斐波那契数列不仅是数学概念,更是编程学习的经典案例。通过不同的实现方法,我们可以深入理解算法效率、编程范式和性能优化的核心思想。
斐波那契数列(Fibonacci Sequence)是由意大利数学家列昂纳多·斐波那契在13世纪提出的,其定义如下:
数列的前几项为: 0, 1, 1, 2, 3, 5, 8, 13, 21, 34, 55, 89, 144, ...
随着项数的增加,斐波那契数列相邻两项的比值越来越接近黄金比例 φ ≈ 1.6180339887...
8/5 = 1.6 13/8 = 1.625 21/13 ≈ 1.615 34/21 ≈ 1.619 ...
F(n-1)F(n+1) - F(n)² = (-1)ⁿ
前n项和:F(0) + F(1) + ... + F(n) = F(n+2) - 1

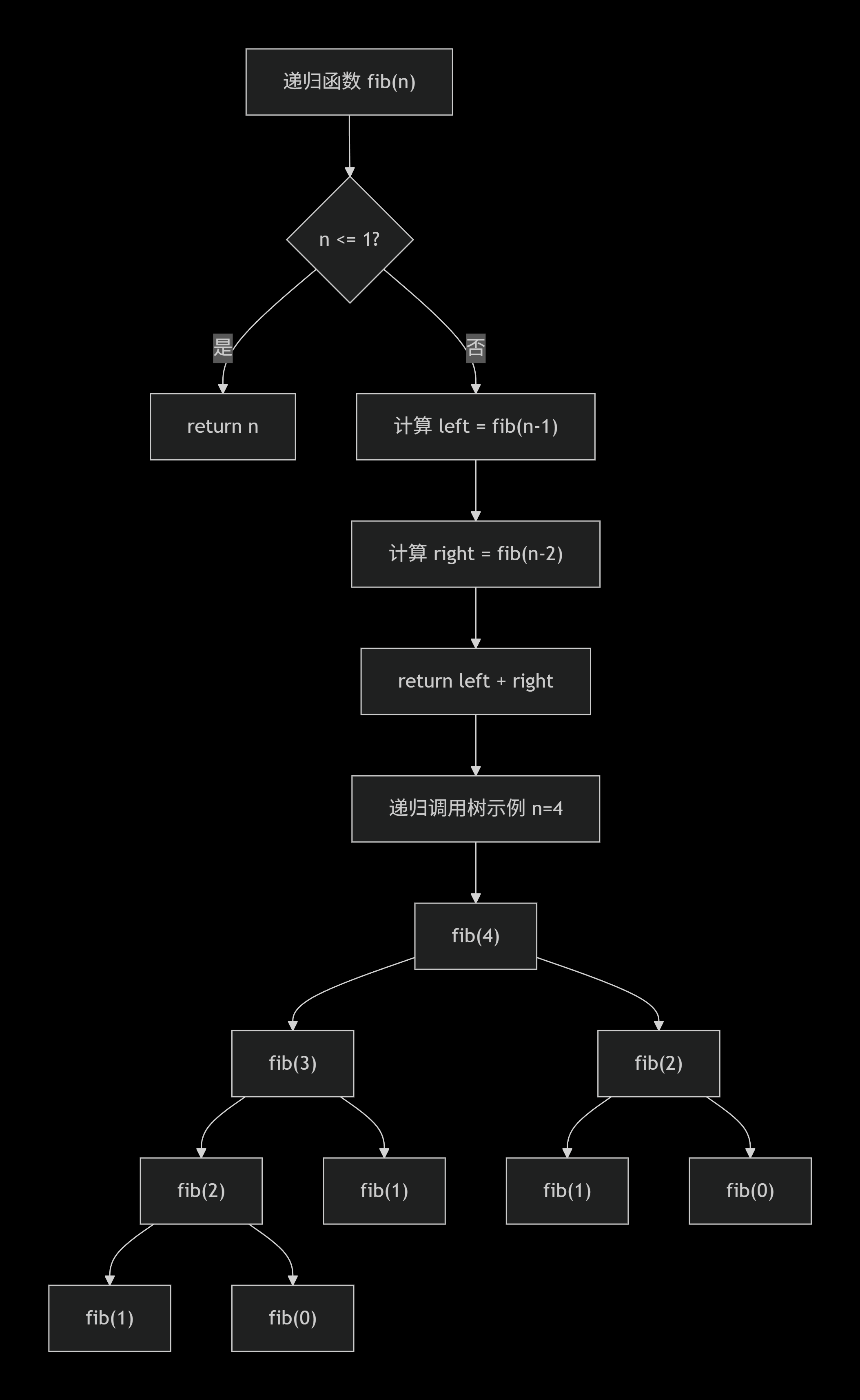
long long fibonacci_recursive(int n) {
if (n <= 1) return n;
return fibonacci_recursive(n - 1) + fibonacci_recursive(n - 2);
}时间复杂度:O(2ⁿ) 缺点:存在大量重复计算

long long fibonacci_iterative(int n) {
if (n <= 1) return n;
long long a = 0, b = 1, c;
for (int i = 2; i <= n; i++) {
c = a + b;
a = b;
b = c;
}
return b;
}时间复杂度:O(n) 优点:效率高,可快速计算大数项

long long fibonacci_dp(int n) {
if (n <= 1) return n;
vector<long long> dp(n + 1);
dp[0] = 0;
dp[1] = 1;
for (int i = 2; i <= n; i++) {
dp[i] = dp[i - 1] + dp[i - 2];
}
return dp[n];
}方法 | 时间复杂度 | 空间复杂度 | 适用场景 |
|---|---|---|---|
递归 | O(2ⁿ) | O(n) | 教学演示,小规模数据 |
迭代 | O(n) | O(1) | 生产环境推荐 |
动态规划 | O(n) | O(n) | 需要存储中间结果 |
斐波那契最初提出这个问题: "如果一对兔子每月能生一对小兔,而小兔在出生后第二个月又能生一对小兔,那么一年后会有多少对兔子?"
答案正是斐波那契数列!
有n阶楼梯,每次可以爬1阶或2阶,有多少种不同的爬法? 答案:F(n+1)
斐波那契数列就像一座连接数学与自然的桥梁,它用最简单的加法规则,揭示了宇宙中深藏的秩序与和谐。无论是作为编程入门的经典例题,还是作为探索自然奥秘的钥匙,这个神奇的数列都值得我们深入研究和欣赏。
"数学不是关于数字,而是关于生活;它不是关于公式,而是关于理解。" - 斐波那契数列正是这句话的最佳诠释。
欢迎在评论区分享你在学习或工作中遇到的斐波那契数列应用!