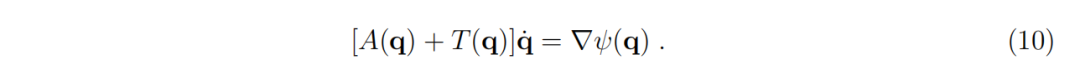
B. 第一定律:亚里士多德定律
第一定律反映了进化中不存在随机驱动力的情况,即 ϵ=0。这显然是一种近似,因为变异总是存在的(41),尽管在某个尺度上它可以被视为很小。
当随机驱动力可以忽略不计时,方程(1)变为

由于上升矩阵 A 是非负的,系统将趋向于由其初始条件决定的最近吸引子,并且如果已经处于该吸引子上,就会停留在那里。具体来说,因为

(方程(4)和(5)),方程(10)导致

这个方程表明,确定性动态不能降低进化势:状态变量的速度

与赖特进化势的梯度 ∇ψ(q) 指向相同的方向。如果上升矩阵是正定的,即对于任何非零的

,

,系统的势能总是增加的。因此,第一定律清楚地表明,系统具有找到由初始条件决定的、由赖特进化势所代表的局部适应性景观峰值的能力。然而,在这种极限情况下,不同进化峰值之间的转换将变得不可能,因为根据方程(9),当 ϵ→0 时,转换概率会指数级地消失。我们注意到,方程(11)表明赖特进化势是动态系统中的一个李雅普诺夫函数(35)。
我们在这里有两个评论。首先,从动态系统的数学理论来看,通常有三种类型的吸引子(35):点吸引子、(非)周期吸引子和混沌(奇异)吸引子。
点吸引子自赖特的工作以来已在进化生物学中得到了广泛研究,对应于赖特进化势的最大值。其他两种类型的吸引子也在生物学中被观察到(1;38;51;58)。群体遗传学中的周期吸引子或极限环(1;38)将在第五部分中明确讨论。对于点吸引子,横向矩阵可以为零。那么,通往势能最大值的上升路径将遵循由赖特进化势定义的景观中最陡峭的上升路径。对于其他两种类型的吸引子,横向矩阵不能为零。
如果我们进一步假设在方程(10)中上升矩阵 A=0,进化动态将不会改变系统的进化势,因此它是完全守恒的。这正是可以从牛顿动力学中得到的结果(30):能量在牛顿动力学中是守恒的。在这里,我们暂且将这种守恒动力学称为牛顿动力学:牛顿动力学可以被表述为

这导致了我们的第二个评论:基于这种考虑,人们可能会倾向于得出这样的结论:牛顿动力学是达尔文动力学(由方程(1)和(2)表达)的一个特例,即上升矩阵消失 A=0 和随机驱动力为零 ξ=0 的情况。许多生物学家可能会认为这个结论是自然的(19;53)。
方程(10)所暗示的趋向于一个固定点(平衡)并停留在那里的倾向,已经被亚里士多德(8)充分讨论过,这在物理学和生物学中都是众所周知的。周期性运动可能在古希腊时期就已经被知晓,但奇怪吸引子的概念肯定对亚里士多德来说是陌生的。然而,为了捕捉当 ϵ=0 时趋向于吸引子的这种倾向,

并且能够停留在那里,我们可以称方程(10)为亚里士多德定律。很明显,在当前的设定中,第一定律在数学上是第二定律的一个特例。如果可以忽略随机性,这一定律确实为我们提供了一个必要的参考点,以便清晰地定义物种和其他相关量。
为了避免可能的误解,我们需要做两点说明。正如前面所强调的,只有“趋向于稳定固定点”的含义被用于将方程(10)命名为亚里士多德定律。我们的第一个评论是,亚里士多德并不理解动力学的保守部分。保守动力学最清晰的体现是惯性定律,这一定律由牛顿首次作为物理学中的第一运动定律提出,开启了现代科学。第二个评论是,尽管我们在方程(10)中假设它为零,但涨落或随机性是重要的。我们在方程(2)中假设上升矩阵 A 与随机驱动力 ξ 相关联。正是达尔文首次充分认识到涨落在生物进化中的重要性,因此才有物种的起源和变化。这些概念在当时并未被亚里士多德所理解。
C. 第三定律:层次定律
第三定律是一种关系定律。它允许我们定义所关注的(为了方便描述,称为介观)描述层次与其更低的(微观)和更高的(宏观)层次之间的联系。例如,在生物学中至少存在三个相互影响的大分支:生态动态(51;74)、群体遗传学(23;55)——这是本文的焦点,以及基因调控网络的动态(56;85;86)。每个分支可能都有自己的数学方程,但它们肯定不是孤立的。例如,所有这些动态都通过物种中每个个体生物的行为表现出来。从动态角度看,每个分支都有其自身特征的时间尺度:生态学在物种种群方面可能较慢,涉及许多代。群体遗传学的连续描述也需要跨越许多代的时间跨度。基因调控网络的动态则较快,因为它可以在一代内发生。
将我们的注意力限定在群体遗传学上,如何将离散动态(微观层次)与连续动态(所关注的层次)联系起来,是第三定律的内容。它可以表述如下:赖特进化势 ψ(q) 包含来自更低层次的贡献,这种贡献是以观察和描述的层次——即当前所关注的层次——的时间平均值来表示的;它还包含来自所关注层次中各个组分之间相互作用的贡献,以及来自更高层次的贡献。随机驱动力 ξ(q,t) 是所有这些贡献的剩余部分,这些贡献在所关注层次的感兴趣时间尺度上动态变化较快,因此其时间平均值为零。这种随机贡献可能来自微观(更低)和介观及宏观(所关注和更高)层次,但其细节可能未知或无需详细指定。只需要它的概率分布,并在本文中用高斯分布来近似。随机驱动力决定了上升矩阵 A(q),而横向矩阵 T(q) 应该由系统的动态进一步确定。
来自更低(微观)层次对赖特进化势 ψ(q) 和随机驱动力 ξ(q,t) 的贡献可能允许我们计算内在的适应性景观和进化的内在来源。然而,从历史上看,这种贡献的计算往往忽视了水平相互作用,即在同一描述层次上不同种群之间的相互作用,这种相互作用通常是非线性的。另一方面,相同和更高层次的贡献可能表明,一种控制机制(例如反馈)可能来自所有三个层次。这三者的结合表明,进化是非线性的、不对称的、相互作用的、随机的,并且可能是可控的。
在描述层次的划分以及方程(1)中确定性和随机性项的二分法中,存在一定程度的不确定性和任意性。这种困境在物理科学(66;77)和生物科学(47;75)中都得到了充分讨论。这也反映在随机过程的数学理论中。我们解决这一问题的方法将在下一节中提出,作为与通常动态相关的零质量极限,这与Ito和Stratonovich方法都不同,并且可以被解释为层次结构丰富性的一种体现。层次定律要求对随机微分方程的分析进行具体说明。如果没有这样的说明,方程(1)和(2)将成为van Kampen(77)讨论的前导方程。
第三定律反映了整个动态的层次结构。这一定律的本质是承认存在多个时间尺度:我们用来观察所关注层次系统动态的介观时间尺度,以及细部结构和微观动态起作用的微观时间尺度。在某种特定意义上,微观时间尺度可以被视为零。
D. F-定理
在费舍尔关于进化遗传基础的经典著作(25)中,他提出了自然选择的基本定律(FTNS):任何生物在任何时刻适应性的增加速率等于其在该时刻适应性的遗传方差。这一表述连接了两个相反的过程:趋向最大值的过程和变异的过程。
费舍尔注意到FTNS与热力学第二定律之间存在深刻的相似性(25): “两者都是群体或集合的属性,与构成它们的单元的性质无关;两者都是统计定律;每一条都要求一个可测量量的持续增加,在一种情况下是物理系统的熵,在另一种情况下是生物群体的适应性(用 m 表示)。正如在物理世界中,我们可以设想一些没有耗散力的理论系统,其中熵保持不变,我们也可以设想(尽管不期望找到)遗传方差绝对为零的生物群体。”
他的最后一条陈述与第三节B部分中对第一定律的讨论非常契合。他将FTNS比作热力学第二定律,并认为它“应该在生物科学中占据至高无上的地位”。
然而,费舍尔也注意到了五个令人困扰的差异(25),或者如古尔德(32)后来所说的例外: “(1)热力学中考虑的系统是永恒的;相反,物种容易灭绝,尽管生物改进预计会持续到它们存在的最后时刻。 (2)尽管适应性可以通过统一的方法测量,但每种不同生物的适应性在本质上是不同的,而熵(像温度一样)被认为对所有物理系统具有相同的含义。 (3)适应性可以通过环境变化增加或减少,而不会对环境产生定量的反作用。 (4)熵的变化在物理世界中是不可逆的,而不可逆的进化变化在生物现象中并不例外。最后, (5)熵的变化导致物理世界的逐渐无序化,至少从人类利用能量的角度来看是这样,而进化变化通常被认为在有机世界中产生了更高的组织性。”
在当前的表述中,我们注意到随机性-上升性关系(方程(2))类似于物理和化学中的涨落耗散定理(FDT)(60;84)。FDT可以用以下语言表述(44):在典型平衡或稳态配置附近驱动涨落的相同过程,也会在配置偏离平衡时将其驱回典型平衡。这是非平衡过程中最重要的结果之一。FTNS与FDT之间的一个显著相似之处在于,趋向平衡的过程是由涨落或变异驱动的。FTNS和FDT都表明,从进化势峰值返回和在峰值周围的涨落是由相同的过程控制的。因此,对FTNS的正确解释应该是动态的,而不是热力学的。因此,我们应该用赖特进化势替换费舍尔表述中的适应性。此外,我们注意到适应性不应与熵相对应,正如费舍尔所做的那样。也不应将FTNS与热力学第二定律联系起来。相反,FTNS应对应于随机性-上升性关系(方程(2)),即物理和化学中的FDT。
将FTNS解释为FDT后,费舍尔列出的FTNS的五个例外(如上所述)消失了:由于赖特进化势不是熵,因此与物理世界中的熵没有可比性,第(4)和(5)条例外立即变得无关紧要。事实上,薛定谔(69)通过他的“负熵”一词很好地展示了生物学与物理学之间的差异。生物系统是开放的,与热力学第二定律适用的封闭系统不同。这一重要观察已被普里戈金在其耗散结构理论中定量且详细地表述(59)。
正如群体遗传学的研究(47;75)所指出的,需要跨越许多代来建立连续表示,这是第三定律的一个表现。上述例外(1)所描述的情况已经被精确地处理。由于赖特进化势不是熵,并且它是针对每种情况定义的,因此第(2)条例外也不再适用。此外,赖特进化势是一个相对概念,没有绝对势值的意义。它也是一个局部和个体的概念。相反,熵具有绝对值,并且是全局性的。因为进化势只能通过一个参考点来定义,如果一个物种的环境发生变化,即使其直接的生物学后果尚不清楚,其进化势也会改变。因此,第(3)条例外在当前表述中不适用。
我们应该记住,不应过多纠结于费舍尔的措辞:他在物理和化学中的一般性FDT表述之前就提出了FTNS,而他的表述已经接近现代形式:FDT确实被视为热力学第二定律的动态表现。在当前的重新表述中,FTNS代表了一个卓越的洞见:它立即将适应性与在赖特进化势定义的适应性景观中的随机驱动力联系起来。
我们回到费舍尔FTNS的原始内容。如果种群保持固定,而状态变量是遗传变量,那么方程(2)中的变异确实应该是加性遗传变异。即使在这种情况下,我们也应该强调方程(2)与赖特进化势是独立的。这种独立性是其重要性的标志。例如,如果没有适应性选择,即赖特进化势是一个常数,根据FTNS,系统将在整个状态空间中扩散,以寻找超空间中最大且简单连通的体积,例如在物种形成中的多孔适应性景观模型(28)。这表明费舍尔表述中使用的“增加速率”并不准确,可能仅在势能最大值附近成立。一般来说,是扩散矩阵与传统表述中的随机性相关联,我们将在下一节中讨论。我们将在第六节中进一步阐述这一点。
正如第一定律所暗示的,系统的上升性由上升矩阵 A 描述,而根据随机性-上升性关系(方程(2)),上升矩阵完全由随机驱动力 ξ 确定。方程(9)之后的讨论表明,系统找到更好的进化势最大值的能力——不仅仅是最近的局部最大值,或者达到全局平衡的能力——是由随机驱动力保证的。这表明方程(2)是对两种完全相反倾向——适应性和优化——的统一声明。
有趣的是,即使是上升性与随机效应的这种统一,费舍尔也未能完全揭示出来。如果没有动态方程中的随机驱动力,我们实际上处理的是方程(10),即当前表述中的第一定律。因此,进化最终将导致最高的局部峰值,并停留在那里。从数学上看,这意味着最终 q˙(t→∞)=0,这一事实与观察结果明显矛盾。费舍尔显然认识到了这一困难。他通过“环境恶化”来解释适应性的持续变化(25),这虽然更难通过观察来验证,但也并不完全符合观察结果。根据当前的表述,将随机驱动力纳入动态方程使得引入“环境恶化”变得完全不必要。正如方程(1)和(2)所描述的,在进化势峰值处存在一种动态平衡。
自费舍尔提出自然选择的基本定律以来,如克劳(Crow)(15)和格拉芬(Grafen)(33)所讨论的,这一深刻的表述一直伴随着误解和误读。尽管费舍尔可能将他的讨论限制在遗传变异范围内,但将费舍尔的表述与方程(2)进行比较,显示出惊人的相似性。我们再次强调,方程(2)的左边是变异的度量,应包括所有影响进化动态的变异,包括加性遗传变异;而右边可以被解释为达到赖特进化势峰值的速率,适当选择单位后。因此,我们也可以将方程(2)称为进化的基本定律,以向费舍尔的深刻洞察力致敬,或者称为费舍尔定律。由于其与物理中的涨落耗散定理相似,我们可以简单地将方程(2)称为F-定理,以涵盖所有相关含义。其重要性显而易见:它是进化第二定律(达尔文动态)的一个组成部分。它使系统能够找到全局进化势的最大值。需要再次指出,当前表述中的F-定理与赖特进化势无关:即使赖特进化势是一个常数,它也存在。通过将变异推广到遗传变异之外,这一定律也可以应用于生物学的其他领域,例如发育生物学和生态学。
有必要对语义学做一个说明。在本小节中,我们将方程(2)称为F-定理,与自然选择的基本定律和涨落耗散定理联系起来。从严格的数学意义上讲,这是不合适的:方程(2)在本文中被引入为一个假设的一部分。它是公理的一部分,而不是当前表述中的一个推导结果。然而,就像在涨落耗散定理的情况下一样,我们相信F-定理可能可以从更基础的描述中推导出来,这里的“定律”一词正是在这个意义上使用的。然而,对于群体遗传学中的F-定理,我们并不知道有任何这样的推导。对于物理和化学中涨落耗散定理的推导,我们建议感兴趣的读者参考文献[(27)]和[(22)],以了解其难度,其中对其数学上的严格证明仍是一个正在进行的研究项目。
IV. 经典表述
本节的目的是证明在第三节中提出的三条定律实际上深深植根于进化动态的经典表述中。它将揭示,特别是在第四节A小节中,需要一种由横向矩阵 T 表示的保守动态来统一赖特和费舍尔的思想。这种保守动态在进化动态的研究中一直被忽视。下面对等价性的证明还提供了一种方法——尽管在数学和计算上可能并不容易——用于从经典表述中计算赖特进化势、上升矩阵和横向矩阵。
已知研究动态有几种不同的立场。一种关注状态变量随时间变化的轨迹,例如牛顿的三大动力学定律。另一种关注状态变量的分布,例如物理学中经典动力学的刘维尔表述(30)。这两种方法是等价且互补的。还有一种是动态的离散描述方法,它可以与上述两种立场中的任何一种相联系,但在本文中不会深入探讨。对于这种联系,我们建议读者参考群体遗传学中的注释性论文集(47)以及物理科学中的一篇富有洞察力的论文(49)。从系统状态空间中的轨迹或概率分布函数的演化角度来看的先前方法将暂且被称为经典表述。
A. 标准随机微分方程
现在,我们建立由方程(1)和(2)描述的动态与进化中常见的动态方程之间的联系。我们从数学文献中广泛使用的标准随机微分方程开始(75;77):

在这里,f(q) 是系统的确定性非线性驱动力,它包括来自其他组分以及自身的效应。随机驱动力是 ζ(q,t),它在形式上与方程(1)中的 ξ 不同,但两者都受相同的动力学控制。为了简化,我们将在需要时假设 f 是一个光滑函数。不失一般性,方程(14)中的随机驱动力被假设为高斯白噪声,并具有方差。

并且其均值为零,⟨ζ(q,t)⟩=0。方程(9)与方程(2)一致,均为高斯白噪声且具有相同的动力学来源。这里的 ⟨…⟩ 表示对随机驱动力 ζ 的动力学取平均,而不是对状态变量 q 进行平均。根据生物学的惯例,正半定对称矩阵 D={Dij},其中 i,j=1,2,…,n,是扩散矩阵。
非线性驱动力 f 的散度和斜矩阵通常均不为零:

由于散度不为零,状态空间体积不守恒,从而导致上升性。斜矩阵再次不为零,或者换句话说,选择矩阵 S 是不对称的。这意味着横向矩阵 T 的存在。
关于符号的说明是必要的:在经典表述(23)中,D 的对角部分被称为方差,也称为扩散系数,而 D 的非对角部分被称为协方差。从数学上看,存在一个坐标变换可以对角化矩阵 D,从而在新的坐标表示中将 D 转化为扩散系数。为了同时保持 D 的一般表达式并保留扩散的含义,我们在这里将整个矩阵 D 称为扩散矩阵。扩散矩阵 D 通常是状态变量和时间的函数。
现在,我们给出一个明确的构造,以展示方程(1,2)和方程(14,15)之间的联系。假设方程(1)和(14)描述了相同的动态。那么在两个方程中速度 q˙ 是相同的。从方程(1)到(14)的联系是直接的:将方程(1)的两边乘以

,就可以得到方程(14)。
将方程(14)转化为(1)在数学上更为复杂。使用方程(14)消除方程(1)中状态空间中的速度 q˙,我们有

随机驱动力的动力学与状态变量的动力学不同。这在方程(2)或(15)中表现为平均值不是对状态变量进行的。这与第三定律也是一致的:随机动力学来自不同的层次。因此,随机驱动力和状态变量可以被视为独立变量。这表明可以得到以下两个方程:

这两个方程暗示了状态空间中的某种旋转。
将方程(20)的两边分别乘以其自身的转置,并对随机驱动力取平均,我们有

在得到方程(21)时,我们也使用了方程(2)和(15)。方程(21)暗示了标准随机微分方程和方程(1)之间的一种对偶性:当横向矩阵 T 较小时,较大的上升矩阵 A 意味着较小的扩散矩阵 D。在横向矩阵 T 较大的相反极限情况下,扩散矩阵 D 与上升矩阵 A 成正比。这是爱因斯坦关系(20;77)对非零横向矩阵的推广。
接下来,我们引入一个辅助矩阵函数 G,以便更好地与经典表述相联系,其定义为

这里的“−1”表示矩阵求逆。这种辅助函数揭示了当前表述与经典表述之间的紧密关系。特别是,经典表述中方差的作用——扩散矩阵 D,在 G 中有直接的意义,下面的方程(27)将举例说明这一点。
利用赖特进化势 ψ 的性质:


这很容易确定辅助矩阵 G 的对称部分,这是另外

个条件。方程(24)和(27)构成了一组完整的方程:它们包含的方程总数为

,这正是用来确定辅助矩阵 G 的方程数量。因此,在适当的边界条件下,可以找到 G,进而确定 A、T 和 ψ。下面介绍一个梯度展开方案来求解方程(24,27),强调固定点所起的作用:在固定点附近是精确的。
辅助函数 G 可以通过梯度展开的形式迭代求解:



这里使用了充分条件

,积分路径 C 的起点和终点分别是 q 和 q0。
我们指出,在随机驱动力趋于零的极限下,即方程(2)和(15)中的 ϵ=0,上述联系仍然保持不变。
B. 福克-普朗克方程
在生物学的实验研究中,我们通常对状态变量随时间的分布感兴趣,而不是专注于系统的个体轨迹。这在群体遗传学中尤为明显,因为该领域几乎完全处理分布问题。这意味着要么存在一组相同的系统,要么进行了重复实验。为了描述这种情况,我们需要一个相空间中分布函数的动态方程。这一目标可以通过所谓的福克-普朗克方程(或扩散方程,或柯尔莫哥洛夫方程)来实现(12;23;47;66;77)。
在本小节中,我们将提出一种新方法来寻找分布函数的方程。这一方法是从理论物理学的角度出发的。该方法将证明方程(1)中的赖特进化势 ψ 确实像赖特所设想的那样,在物理学中扮演了势能的角色:适应性景观通过进化势来量化,而稳态分布由方程(6)给出。系统确实倾向于停留在进化势的峰值处,正如分布函数所暗示的那样。我们的起点将是第二定律(方程(1)),而不是标准随机微分方程(方程(14))或主方程——大多数群体遗传学中先前推导的起点(23)。
方程(1)中既存在确定性驱动力又存在随机驱动力,这表明系统中存在两个明显分离的时间尺度:微观(或精细)时间尺度用于描述随机驱动力,宏观(或粗略)时间尺度用于描述系统运动。前者的尺度远小于后者。这种时间尺度的分离进一步表明系统的宏观运动具有“惯性”:它不能瞬间响应微观运动。为了捕捉这一特征,我们引入一个小的常数惯性“质量” m(与费舍尔使用的 m 无混淆)和系统的动能动量向量 p。我们的状态空间随之扩大:它现在是一个 2n 维空间。系统的动态方程形式为:

这是方程(1)的扩展:在 m→0 的极限下,我们重新得到方程(1)(参见下文)。我们注意到,上升矩阵 A和随机驱动力与动能动量 p 无关。在这个扩展的状态空间中,福克-普朗克方程可以立即得到(77):

其中

是在扩展状态空间中的配分函数。在方程(38)中,状态变量与其动能动量有明确的分离。在小质量极限下消除动量不会影响这一分布。因此,方程(38)确认了从方程(1)和(2)导出的预期玻尔兹曼-吉布斯分布(方程(6))是正确的分布函数。
我们继续概述在没有动能动量 p 的情况下,找到对应于方程(1)和(2)的福克-普朗克方程的程序。我们首先说明如何从方程(34)和(35)中恢复方程(1)。在 m→0 的极限下,动能动量 p 的快速动态总是跟随状态变量 q 的运动,而 q 的动态是缓慢的。因此,我们可以在方程(35)中设 p˙=0,并使用方程(34)替换动能动量,然后将速度移到方程的左侧,从而得到方程(1)。对于福克-普朗克方程,稳态分布中动能动量与状态变量的明确分离为程序提供了指导:得到的福克-普朗克方程必须能够再现这一特征。因此,福克-普朗克方程被找到为

标准随机微分方程与福克-普朗克方程之间的联系在过去70年中已经受到了生物学家、物理学家、化学家、数学家等的广泛研究。然而,在一般非线性情况下,这种联系仍然存在一定的模糊性。这种模糊性主要源于随机微分方程的渐近性质,尤其是在处理非线性系统时,如何从随机微分方程(SDE)推导出福克-普朗克方程(FPE)仍然存在理论上的挑战。
从生物学的角度来看,这种模糊性反映了确定性与随机性驱动力的二分法,这是动力学层次结构的一个真实体现。在本节中展示的方法是实现这种联系的一种方式:

从数学上看,我们现在证明了方程(1)和(2)与经典表述(方程(14)和(15)或方程(39))之间的等价性:确实存在进化势、上升矩阵和横向矩阵。层次结构通过零质量极限 m→0 表示。在方程(14)和(15)的经典表述中,四个动态组分全部混合在一起。对于由方程(39)或(42)表示的经典表述,不仅四个动态组分混合,还需要零质量极限。因此,方程(39)或(42)实际上编码了第三节中提出的三条定律。从方程(1)和(2)到方程(14)和(15)是直接的:仅涉及代数操作。相反的过程通常并不容易:从方程(14)和(15)到方程(1)和(2)显式构造进化势的任务涉及求解一阶偏微分方程,并给出适当的边界条件。这种困难在之前的尝试中已经遇到,也是成功案例有限的原因(14;59)。在下一部分,第五节中,将讨论一个非平凡的例子。
还有一个关于动能动量 p 和质量 m 的意义的问题。它们在经典物理学中的意义是明确的,这里不再详细讨论。我们建议读者参考文献[(30)]以获得权威性的讨论。然而,在群体遗传学中,它们的确切意义并不清楚。在这里,它们被用作数学工具,以建立方程(1)和(2)的当前表述与经典表述之间的联系,并证明进化势和其他量确实存在。它们也被用作一种实现群体遗传学中层次结构的方法。最终,它们并没有明确出现在动态方程中。它们是否在群体遗传学中,甚至在生物学中具有更深层的意义,还有待探索(参见第七节C小节)。
C. 详细平衡条件

赖特进化势以及方程(1)与标准随机微分方程之间的联系可以直接从方程中读出。这种对称动态在生物学(12;24;47)和物理学(77)中是众所周知的。在生物学中,产生这种平衡态的条件最早是由哈代(37)和温伯格(80)注意到的,回顾起来,这一条件是零概率流条件,即通常所说的详细平衡条件。
D. 关于第三定律的进一步讨论
我们可以进一步阐释第三定律。在得到方程(39)时,我们采用了一种特定的方式来对随机驱动力和确定性驱动力进行分类,即零“质量”极限 m→0。我们在第三节C小节中提到,还有其他方法可以进行这种分类。其中两种在物理和生物科学中特别著名,分别是伊藤(Ito)和斯特拉托诺维奇(Stratonovich)方法。从方程(14)和(15)出发,根据伊藤规则,福克-普朗克方程为(77)


方程(39)、(49)和(51)彼此不同。主要区别在于确定性驱动力 f:在对驱动力进行适当重新定义后,它们都可以被改写为方程(39)的形式,但具有不同的 Δf(q) 和不同的 f,以对应回方程(1)和(2)。这种数学重构类似于热力学中的勒让德变换,并将在其他地方进行探讨。这些方程——方程(39)、(49)和(51)——表明,在达到方程(39)时,第三节中提出的第三定律是必要的。很明显,所有四个动态元素都隐含在方程(39)中。从方程(39)出发,为了重构这四个动态元素,我们可能首先需要找到对应的方程(14)和(15)。然后利用方程(24)和(27)进行进一步重构,以获得方程(1)和(2)。这表明赖特进化势总是存在的,与文献(65)中的否定性说法形成对比。这种重构的例子可以在文献[(44)]中找到固定点的案例,以及在下一部分中找到极限环动态的案例。
V. 进化势与极限环动态
在本节中,我们讨论一个引人入胜的案例,即极限环动态与进化势的共存。极限环动态存在于生物学的多个领域,包括生态学(58;74)、群体遗传学(1;38;65)以及基因调控网络(56;59)。由于极限环中被认为缺乏势函数(李雅普诺夫函数),群体遗传学中进化势的存在性受到了质疑(65)。我们将明确展示极限环中进化势的存在,并揭示其一般性意义。这一案例是对第三节中讨论的定律与第四节中的经典表述之间联系的阐释。该案例也表明了从经典表述中构建进化势的实际困难。
A. 物理学中的极限环
本小节的目标有两个:一是提供一个具体的锚点,其中所有的量在物理上都是可以想象的;二是在极限环存在的情况下,获得一个具有预期属性的势函数的明确例子。
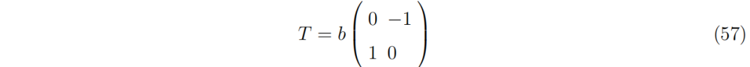
在物理学中,二维状态空间中无质量粒子的一般动力学方程可以用确定性和随机力来表示(30):

标量函数 ψ 对应于通常的势能函数。它在状态空间中的图形表示是一个景观。反对称矩阵 T 表示保持势不变的动力学,对应于物理学中的洛伦兹力,由磁场决定。矩阵 A 表示增加势的动力学(请注意,进化势与物理学中的符号相反),即物理学中的耗散。这个矩阵可以被称为物理学中使用的摩擦矩阵。摩擦矩阵的最简单实现是一个常数矩阵

具有摩擦系数 η。反对称矩阵的最简单实现是

其中 b 是磁场的强度。在这种矩阵的实现下,方程(1)变为

这是无质量粒子在摩擦力和洛伦兹力作用下的非常熟悉的运动方程形式。这里 z^ 是垂直于由 q1 和 q2 形成的平面的状态空间的单位向量,表示磁场 b 的方向,假设电荷量为1。这里的“无质量”意味着粒子的质量如此之小,以至于在当前的动力学考虑中可以视为零,粒子的动力学主要由摩擦力和洛伦兹力主导。
摩擦矩阵 A 通过方程(2)与随机力 ξ 相关联,这保证了它是半正定且对称的。矩阵 T、A 和 ψ 都可以是状态变量 q 以及时间 t 的非线性函数。数值参数 ϵ 对应于一个有效的温度,可以取为零以恢复确定性动力学。正如在第四节中所展示的,如果状态空间中存在一个稳态分布 ρ(q),

一个玻尔兹曼-吉布斯型分布函数(4),与方程(6)相同。这里的 Z 是配分函数 Z=∫dqexp(ψ(q)/ϵ)。引入“质量”的唯一目的是建立这样一个经典的平衡分布物理,正如方程(38)所展示的。上述方程意味着,对于无限重复自身的动态,例如极限环,沿这种轨迹的势应该是相同的。
需要指出的是,势函数 ψ(q) 从一开始就通过构造存在。这是物理学中最有用且最重要的定量概念之一。如果随机力可以设为零,即 ξ(q,t)=0,也就是确定性动力学,那么这个无质量粒子的动力学总是会降低其势能:

q˙τ∇ψ(q)=q˙⋅∇ψ(q)零点仅出现在不变集上:固定点(点吸引子)、极限环(周期吸引子)以及/或其他更复杂的形式。因此,势函数具有李雅普诺夫函数的通常意义。我们在讨论第一定律时已经遇到过这一性质。
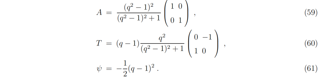
为了明确建模一个极限环,我们选择以下形式的摩擦矩阵 A、反对称矩阵 T 和势 ψ,假设极限环发生在



方程(61)中给出的势 ψ 在状态空间中是旋转对称的,且 ∣∇ψ∣=∣q−1∣。它在 q=0 处有一个局部最小值 ψ=−1/2,这是一个尖点,而在 q=1 处有一个最大值 ψ=0,在状态空间中这是一个环。因此,势的形状类似于墨西哥帽。
如果摩擦矩阵 A 为零,无质量粒子的动力学轨迹将沿着由初始条件决定的等势线运动,根据上述选择的势,这将是一个环。在非零摩擦矩阵存在的情况下,情况并非如此。我们关注的是势函数最小值附近的行为:当 q 足够接近 1 时,粒子的轨迹是否会渐近地接近 q=1 的环,并最终与之重合?如果答案是肯定的,那么我们就有了一个极限环动态。我们将在下面证明这是确实可能的。
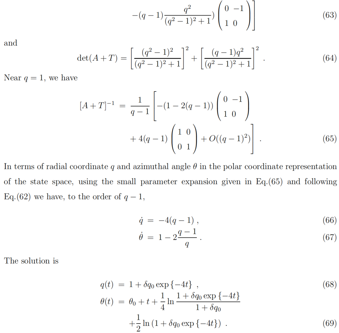
对于确定性动态,我们可以在方程(1)和(2)中设 ϵ=0:将随机力设为零。然后动力学方程可以重写为


这里,δq0(∣δq0∣≪1)是粒子从 q=1 处测得的起始径向位置,而 θ0 是其起始方位角。事实上,这一解确实展示了粒子轨迹渐近地接近 q=1 的环,并且运动永远不会停止。不稳定和亚稳态的极限环也可以用类似的方法构建。
尽管上述构造确实表明,基于物理学知识可以构建具有势的极限环,但方程(59-61)的例子似乎有些牵强。然而,我们应该指出,我们的构造中有几个一般性特征:
(i)在闭合轨迹上进行无限运动时,由于能量守恒,摩擦力,或者更准确地说,摩擦矩阵,必须为零。
(ii) 由于渐近运动发生在等势线上,因此必须存在类似洛伦兹力的力来维持运动在等势线上。这意味着当势梯度有限时,反对称矩阵在等势线运动轨迹上也应该是有限的。无质量粒子沿等势线运动的速度将由类似洛伦兹力的强度与势梯度的比值决定。
(iii) 极限环应该是鲁棒的:小参数的变化应该只对极限环产生小的影响,稳定的极限环应该位于势的最小值处。因此,在势的最大值处,势梯度为零,这意味着当接近最大值时,摩擦矩阵必须比势梯度更快地趋于零,以避免势取奇异值。这意味着在极限环处,动力学是守恒的。
(iv) 此外,为了确保无质量粒子在极限环的两侧沿同一方向运动,磁场应在极限环处改变符号。所有这些特征都明确体现在选择(方程(59-61))中。
还有三点需要补充说明:
(v) 为了简化计算,我们在方程(59)中选择摩擦矩阵与单位矩阵成正比。可以验证,任何正定对称矩阵都可以得出相同的结论,只要其强度相对于势梯度以更高的阶趋于零。
(vi) 尽管在接近极限环时摩擦矩阵 A 为零,但 [A+

并非如此。我们将在第五节C小节讨论扩散矩阵 D 时回到这一点。
(vii) 需要强调的是,势具有双重作用:其梯度是动力学中的驱动力,如方程(1)或方程(62)所示;它还决定了最终的稳态分布,如方程(6)所示。
我们应该指出,墨西哥帽型势能已被用于极限环的讨论(64)。然而,据我们所知,此前并没有关于与之相关的磁场力和耗散力的讨论,类似于本小节和下一小节的内容。
B. 经典表述中的极限环
在上一节中,我们展示了如何从势函数出发构建极限环。在本节中,我们将展示相反的过程。有人可能会认为,在上一节中展示的极限环与势函数共存的案例可能是特殊的:无质量粒子在势的最小值处运动,且摩擦矩阵和横向矩阵均为零,这是一个从物理学角度来看非常理想但有些牵强的画面。人们可能会质疑,在典型的动力系统中,极限环是否也能构建出势函数。在本节中,我们将证明这个问题的答案是肯定的。
有人建议,二维中一个简单的极限环在其动力学方程中可以采用极坐标表示的形式(58):

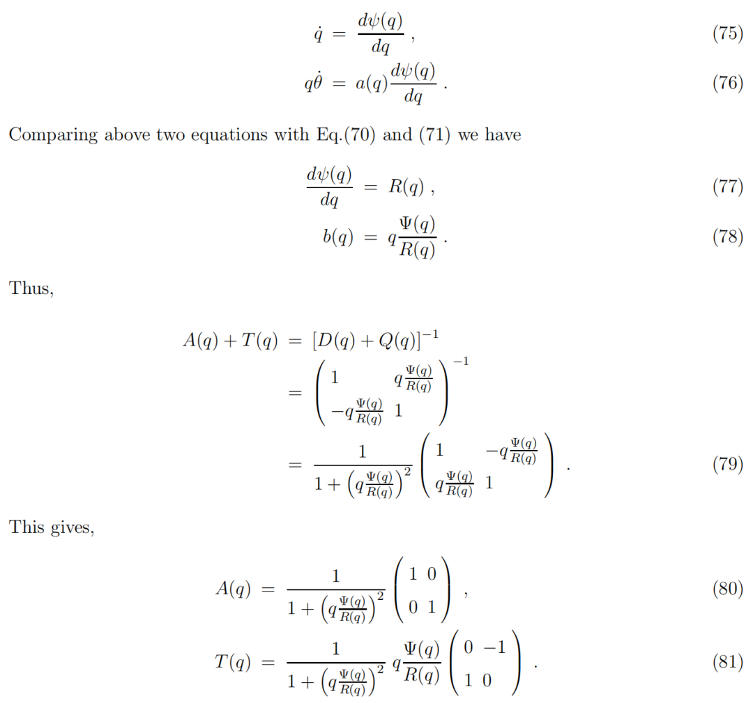
在这里,光滑函数 R 和 Φ 具有以下性质:在径向坐标中,R(q=1)=0 是一个固定点,且 Φ(q=1)= 常数。我们指出,从数学上讲,二维中的任何形状的极限环都可以变形为一个环,并且在该极限环附近,动力学方程可以通过非线性坐标变换映射到上述形式。因此,方程(70)和(71)可以被视为二维中一个典型极限环的表示。
将方程(66)和(67)与方程(70)和(71)进行比较,可以立即看出在第二部分中所考虑的正是这样一个典型的极限环。从方程(70)和(71)构建势能的方法也立即被提出:给定函数 R(q) 和 Φ(q),存在摩擦矩阵 S、势能 ψ 和反对称矩阵 T。实际上,我们需要构建三个独立的量,而不是两个。这种唯一性问题已经在第四部分中讨论过。
为了从方程(70)和(71)构建势能,我们回到方程(62)。利用 [A+T]−1=G=D+Q(定义于方程(28)),方程(2)可以重写为

在这里,D 是一个对称且正定的矩阵,而 Q 是一个反对称矩阵。

根据方程(70)和(71)中的旋转对称性,我们还选择仅依赖于径向坐标 q 的势函数,记为 ψ(q) 。在上述选择下,在极坐标系中方程(72)意味着

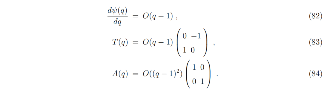
方程(77)、(80)和(81)是方程(70)和(71)所描述的极限环动力学的一种显式势函数构造,对应于方程(1)和(2)所描述的动力学。当趋近于极限环时,q→1,R(q)=O(q−1) 且 Φ(q)=O(1),并且

这与方程(59-61)中的结构相同。尽管摩擦矩阵 A 的衰减速度更快,但这里的扩散矩阵 D 始终保持为常数。从方程(1)的角度来看,动力学最终沿着极限环变为非耗散的。这完成了关于二维极限环势函数构造的讨论。
对于任意极限环,从经典公式出发的势函数构造将从方程(24)和(27)开始,它们是一阶偏微分方程。极限环附近的动力学行为应类似于方程(82-84)所描述的行为。这种行为为求解方程(24)和(27)提供了必要的边界条件。只有在一些极端情况下,偏微分方程的求解才能转化为代数方程的求解,正如本小节所展示的那样。
然而,我们应该指出一个有趣的特征。一方面,从动力学系统的理论可知,极限环是鲁棒的(35)。方程中任何小的参数变化都不会导致极限环的消失。另一方面,从基于物理理解的第二部分的讨论中可以看出,极限环的存在是所有动力学元素之间非常微妙平衡的结果:摩擦矩阵、势函数的梯度和反对称矩阵。它们在极限环处都为零,而在趋近极限环时,摩擦矩阵的衰减速度更快。这种看似矛盾的特征如何在我们更好地理解极限环及其控制中发挥作用,将是一个值得进一步探索的有趣问题。
C. 扩散与上升性(摩擦)
存在两个数学上的微妙之处。首先,已知即使存在极限环,动力学过程仍然是耗散的,这体现在一般情况下

,其中 f 由方程(14)定义。这也表明所谓的扩散矩阵 D(在方程(15)中定义)即使在极限环上也是有限的。由于它是耗散的,因此很难想象在极限环上存在一个常数势函数(或李雅普诺夫函数),动力学过程在这上面无限重复。微妙之处在于,正如我们在上述讨论中所展示的,摩擦矩阵 A 在极限环上为零并不意味着扩散矩阵 D 为零。事实上,根据方程(22)和(27),它是有限的。

从方程(65)可以明确验证:在极限环上,D=4 而 A=0。当前构造的一个重要且直接的推论是,声称在(65)中的极限环中不存在进化势(或李雅普诺夫函数)的说法是不成立的。
我们来到第二个微妙之处。对于完全确定性的动力学,李雅普诺夫函数不能唯一定义:如果找到一个李雅普诺夫函数,就会找到许多。这通过当前构造得以说明,即需要从噪声中获取额外信息以使构造唯一化:不同的扩散矩阵会导致不同的势函数。我们在从方程(70)和(71)构造势函数时已经遇到了这一问题,当时没有指定噪声。然而,这种自由度可能提供了一种方法,通过选择适当的扩散矩阵形式,为特定问题选择最适合的李雅普诺夫函数或势函数。
值得指出一个简单的数学事实:在动力学系统理论中,典型的梯度系统对应于当前构造中的零横向矩阵,T=0。这是满足详细平衡条件的情况。在这种情况下,极限环是不可能存在的。在由梯度系统描述的动力学中,轨迹可以沿着由势定义的景观的最陡下降路径移动。在这种情况下,很容易将势识别为景观函数。对于横向矩阵不为零的一般动力学,轨迹不会沿着势的最陡下降路径移动,这由方程(1)或方程(62)表示。然而,势的意义仍然与梯度系统中的意义相同:驱动动力学并决定最终的稳态分布。
VI. F-定理:进一步探索现在可以明确,费舍尔关于自然选择基本定理的原始表述属于经典公式化的范畴。为了说明这一点,让我们考虑满足详细平衡条件(方程(48))的情况。从方程(14)和(15),我们有

因此,增长率确实与方差 D 成正比。这一结果在单维度中可以表达得最为明确。在一维中,横向矩阵根据定义为零。在接近一个势能峰值附近,将其取为

。

进化势的增加速率确实与方差 D 成正比,这在经典表述中通过正比例常数 U 的合适选择得以体现。这与费舍尔的原始表述完全一致。
有趣的是,在这些条件下,进化势的增加速率与方差 A 的倒数成正比(在详细平衡条件下,D=A1),这对应于当前表述中的方程(2)。然而,这里并没有矛盾。在当前表述中,其含义来源于涨落-耗散定理:返回进化势峰值的过程和从峰值的涨落过程由同一机制控制。这种含义也隐含在费舍尔的自然选择基本定理中。除了从方程(1)和(2)中可以得到的内容外,当前表述中没有其他直接关于进化势增加速率与方差 A 之间的关系。
这种论证表明,费舍尔的原始表述仅在进化势峰值附近以及在详细平衡条件下才是精确的。尽管在峰值附近的要求似乎并不是将费舍尔的原始表述推广到远离峰值的非线性情况的主要障碍,但详细平衡条件的要求过于严格。如果横向矩阵 T 不再为零,即使在峰值附近,也可能违反这一条件,从而导致详细平衡的破坏。在没有详细平衡条件的情况下,我们不再有简单的 D=A1 关系,正如方程(21)所暗示的那样。已知在群体遗传学中,详细平衡的破坏是常见的。这将导致方差(扩散常数 D)只能部分决定进化势的增加速率。我们在下面进一步阐述这一点。
在高于一维的情况下,取势峰值为

,我们可以将扩散矩阵 D 近似为一个常数矩阵。力 f 可以线性化:

在这里,S 是由第四部分A小节中的方程(18)定义的选择矩阵,在线性情况下是一个常数矩阵。类似地,赖特(Wright)进化势可以用一个常数势矩阵 U 来表示:

上升矩阵 A 也是一个常数矩阵。在这里,U、A 和 D 是对称且正定的,而 S 是非对称的。
在经典表述中,给定 D 和 S,U、A 和 T 可以唯一确定。一般来说,它们是 D 和 S 的复杂函数。形式上,我们仍然有一个类似于方程(89)的简单公式:

然而,在没有详细平衡条件的情况下,这个公式并没有简单的解释。在极限情况下存在强烈的非对称动力学,即如果横向矩阵 T 远大于上升矩阵 A:∣det(T)∣≫det(A),在上升矩阵的一阶近似下,我们有

这与当前表述中的方差 A 成正比,因为 A、T 和 U 是独立的量。同样,这里并没有矛盾:进化势峰值的回归和从峰值的涨落仍然由同一过程控制。
最初,系统可能与峰值存在较大偏离,而涨落可能相对较小。随着时间的推移,系统越来越接近峰值,偏离 ∣ψ(0)−ψ(q)∣ 也越来越小。最终,我们无法再区分偏离和涨落。回归到峰值和涨落必须同时考虑。从统计上看,状态变量的时间平均分布由方程(8)的形式给出,这在群体遗传学中是众所周知的(42)。这表明停留在峰值是一个动态过程:从峰值的涨落和回归倾向之间的平衡。这类似于范·瓦伦的红皇后假说(78):为了保持在同一位置,需要运动。
由方差导致的进化势的部分增加已经在群体遗传学中被观察到(23)。在第五部分,我们讨论了一个极端情况:在经典表述中,方差 D 是有限的,但当系统沿着极限环移动时,进化势没有任何变化。这种考虑表明,费舍尔关于自然选择基本定理的原始表述确实不够一般。当前的表述能够以一致的方式处理这些情况。
上述分析还表明,由横向矩阵 T 表示的保守动力学必须是广义进化动力学的一个组成部分。
我们现在已经证明了自然选择基本定理和涨落-耗散定理的背景是相同的:涨落与寻找峰值的能力之间的联系。然而,这些表述仍然存在一个不完善之处:进化势的峰值,或者更一般地说,进化势本身在其陈述中是隐含假设的。另一方面,在当前的F-定理表述中,并没有提及进化势。涨落与在状态空间中寻找的能力之间的联系仍然被保留。这表明F-定理是自然选择基本定理的推广,使其适用于进化势没有变化的情况,例如第五部分中极限环动力学的情况,或者在多孔适应性景观中物种形成的情况(28)。
VII. 讨论
在进一步讨论当前数学表述的含义之前,必须记住,这三条定律必须被视为对进化动力学可能是什么的数学表述的第一次尝试。需要进一步的推广或扩展。例如,高斯白噪声假设可能是对进化中随机性进行完整建模的第一步。尽管我们尚未讨论非白噪声,但我们相信当前的表述为我们提供了一个很好的起点。在这方面,我们指出,著名的1/f噪声(如在参考文献[46]中所述,s=0)可以从白噪声(如在参考文献[46]中所述,s=1)构建而来。
目前的讨论仅限于随机微分方程及相关福克-普朗克方程。我们相信,为了完整地讨论物种形成,可能需要推广到随机偏微分方程。此外,在当前的综述中,重点是动力学,而不是每个动力学元素的结构。这些动力学元素在不同层次的描述中可能具有不同的形式,这是一个完全超出当前讨论范围的重要主题。
尽管如此,我们仍然指出,尽管提出的进化动力学的三条定律是基于时间和种群的连续表示,但当前综述中讨论的主要特征可能在更一般的情况下仍然存在:赖特进化势的最终选择性、上升矩阵的适应性本质、由反对称矩阵表示的保守动力学,以及随机驱动力的存在。我们强调了进化过程的内在随机性,而不是那些由于测量和/或观察的不完善所导致的随机性。
A. 一致性与简洁性
在当前尝试将生物学和物理学的方法统一起来时,以简洁且一致的方式表达像方程(1)和(2)这样的普遍规律的存在不应令人感到过于惊讶。必须考虑两个已被严格验证的重要原则:
(i)简单的方程可以产生极其复杂的模式和现象(35;51;58);
(ii)每一层描述都有其自身的规律,这些规律不能以一种简单的还原论方式进行推导(2;10;29)。不同层次之间的联系是渐近的,而更高层次上经常会出现新兴现象。
当前对进化理论的表述具有几个定量优势。根据方程(1)定义的赖特进化势,已经获得了一种独立的计算方法。它为进化动力学增加了更多的预测能力。正如方程(2)所表达的,并在第2.4节中讨论的那样,费舍尔的自然选择基本定理(F-定理)在当前的进化动力学表述中变得清晰且不可或缺。这可能是更好地理解费舍尔深刻洞察力所急需的一步。
结合费舍尔和赖特的洞察,赖特进化势和F-定理为讨论鲁棒性、稳定性和物种形成提供了一个定量的衡量标准。方程(9)就是一个例子:需要同时考虑方差和进化势才能得到公式。本文的新颖之处在于将费舍尔和赖特的洞察结合起来的“粘合剂”:进化动力学有一个守恒的部分,在这部分中,赖特进化动力学不会改变。这部分守恒的动力学在本文中由横向矩阵表示,似乎在文献中被忽视了。
有趣的是,赖特(83)的适应性景观与沃丁顿(79)的发育景观之间存在着显著的相似性。事实上,适应性物种形成(18)和发育生物学(79)之间也存在着显著的相似性:它们的景观是相同的。当前的数学表述应该能够处理这两种情况。朱等人(85;86)已经成功研究了噬菌体λ的基因调控网络。这表明遗传学和发育生物学之间存在统一性。
B. 实用性
然而,人们可能会质疑使用方程(1)和(2)而不是经典表述的方程(14)和(15)或方程(39)的必要性:毕竟它们的等价性已经在上文得到了证明。这里我们提供三个理由,说明方程(1)和(2)是有用的:
(i)方程(1)中呈现的量可以直接与实验观测相关联。例如,方程(6)直接连接了赖特进化势与稳态下的种群密度。通过观察动态行为,可以获得关于上升矩阵和横向矩阵的信息。此外,方程(9)可以将稳定性与赖特进化势联系起来。这种与实验数据的直接联系表明了所关注描述层次的自主性。
(ii)方程(14)和(39)缺乏对全局动力学行为的可视化能力。例如,在具有多个局部最大值的非线性动力学中,从方程(14)和(15)中不清楚哪个最大值是最高的,以及从一个最大值移动到另一个最大值有多容易。人们可以通过直接的实时计算找到答案,但这通常是计算密集型的,如果不是不可能的话。对于确定性动力学来说,这是不可能的。相反,赖特进化势为这类问题提供了一个定量且可视化的答案。
(iii)方程(1)和(2)为进化动力学提供了一种替代建模方式,在某些情况下可能具有优势。例如,在斯图尔特(Stewart)的建模(72)中,直接使用进化势(斯图尔特的适应度函数)使得从统计物理学的角度来看,物种形成中的对称性破缺思想变得非常清晰。
C. 生物学与物理学
最后,我们指出生物学和物理学之间一个有趣的相互还原循环。当前的表述表明,由方程(1)和(2)表达的规律是随机的和耗散的。它们代表了生物学中动力学的通用特征。例如,本文使用的数学结构最初是在我们研究遗传开关中卓越的鲁棒性难题时提出的(85;86),这是在长时间寻找量化鲁棒性和稳定性的方法之后的结果。另一方面,物理学的动力学规律是确定性和保守的,正如经典牛顿动力学所体现的那样。在讨论达尔文动力学的第一定律时,我们指出,当由上升矩阵表示的非保守力为零时,可以将牛顿动力学视为第一定律的一个特例。由于第一定律是第二定律的一个特例,牛顿保守动力学可以进一步被视为当前第二定律的一个特例,因此是达尔文动力学的一个特例。相反的表述也存在:在将耗散动力学视为次级动力学的适当条件下,这是物理学中建模开放系统的典型方法,可以从牛顿动力学导出形式为方程(1)和(2)的方程(5;7;22;27;46)。因此,达尔文动力学也可以被视为牛顿动力学的一个特例。
达尔文动力学强调统计性,而牛顿动力学强调确定性。哪一个更适合、更根本地描述自然,既是一个哲学问题,也是一个严肃的科学研究课题。从耗散动力学角度的研究可以在普里戈金学派的工作中找到(59),而从保守动力学角度的研究可以参考文献[22]和[27]。以爱因斯坦的引文结束这一小节似乎很合适,他曾深入思考过这一问题(21):
“关于统计与决定论的问题,情况如下:从直接经验的角度来看,不存在精确的决定论。在这方面没有分歧。问题是理论描述自然是否必须是决定论的。除此之外,问题是是否普遍存在一种现实的概念图像(对于孤立的情况),这种图像是原则上完全排除统计的。只有在这个问题上,意见才有所不同。”
VIII. 关于文献的进一步说明
尽管在本文中不可能回顾所有关于达尔文动力学的理论文献,但在本节中,我们讨论了一些与当前表述相关的精选作品。我们希望这能帮助读者进一步深入研究这一主题。
从生物学角度对达尔文进化动力学进行最广泛讨论之一是由古尔德(Gould)提供的(32)。他持有一种反对更定量表述的观点,称之为达尔文理论的僵化。特别是,费舍尔自然选择基本定理的前三条例外在他的书中被总结为偶然性、个体性和相互作用的例外。根据古尔德的说法,这些例外简单地将费舍尔的自然选择基本定理排除在生物学之外。从当前表述的角度来看,尽管古尔德对费舍尔的批评是正确的,但它仍然基于错误的表述和不恰当的类比。例如,正如在第四部分D小节中讨论的那样,适应度不应被解释为物理学中的熵,而费舍尔自然选择基本定理的正确类比应该是物理学中的涨落-耗散定理,即在本文中表述为F-定理。有了这种重新解释,古尔德的批评就消失了,因为费舍尔的所有五条例外都消失了。然而,古尔德的书仍然是理解进化的最佳生物学来源之一。
在概念层面上,达尔文进化理论的争议和关键概念最近由迈尔(Mayr)的一本书进行了简洁的总结(54)。这是一本必读的书。他对达尔文动力学的总结——“达尔文的基本公式——进化是遗传变异及其通过淘汰和选择而被排序的结果——足以应对所有自然情况”——确实是当前第二定律在遗传水平上的最恰当的口头表述。然而,值得注意的是,无论是偶然的还是有意的,迈尔的书中对群体遗传学的定量方面有所淡化。很难想象在没有详细讨论赖特和费舍尔——尤其是自然选择基本定理——的情况下,如何呈现达尔文理论的现代综合。
除了尤恩斯(Ewens)对费舍尔和赖特以来群体遗传学的数学结果的总结(23),米肖德(Michod)详细介绍了经典形式的达尔文动力学表述(55)。赖特的进化景观和费舍尔自然选择基本定理在书中占据了突出的位置。他在附录B中汇编了“适应度”一词的28种不同用法,这可以被视为支持在本文中使用“赖特进化势”这一术语,而不是带有负担的“适应度”一词。同样有趣的是他对合作与相互作用的强调,这可能为赖特的平衡移动理论及相关物种形成问题的争议提供了一些启示(31;63)。
图钦(Turchin)关于生物学中普遍规律存在性辩论的讨论(74)应该会很有趣。在他的书中详细讨论了生态动力学的具体例子。然而,似乎图钦并没有强调随机性在普遍规律中所起的作用,尽管他确实强调了在数据分析中使用统计学的必要性。他的许多详细讨论本质上是确定性的,因此可以被视为本文中讨论的第一定律的展开。例如,他的指数增长(减少)的第一原理可以被视为无穷远(零)处稳定不动点的一个特例。从适应性景观的角度对生态动力学的讨论可以在施卢特(Schluter)的书中找到(68)。
关于进化动力学的经典表述在一般背景下的最佳讨论之一无疑是尼科利斯和普里戈金(59)的著作。在协同学的阐述中(36),可以找到一种平行且富有启发性的方法。关于物理学中涨落-耗散定理的最佳讨论之一可以在参考文献[84]中找到。我们还应该提到,进化势的概念已被斯图尔特(72)在其关于物种形成的讨论中优雅地使用,并且许多其他研究者(18)在适应性物种形成的确定性研究中也使用了这一概念。
IX. 结论
我们提出了三条定律来数学化地描述进化动力学:亚里士多德定律、达尔文定律和层次定律。第一定律,即亚里士多德定律,强调进化动力学的确定性方面。这条定律定义了讨论的参考点。最基本的方程,即第二定律或达尔文定律,以一种独特的随机微分方程形式表达。当前表述引入了四个动力学元素:上升矩阵、横向矩阵、赖特进化势和随机驱动力。最终和终极的选择由赖特进化势代表,它决定了稳态分布。在任何给定时间,瞬时选择由第二定律中编码的全部四个动力学元素决定,而这些元素并不一定会增加赖特进化势。适应性和优化的倾向都被编码在F-定理中。生物学描述的层次性被编码在第三定律中,其精确的数学程序取决于所考虑的具体问题。这通过随机微分方程的几种积分形式的存在得到了说明。表I总结了当前的表述。
我们还证明了这三条定律与进化生物学中的经典方法是一致的,但在定量讨论稳定性和其他现象时似乎更为适用。费舍尔的自然选择基本定理、赖特的适应性景观以及发育景观等重要结果,都在当前的表述中以一种自然的方式得到了统一。由于原始表述的模糊性或内在的数学困难,关于费舍尔和赖特这两个核心概念的不一致理解已经被讨论并澄清。当前表述的主要目标是解决历史性的突出问题,而不是使问题复杂化。事实上,它似乎为达尔文动力学的进一步讨论形成了一致且定量的基础。

原文链接:https://arxiv.org/PS_cache/q-bio/pdf/0605/0605020v1.pdf