Dissipative Generation of Currents by Nonreciprocal Local and Global Environments
非互易局部和全局环境产生的耗散电流
https://arxiv.org/pdf/2510.07498


我们通过探索系统与非互易性(nonreciprocal)库的耗散耦合,研究稳定复杂量子关联所需的机制。我们分析了环境耦合的局域性在所研究量子系统中的作用,具体考虑两种情形:一种是系统各处均与环境发生局域耦合,另一种则是整个系统仅通过单一的全局耦合与环境相互作用。我们将这两种情形进行对比:其一为强相互作用的硬核玻色子原子链直接耦合到马尔可夫型动能耗散过程;其二为原子链通过损耗型光学腔场的中介作用而经历有效耗散。为研究上述多体量子系统的耗散动力学,我们采用矩阵乘积态(matrix product states)数值方法进行数值模拟。结果表明,通过将原子隧穿项耦合到耗散腔的全局场,可以在长时间极限下在整个原子链中同时稳定有限的电流以及电流-电流关联。这与直接通过局域隧穿过程施加耗散的情形形成鲜明对比——在后者中,电流仅出现在系统的一小部分区域,且电流-电流关联迅速衰减。
I. 引言 由保守力与耗散力之间的竞争所导致的相互作用粒子的非平衡动力学,在从经典系统[1–4]到量子系统[5–8]的众多物理学领域中引起了极大关注。在活性物质(active matter)领域,经典粒子通过局域破坏细致平衡(detailed balance)被驱动出平衡态[1, 2, 9, 10],从而可能产生新颖的集体运动行为[11]。例如,活性粒子可以自发选择运动方向[12, 13],而这种现象在平衡态下会被Mermin-Wagner定理所禁止。近期,经典活性物质与耗散量子系统之间的联系已被建立:在后者中,通过耗散耦合引入非互易(nonreciprocal)过程,从而破坏细致平衡[8, 14–26]。量子活性物质领域的一个核心问题在于:在耗散过程作用下,量子相干性以及长程量子关联如何能够得以维持。
在存在耗散耦合的情况下维持量子相干性和多体纠缠的问题,在耗散工程(dissipative engineering)领域已受到广泛关注[27–33]。事实证明,耗散可以被建设性地利用,作为实现复杂量子现象的一种途径。理论研究聚焦于获得具有非平凡性质的稳态,例如费米子物质的拓扑态[34, 35]、奇异输运性质[36],或表现出动力学合成规范场(synthetic gauge fields)[37–40];同时也关注如何设计外部耦合以调控量子系统的动力学性质[41–47]。耗散工程中的一个重要概念是“无退相干子空间”(decoherence-free subspace),即由耗散通道的暗态(dark states)所张成的子空间,开放量子系统的长时间动力学在此子空间中进行。当哈密顿量与耗散过程对易时,无退相干子空间包含与衰减解耦的态;而当哈密顿量包含与耗散通道竞争的多体耦合时,无退相干子空间的概念可被推广,以涵盖缓慢衰减的亚稳态(metastable states)[41, 43, 46, 48–50]。在研究复杂关联的动力学行为时,理解无退相干子空间中所包含的量子态至关重要。例如,尽管超导BCS态可作为耗散通道的暗态被实现[51],但在长时间耗散动力学中,双时间电流-电流关联仍会强烈衰减[42]。因此,亟需替代性策略,以在耗散场景中维持复杂量子关联的相干性。
在本工作中,我们研究了一维强相互作用玻色子原子系统在非互易耗散耦合作用下量子关联的长时间动力学。我们对比了基于矩阵乘积态(matrix product states)方法得到的数值精确结果:其中一种情形下耗散过程是局域的,另一种情形下则通过玻色子场进行全局中介。我们表明,通过局域的非互易耗散动能过程可以稳定有限的原子电流。然而,电流-电流关联要么完全缺失,要么随距离迅速衰减,表明系统长时间态中缺乏长程量子相干性。为了诱导电流-电流关联,我们将相互作用原子耦合到一个耗散型光学腔中。通过施加横向泵浦激光束,我们将光子场与原子隧穿项耦合起来。我们证明,在原子-腔系统中——其中原子通过一个非互易的全局库有效经历耗散——原子电流及其相应的量子关联均可在长时间尺度上被稳定下来。
研究多体量子系统中电流的动力学,并设计其产生与测量框架,具有多重动机。在霍尔效应等输运测量中,人们通过施加电势差来监测横向电流,这类测量促成了奇异量子霍尔态的发现[52–54]。最近,霍尔响应在超冷原子系统中也变得可测,已在弱相互作用气体[55, 56]和阶梯(ladder)系统[57, 58]中实现。尽管对相互作用系统霍尔响应的完整理解仍是一个开放问题,但针对阶梯系统的研究表明,霍尔响应是对底层手性相(chiral phases)多体相图的敏感探针[59–63]。此外,人工磁场引起的轨道效应与腔场耦合之间的相互作用,可导致具有持续电流的非平衡稳态[37–40, 64–67]。
II. 装置与模型
我们考虑被限制在一维光晶格中的相互作用玻色子原子,其受到非互易耗散耦合的作用,旨在诱导原子电流。在第一个模型(见第II A节)中,耗散以局域隧穿过程的形式直接作用于原子。在第二个模型(见第II B节)中,光学腔的场与原子隧穿项耦合,光子通过腔镜发生损耗;在此情形下,原子经历一种有效的全局耗散。
A. 动能耗散
我们研究的第一个装置是一维玻色-哈伯德(Bose-Hubbard)模型,其中包含具有方向性的隧穿耗散过程,如图1(a)所示。我们假设这些耗散过程是马尔可夫型的,因此原子密度矩阵 ρ 的动力学由以下林德布拉德(Lindblad)主方程描述 [68, 69]:




B. 腔介导的耗散 第二种装置是一个混合系统,由置于高精细度光学腔内的一维相互作用玻色子原子晶格构成,系统受到横向驻波激光束泵浦,并通过腔镜发生光子损耗,如图1(b)所示。光学腔中的超冷原子已成为实现耗散耦合和长程相互作用的主要平台之一 [5, 71]。原子与腔场耦合自由度的联合密度矩阵 μ 遵循以下林德布拉德主方程演化 [5, 68, 69, 71]:


C. 参数范围
在本工作中,我们比较第II A节(公式(1)-(2))和第II B节(公式(3)-(4))中所描述的两个模型的量子动力学结果,重点关注耗散效应对原子电流及其相关电流-电流关联的影响。因此,对比两种装置的本质以突出其主要差异是有帮助的。公式(1)-(2)给出的原子模型对应于原子经历局域非互易马尔可夫环境的情形;而在原子-腔模型(公式(3)-(4))中,原子耦合到一个遭受非互易损耗的全局量子场。我们强调,原子模型(公式(1)-(2))并不代表原子-腔模型的有效纯原子描述。寻找原子-腔模型的适当纯原子描述超出了本工作的范围,但正如我们在下文详述的那样,它有助于理解原子所经历的有效过程。

对于两个系统,我们采用相同的协议:初始态为硬核玻色原子的基态;在时间 τ=0时,我们猝灭引入动能耗散或原子与腔的耦合。我们计算系统从猝灭后随时间演化直至接近稳态的行为。
III. 电流算符 我们根据连续性方程定义电流算符,该方程将局域密度的时间演化与流入和流出的电流联系起来。


A. 玻色-哈伯德电流
对于玻色-哈伯德哈密顿量(公式(2)),我们得到以下连续性方程:


B. 动能耗散对电流的贡献
对于耗散耦合直接作用于原子隧穿的情形(如公式(1)-(2)所描述的模型),局域密度的时间演化发生如下改变:

C. 腔对电流的贡献 对于原子-腔模型(公式(3)-(4)),其中腔场与隧穿项耦合,尽管耗散部分不会对电流产生贡献(因为损耗仅作用于腔场),但原子-腔耦合项确实会对电流产生贡献。

IV. 数值方法
我们在第II节中所呈现模型的数值精确量子动力学结果,基于矩阵乘积态(MPS)技术 [91, 92]。我们通过采用量子轨迹的随机展开方法来处理耗散耦合 [93–95]。在此方法中,我们模拟波函数(即量子轨迹),而非密度矩阵,但需额外进行所有采样轨迹的蒙特卡罗平均。对于具有短程相互作用的原子模型(公式(1)-(2)),我们利用基于Trotter-Suzuki分解的时间演化算符构建的准精确含时变分矩阵乘积态(tMPS)[91, 96, 97] 进行时间演化计算。而对于包含全局长程耦合的原子-腔模型(公式(3)-(4)),其数值结果则通过基于矩阵乘积态的含时变分原理方法(TDVP)的双站点版本实现 [98, 99]。我们的方法借助ITensor库实现 [100]。

V. 结果
以下,我们将呈现所考虑的两个模型的耗散动力学结果。我们重点关注电流可观测量及其相关的电流-电流关联(参见第III节)的行为;然而,为了更深入地理解最终的动力学行为,我们也展示了其他可观测量的结果。我们首先在第V A节讨论经历动能耗散的硬核玻色原子系统 [如图1(a)所示,公式(1)-(2)] 的结果,并在第V B节中将这些结果与耦合至耗散腔的硬核玻色原子系统 [如图1(b)所示,公式(3)-(4)] 所得结果进行对比。
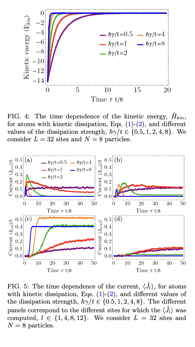
A. 具有动能耗散的硬核玻色子的动力学












总结本节结果:我们发现,对于通过动能项施加耗散的一维硬核玻色子链,当耗散主导动力学时,局部电流可以产生。然而,长时间后有限的电流值仅局限于填充位点与空位点界面附近的格点区域。源自哈密顿量隧穿项的电流在稳态下被耗散电流贡献所抵消。这些位置处虽可获得有限的电流-电流关联,但其值较小,且随距离迅速衰减。在下一节中,我们将研究当原子通过光学腔场中介经历非互易耗散过程时,相同可观测量的行为表现。
B. 与耗散腔耦合的硬核玻色子的动力学













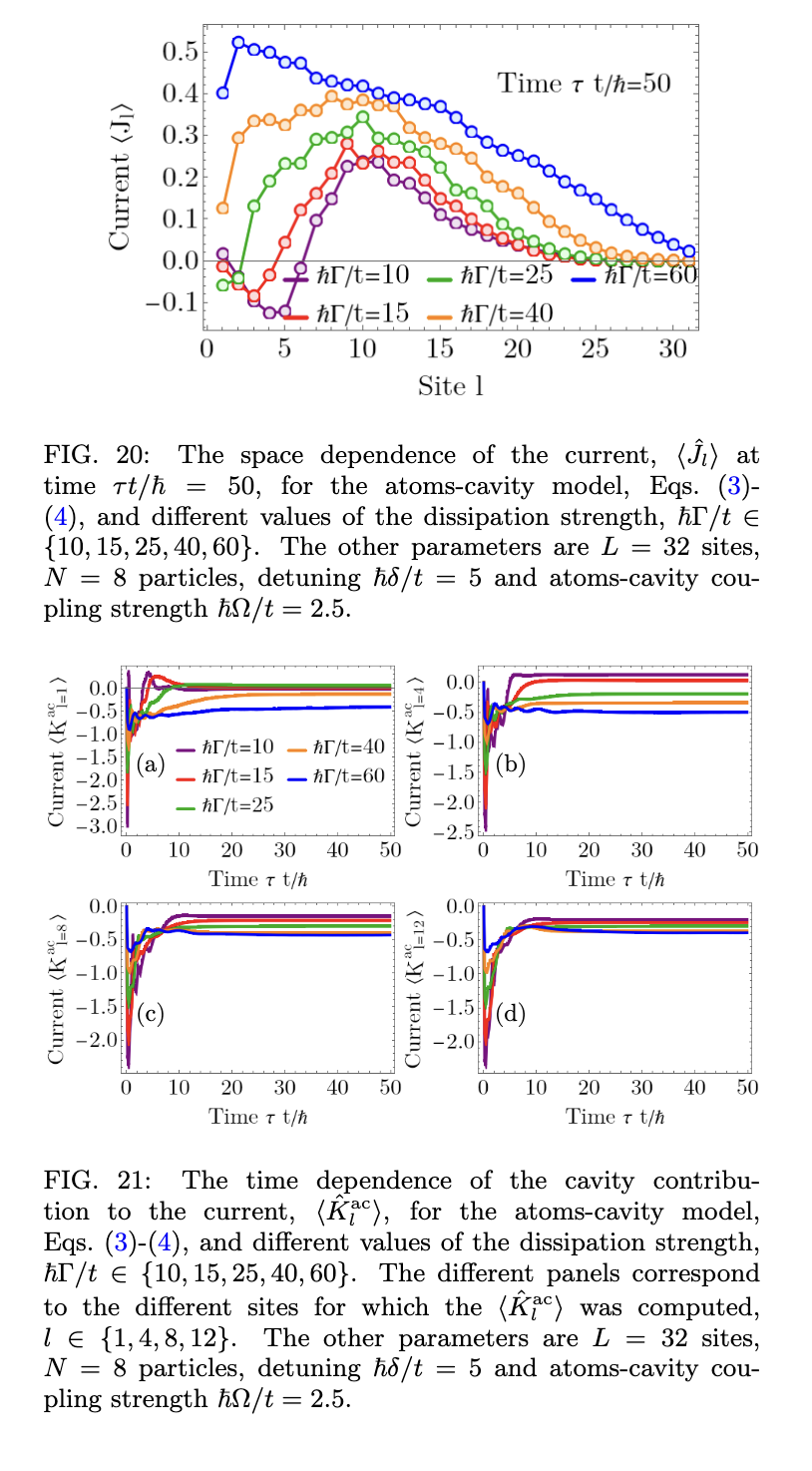
总结本节结果:我们发现,对于通过隧穿项与耗散腔场耦合的一维硬核玻色子链,当腔光子损耗较大时,整个链上可获得强局域电流。此外,原子还表现出仅随距离缓慢衰减的有限电流-电流关联。这表明,从与耗散环境的全局耦合中可以涌现出复杂的相干量子动力学。
VI. 讨论与结论
综上所述,我们研究了强相互作用玻色子原子在一维链中处于两种不同非互易耗散耦合场景下的非平衡动力学。在第一个模型(公式(1)-(2))中,耗散过程以隧穿项的形式局域作用于原子链,即每一条连接相邻格点的键都耦合到一个独立的马尔可夫环境,该环境将粒子沿某一特定方向驱动。在第二个模型(公式(3)-(4))中,原子通过隧穿项全局耦合到光学腔的场。由于腔内光子存在损耗,原子实际上感受到一个非互易的非局域环境的作用,从而诱导出其运动的优先方向性。此外,当腔的能量尺度偏离绝热消除极限时,光子场会实现一个有效的非马尔可夫库。
我们采用矩阵乘积态方法,对两个模型中的量子关联进行了数值精确的耗散动力学计算。我们聚焦于如下问题:如何在诱导原子定向运动(表现为电流算符具有有限值)的同时,维持其量子相干性(由电流-电流关联所刻画)。对于经历动能耗散的原子系统(公式(1)-(2)),在强耗散条件下,原子会聚集在链的一端,在填充格点与空格点之间形成一个相当尖锐的界面。我们仅在此界面附近获得有限的电流值,且哈密顿量动能项与耗散过程对电流的贡献相互抵消。这可在半经典图像中理解为:哈密顿量的隧穿作用使原子远离界面,而动能耗散又将其拉回。电流-电流关联的有限值同样局限于界面附近的狭窄区域,并随格点间距迅速衰减。
相比之下,在原子-腔模型(公式(3)-(4))中,我们在整个原子链上均获得了有限的电流值,且随着光子损耗增强,电流值进一步增大。在此情形下,稳态中相互抵消的电流贡献要么来自隧穿项,要么来自腔辅助的隧穿过程——原子通过产生或湮灭光子实现运动。当原子与腔耦合时,我们在系统的大范围区域内获得了有限的电流-电流关联,且这些关联仅随距离缓慢衰减。
我们将这两种模型截然不同的行为归因于其无退相干子空间(decoherence-free subspace)本质上的差异:前者由大量局域算符张成,而后者则由单一的全局模式所张成。这使得与腔的耦合能够诱导并长期保护电流-电流关联。因此,通过将相互作用原子耦合到光学腔场,我们获得了一个能够展现复杂长程量子关联的平台。人们还可以进一步设想,在此类混合耗散系统中研究多时间关联 [42, 104–106] 的激动人心前景,以探索非局域性与非互易性之间的相互作用。
本文所研究的装置与实验直接相关,例如将光晶格中的超冷原子耦合到光学腔场的实验 [107–109]。新一代实验结合了光学腔与显微镜 [110, 111] 或光镊阵列 [112–114],使得探测复杂的长程关联成为可能。电流的动力学已在其他超冷原子实验装置中得到研究,包括储层间的输运测量 [115, 116]、人工磁场背景下的研究 [117] 以及霍尔效应 [57, 58]。近期发展的实验方案甚至能够探测源于隧穿项的局域电流 [118, 119]。此外,尽管本工作聚焦于与光学腔中超冷原子相关的装置,我们预期所得结果对其他混合量子系统也具有更广泛的适用性——例如,离子阱中与声子耦合的离子 [120, 121]、超导电路 [122, 123],或固体腔中的电子系统 [7, 124–126]。
原文链接:https://arxiv.org/pdf/2510.07498