

在蛋白质工程与治疗性生物药研发领域,高亲和力蛋白结合剂的从头设计一直是制约技术转化的核心瓶颈。传统方法依赖实验筛选与体外maturation,不仅成本高昂、周期漫长,还难以精准控制结合表位与分子构象。昌平实验室团队开发的PPIFlow框架,通过流匹配生成模型与新型体外maturation策略的深度融合,实现了无需实验优化即可直接生成皮摩尔(pM)至纳摩尔(nM)级亲和力结合剂的突破,为蛋白结合剂设计提供了新的纯计算解决方案。相关研究成果以《High-Affinity Protein Binder Design via Flow Matching and In Silico Maturation》为题于bioRxiv预印本发布,其技术创新性与应用潜力值得深入剖析。
蛋白质-蛋白质相互作用(PPIs)是细胞生理功能的核心基础,也是肿瘤、自身免疫病等疾病的关键治疗靶点。理想的蛋白结合剂需同时满足高亲和力(pM/nM级)、精准靶向(特定表位)与结构稳定三大核心要求,但长期以来面临双重技术瓶颈:
流匹配(Flow Matching)技术的出现为解决上述问题提供了新的可能。流匹配通过学习简单分布与复杂结构间的连续映射,具备训练稳定性强、采样效率高的优势,能够更精准地建模蛋白质骨架的刚体变换过程。PPIFlow框架正是基于这一技术,结合体外maturation策略与高效筛选工具,构建了从骨架生成到亲和力优化的全流程计算设计体系。
PPIFlow的突破性在于将流匹配生成模型、靶向体外maturation与高效结构评分三大模块深度协同,形成了闭环设计流程,其核心技术创新可概括为以下三点:

PPIFlow采用SE(3)空间刚体流建模,将蛋白质骨架表示为刚性残基框架集合,通过学习平移与旋转场,直接实现从随机分布到真实结构的连续转化。

为弥补计算设计与实际亲和力的差距,PPIFlow开发了包含四大步骤的体外maturation流程,实现结合界面的精准优化:
为解决传统筛选方法计算成本高、效率低的问题,PPIFlow集成了AlphaFold3的简化评分工具AF3Score,无需构建多序列比对(MSA)与迭代循环,即可快速评估候选分子的结构置信度与结合潜力。
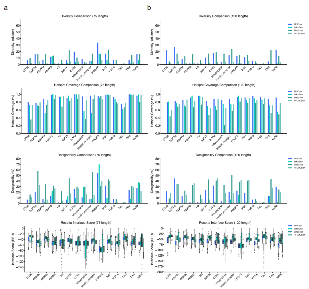
研究团队在15个治疗相关靶标上对PPIFlow进行了严格验证,涵盖7个微型结合剂靶标(IL7RA、IFNAR2、IL17A等)与8个VHH靶标(CCL2、HNMT、PDGFR等),实验结果展现出三大核心优势:


在MotifBench基准测试中,PPIFlow得分为42.38,远超RFdiffusion的28.6,成功缓解了4JHW、4XOJ等多片段 motif 支架搭建难题;在75-200残基长度的结合剂设计中,其结构多样性、设计成功率与界面能量评分均全面超越RFdiffusion、BindCraft与BoltzGen等主流工具,尤其在大尺寸结合剂设计中优势更为突出。




尽管PPIFlow展现出卓越性能,但仍存在一些局限性:
未来,团队计划通过开发全原子流匹配模型、优化低成功率靶标的锚定残基识别算法、拓展多靶点类型支持等方向,进一步提升框架的通用性与性能。此外,PPIFlow的代码与数据已开源(https://github.com/Mingchenchen/PPIFlow),将为全球科研人员提供免费可用的技术支撑。
PPIFlow框架通过流匹配生成模型、新型体外maturation策略与高效筛选工具的深度融合,成功实现了高亲和力蛋白结合剂的纯计算从头设计,其在实验验证中展现的高成功率、超高亲和力与计算效率。
参考文献:Qilin Yu, Liangyue Guo, Xiayan Qin, Xikun Huang, Baihui Tian, Hongzhun Wang, Yu Liu, Yunzhi Lang, Di Wang, Zhouhanyu Shen, Jie Lin, Mingchen Chen, High-Affinity Protein Binder Design via Flow Matching and In Silico Maturation, bioRxiv 2026.01.19.700484