
在学习普通线段树的过程中,我们处理的都是下标区间的问题,比如查询数组
[1,n]中某个下标区间的和、最大值,或是对下标区间做修改。但如果遇到值域极大的场景,比如数值范围达到109,普通线段树直接开空间的话,内存会直接炸掉,根本无法实现。 这时候,权值线段树 + 离散化的组合就成了破局关键!权值线段树把普通线段树的 “下标” 换成了 “数值”,专门维护数值的出现次数;而离散化则能把超大的数值范围压缩到连续的小范围,完美解决值域爆炸的问题。 本文将从原理到实战,手把手教你掌握权值线段树 + 离散化,从核心概念拆解到经典逆序对问题的 AC 实现,让你彻底吃透这个高频考点!下面就让我们正式开始吧!
普通线段树的节点区间表示数组的下标范围,节点存储的是该下标区间内的信息(如和、最大值);而权值线段树的节点区间表示数据的数值范围,节点存储的是该数值范围内数据的出现次数(这是最核心的信息)。
简单来说:
权值线段树主要解决与数值出现次数相关的统计问题,比如:
[x,y]范围内的数总共有多少个; 权值线段树的节点依旧是二叉树结构,遵循分治思想,每个节点维护一个数值区间[l,r]和该区间内数的出现次数 cnt。
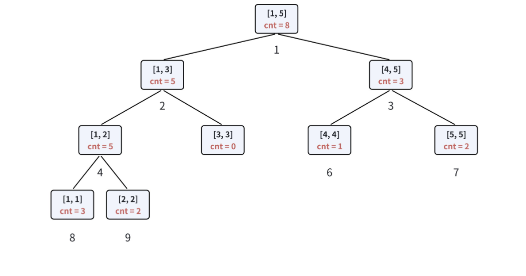
[x,y]内的数的总出现次数,逻辑和普通线段树的区间查询一致,拆分 + 拼凑节点的 cnt。 现有数组a = [1,5,5,2,2,4,1,1],数值范围是[1,5],对应的权值线段树结构如下:
[1,5],cnt=8(总共有 8 个数);[1,3],cnt=5;右孩子:[4,5],cnt=3;[1,3]的左孩子[1,2](cnt=5)、右孩子[3,3](cnt=0);[1,2]的左孩子[1,1](cnt=3)、右孩子[2,2](cnt=2);[4,5]的左孩子[4,4](cnt=1)、右孩子[5,5](cnt=2)。
从这个例子能清晰看到,权值线段树的每个节点都在统计对应数值范围内的数的出现次数,所有叶子节点对应单个数值的出现次数。
权值线段树的痛点在于:如果数据的数值范围极大(比如1≤ai≤109),而数据的个数却很少(比如n≤105),直接为109的数值范围建树,空间复杂度会达到O(4×109),这显然是不可能的。
这时候离散化就登场了!离散化的核心思想是:只关注数值的相对大小,不关注数值本身,把原本分散、超大的数值映射成连续的、从 1 开始的正整数,将值域从109压缩到n(数据个数),让权值线段树能正常建树。
满足以下两个条件即可使用离散化:
以数组a = [999, 1, 100000, 5, 1, 999]为例,演示离散化的完整过程:
tmp = [999, 1, 100000, 5, 1, 999];[1,5,999,100000];[1,5,999,100000](离散化的关键是排序,保证相对大小不变)。将排序后的数值依次映射为从 1 开始的连续整数:
原数组[999,1,100000,5,1,999]替换后变为:[3,1,4,2,1,3]。
此时,原本值域为[1,100000]的数组,被压缩到了[1,4]的小范围,完美解决了值域爆炸的问题!
在 C++ 中,离散化主要借助 sort(排序)、unique(去重)、lower_bound(查找映射下标)三个函数实现,这三个函数是离散化的 “三板斧”,必须掌握!
unique:将数组中重复的元素移到末尾,返回去重后数组的尾迭代器,需配合erase真正删除重复元素;lower_bound:在有序数组中查找第一个大于等于目标值的元素的迭代器,减去数组首迭代器即为映射的下标。#include <iostream>
#include <vector>
#include <algorithm>
using namespace std;
const int N = 1e5 + 10;
int a[N], tmp[N]; // a是原数组,tmp是辅助数组
int n; // 数据个数
int cnt; // 离散化后的数值个数
// 离散化核心函数
void discretization() {
// 步骤1:复制原数组
for (int i = 1; i <= n; i++) tmp[i] = a[i];
// 步骤2:排序
sort(tmp + 1, tmp + 1 + n);
// 步骤3:去重
cnt = unique(tmp + 1, tmp + 1 + n) - (tmp + 1);
// 步骤4:映射原数组
for (int i = 1; i <= n; i++) {
// lower_bound找映射下标,从1开始
a[i] = lower_bound(tmp + 1, tmp + 1 + cnt, a[i]) - tmp;
}
}这个模板是通用的,无论原数值范围多大,只要数据个数为n,离散化后的值域都会变成[1,cnt](cnt≤n)。
掌握了离散化后,我们先实现通用的权值线段树模板,包含 ** 建树、单点修改(插入数)、区间查询(统计数值范围次数)** 三个核心操作,后续的实战案例都基于这个模板修改。
权值线段树的节点只需维护数值区间l,r和该区间内数的出现次数 cnt:
#include <iostream>
#include <algorithm>
using namespace std;
typedef long long LL;
const int N = 1e5 + 10;
// 权值线段树节点
struct node {
int l, r; // 节点维护的数值区间
LL cnt; // 该数值区间内数的出现次数
} tr[N << 2]; // 空间依旧开4倍,基于离散化后的数值个数
int a[N], tmp[N];
int n, cnt; // cnt是离散化后的数值个数权值线段树的 pushup 函数非常简单,父节点的 cnt 等于左右孩子的 cnt 之和,因为父节点的数值区间是左右孩子的并集,出现次数自然相加:
void pushup(int p) {
tr[p].cnt = tr[p << 1].cnt + tr[p << 1 | 1].cnt;
} 权值线段树的建树是为离散化后的数值范围[1,cnt]建树,初始时所有数的出现次数为 0,因此所有节点的 cnt 都初始化为 0:
void build(int p, int l, int r) {
tr[p] = {l, r, 0}; // 初始cnt为0
if (l == r) return; // 叶子节点,对应单个数值
int mid = (l + r) >> 1;
build(p << 1, l, mid); // 构建左子树
build(p << 1 | 1, mid + 1, r); // 构建右子树
// 初始cnt都是0,无需pushup
}权值线段树的单点修改是对某个数值 x进行操作,插入数则 x 对应的叶子节点 cnt+1,删除数则 cnt-1,然后向上更新父节点的 cnt:
// 单点修改:将数值x的出现次数+val(val=1为插入,val=-1为删除)
void modify(int p, int x, int val) {
if (tr[p].l == x && tr[p].r == x) {
tr[p].cnt += val;
return;
}
int mid = (tr[p].l + tr[p].r) >> 1;
if (x <= mid) modify(p << 1, x, val);
else modify(p << 1 | 1, x, val);
pushup(p); // 向上更新cnt
} 查询数值区间[x,y]内的数的总出现次数,逻辑和普通线段树一致,拆分查询区间,拼凑所有覆盖的节点的 cnt 之和:
// 区间查询:统计数值[x,y]内的数的总出现次数
LL query(int p, int x, int y) {
if (x <= tr[p].l && tr[p].r <= y) {
return tr[p].cnt;
}
int mid = (tr[p].l + tr[p].r) >> 1;
LL res = 0;
if (x <= mid) res += query(p << 1, x, y);
if (y > mid) res += query(p << 1 | 1, x, y);
return res;
}将离散化和权值线段树结合,得到权值线段树 + 离散化的通用模板,后续实战直接套用即可:
#include <iostream>
#include <algorithm>
using namespace std;
typedef long long LL;
const int N = 1e5 + 10;
struct node {
int l, r;
LL cnt;
} tr[N << 2];
int a[N], tmp[N];
int n, discnt; // discnt:discretization cnt,离散化后的数值个数
void pushup(int p) {
tr[p].cnt = tr[p << 1].cnt + tr[p << 1 | 1].cnt;
}
void build(int p, int l, int r) {
tr[p] = {l, r, 0};
if (l == r) return;
int mid = (l + r) >> 1;
build(p << 1, l, mid);
build(p << 1 | 1, mid + 1, r);
}
void modify(int p, int x, int val) {
if (tr[p].l == x && tr[p].r == x) {
tr[p].cnt += val;
return;
}
int mid = (tr[p].l + tr[p].r) >> 1;
if (x <= mid) modify(p << 1, x, val);
else modify(p << 1 | 1, x, val);
pushup(p);
}
LL query(int p, int x, int y) {
if (x <= tr[p].l && tr[p].r <= y) {
return tr[p].cnt;
}
int mid = (tr[p].l + tr[p].r) >> 1;
LL res = 0;
if (x <= mid) res += query(p << 1, x, y);
if (y > mid) res += query(p << 1 | 1, x, y);
return res;
}
// 离散化函数
void discretization() {
for (int i = 1; i <= n; i++) tmp[i] = a[i];
sort(tmp + 1, tmp + 1 + n);
discnt = unique(tmp + 1, tmp + 1 + n) - (tmp + 1);
for (int i = 1; i <= n; i++) {
a[i] = lower_bound(tmp + 1, tmp + 1 + discnt, a[i]) - tmp;
}
}
int main() {
// 读入数据
cin >> n;
for (int i = 1; i <= n; i++) cin >> a[i];
// 离散化
discretization();
// 建树:离散化后的数值范围[1, discnt]
build(1, 1, discnt);
// 后续可执行modify和query操作
return 0;
}逆序对是算法竞赛中的高频考点,定义为:对于序列a1,a2,...,an,满足i<j且ai>aj的有序对(i,j)的数量。
求逆序对的方法有很多,比如归并排序、树状数组,而权值线段树 + 离散化是最直观的方法之一,完美体现了权值线段树的统计能力。
洛谷 P1908 逆序对:https://www.luogu.com.cn/problem/P1908
给定一个长度为n的正整数序列,序列中数字不超过109,求序列中的逆序对数目。
对于序列中的每个元素a[i](下标为i),我们需要统计在它之前的元素中,比a[i]大的数的个数,将所有位置的统计结果相加,就是整个序列的逆序对总数。
为什么这样统计是正确的?
而权值线段树恰好能高效统计某个数值范围内的数的出现次数,结合离散化处理超大值域,步骤如下:
离散化后,数值被映射为连续的正整数,因此 “比a[i]大的数” 对应的数值区间就是[a[i]+1,discnt],直接用权值线段树的 query 函数查询即可。
基于之前的通用模板,修改 main 函数即可实现逆序对的求解,代码注释详细,直接可 AC:
#include <iostream>
#include <algorithm>
using namespace std;
typedef long long LL;
const int N = 5e5 + 10; // 注意数据范围,洛谷P1908的n最大为5e5
struct node {
int l, r;
LL cnt;
} tr[N << 2];
int a[N], tmp[N];
int n, discnt;
LL ans; // 逆序对数量可能很大,用long long存储
void pushup(int p) {
tr[p].cnt = tr[p << 1].cnt + tr[p << 1 | 1].cnt;
}
void build(int p, int l, int r) {
tr[p] = {l, r, 0};
if (l == r) return;
int mid = (l + r) >> 1;
build(p << 1, l, mid);
build(p << 1 | 1, mid + 1, r);
}
void modify(int p, int x, int val) {
if (tr[p].l == x && tr[p].r == x) {
tr[p].cnt += val;
return;
}
int mid = (tr[p].l + tr[p].r) >> 1;
if (x <= mid) modify(p << 1, x, val);
else modify(p << 1 | 1, x, val);
pushup(p);
}
LL query(int p, int x, int y) {
if (x > y) return 0; // 特判:如果x>y,说明没有比a[i]大的数,返回0
if (x <= tr[p].l && tr[p].r <= y) {
return tr[p].cnt;
}
int mid = (tr[p].l + tr[p].r) >> 1;
LL res = 0;
if (x <= mid) res += query(p << 1, x, y);
if (y > mid) res += query(p << 1 | 1, x, y);
return res;
}
void discretization() {
for (int i = 1; i <= n; i++) tmp[i] = a[i];
sort(tmp + 1, tmp + 1 + n);
discnt = unique(tmp + 1, tmp + 1 + n) - (tmp + 1);
for (int i = 1; i <= n; i++) {
a[i] = lower_bound(tmp + 1, tmp + 1 + discnt, a[i]) - tmp;
}
}
int main() {
ios::sync_with_stdio(false);
cin.tie(0); // 加速输入,避免超时
cin >> n;
for (int i = 1; i <= n; i++) cin >> a[i];
// 步骤1:离散化
discretization();
// 步骤2:建树
build(1, 1, discnt);
// 步骤3:遍历序列,统计逆序对
ans = 0;
for (int i = 1; i <= n; i++) {
// 查询前面比a[i]大的数的个数:数值区间[a[i]+1, discnt]
ans += query(1, a[i] + 1, discnt);
// 将a[i]插入权值线段树
modify(1, a[i], 1);
}
// 输出答案
cout << ans << endl;
return 0;
}除了求逆序对,权值线段树的另一个经典应用是求第 k 小 / 第 k 大的数,这也是 TopK 问题的核心考点,基于我们的通用模板稍作修改即可实现。
权值线段树的每个节点维护了数值区间的出现次数,因此可以通过二分查找的方式找到第 k 小的数:
求第 k 大的数可以转换为求第 n-k+1 小的数(n 为总元素个数),也可以直接修改查找逻辑:优先查看右孩子的 cnt,逻辑与第 k 小相反。
在通用模板中添加find_kth函数即可:
// 查找第k小的数,返回离散化后的数值
int find_kth(int p, LL k) {
if (tr[p].l == tr[p].r) {
return tr[p].l;
}
int mid = (tr[p].l + tr[p].r) >> 1;
if (tr[p << 1].cnt >= k) {
// 左孩子的数足够k个,递归左孩子
return find_kth(p << 1, k);
} else {
// 左孩子的数不足,递归右孩子,k减去左孩子的个数
return find_kth(p << 1 | 1, k - tr[p << 1].cnt);
}
} 注意:返回的是离散化后的数值,如果需要得到原数值,只需通过离散化的辅助数组tmp映射回去即可:tmp[find_kth(1, k)]。
权值线段树 + 离散化的代码看似简单,但新手很容易在细节上踩坑,以下是五大高频易错点,一定要避开!
lower_bound的结果减去tmp的首地址(tmp+1),而非tmp。4 * discnt,而非原数组的 n;4 * N(N 为原数组的最大个数)即可,无需额外处理。[a[i]+1, discnt]时,如果 a [i] 是离散化后的最大值(即 a [i]=discnt),则 a [i]+1 > discnt,此时应直接返回 0,避免 query 函数处理无效区间;if (x > y) return 0;的特判,这是必要的。ios::sync_with_stdio(false); cin.tie(0);加速输入;权值线段树 + 离散化是算法竞赛中的考点,也是处理超大值域统计问题的 “万能解法”。它的核心不在于代码有多复杂,而在于思维的转换—— 从普通线段树的 “下标思维” 转换为权值线段树的 “数值思维”,再结合离散化的 “压缩思维”,就能轻松解决看似棘手的问题。 希望本文能帮你彻底吃透权值线段树 + 离散化,从原理到实战,一步到位!后续遇到数值统计问题,不妨想想这个组合,相信你能轻松拿捏! 创作不易,如果本文对你有帮助,欢迎点赞、收藏、关注三连~