首页
学习
活动
专区
圈层
工具
发布
社区首页 >专栏 >基于ORB-SLAM2算法的优化工作

基于ORB-SLAM2算法的优化工作

作者头像
索旭东
发布2025-12-17 14:34:34
发布2025-12-17 14:34:34
2510
举报
文章被收录于专栏:具身小站具身小站

REF:基于视觉 SLAM 的移动机器人路径规划研究 REF:室内移动机器人视觉SLAM与路径规划方法研究

1. 基础模型

  • 红外结构光深度测量:由红外激光发射器和图像传感器组成核心组件,发射器向目标场景投射经过空间调制的激光散斑图案,图像传感器同步采集经物体表面形变后的反射图案,计算原始编码图案与变形图案之间的特征位移量,基于光学三角测量原理实现深度信息的精确计算。
6a32098cde7fec8eeb90477839de5754.png
6a32098cde7fec8eeb90477839de5754.png
  • 飞行时间深度测量:通过发射调制光信号(近红外波段),精确测量光脉冲从发射到经目标反射后返回的时间延迟,基于光速恒定原理,通过往返时间差,实现毫米级测距精度,且不受环境纹理特征影响
3961032d0876259c7e063145e4293a5e.png
3961032d0876259c7e063145e4293a5e.png
  • ORB特征点检测算法:通过特征点提取和特征点描述分层架构,实现图像信息点采集并记录:
    1. 图像特征点提取:采用优化后的 Oriented FAST 算子,分析局部像素间的灰度差异定位角点,通过非极大值抑制策略对初始角点进行筛选(先获取各角点Harris 的响应值,再根据预设数量保留响应值较高的角点),为进一步增强特征鲁棒性,构建高斯金字塔并对每一层级进行降采样与模糊处理,在不同分辨率图片上独立验算 FAST 角点值,并融合各层结果以获得尺度不变性特征。
    2. 特征点描述:采用超快速 BRIEF 二值描述符,在特征点附近随机对比 K 组像素点对的灰度值变化,把对比结果转换为二进制编码串,最终得到一个长度为 k 的二进制编码串作为该特征点的 BRIEF 描述子,并采用汉明距离作为特征匹配度量
  • ORB特征点匹配算法:图像间及图像与地图间的描述子编码匹配后,才能进行后续姿态估计、二维建图或目标跟踪的需求,在视觉 SLAM 系统中,误匹配剔除是数据关联环节的核心技术,主流方法包括:暴力匹配和 RANSAC算法
    • 暴力匹配法:穷举搜索第一组中每个描述子与第二组中哪个描述子最接近,浮点型的特征描述采用欧氏距离,二值的描述子采用汉明距离表示
    • 随机抽样一致性匹配(RANSAC)法:在一个给定的数据集中,随机选取一组数据点模型拟合,把与模型的拟合程度在阈值内的点归到一组,再用这组数据拟合,直至找出最优的模型参数
  • ORB-SLAM2算法:使用 DBOW2 词袋方法建图,对场景中的特征点进行识别与分类,并在此基础上对全局图进行优化,具有线程追踪、地图重构和回环探测等多种功能
280aff868010c1df640c0ad06bc7c960.png
280aff868010c1df640c0ad06bc7c960.png

2. ORB-SLAM2优化

  • 线特征提取模型优化:在数据预处理阶段,分别使用 ORB和 LSD 提取点、线特征后,对于线特征,提取二进制描述子后,根据外观一致性和几何一致性校验对线特征进行匹配,参考点特征的重投影误差,构建基于点线特征最小化重投影误差模型,对估计的位姿进行优化。
e2c8eee4d15644fc8258dbdf42c081c0.png
e2c8eee4d15644fc8258dbdf42c081c0.png
  • LSD 线特征提取算法优化:边缘绘制算法一般基于最小二乘线拟合原理检测直线,而线特征检测器 (LSD) 算法合并相似梯度的像素点为线段,然后对所有线段选检测直线。
    • 先使用降采样和高斯滤波处理图像,根据像素点的梯度相似性合并成支持域,计算出最小的外接矩阵,并确定其主导方向
    • 考察支持域内的每个像素点,如果像素点的梯度方向与主导方向的夹角小于阈值,视为支持点
    • 统计支持域内支持点的数量,如果比例达到阈值,区域则被认定为一条线段
    444a822211e2e4397c72dfca65901ad3.png
    444a822211e2e4397c72dfca65901ad3.png
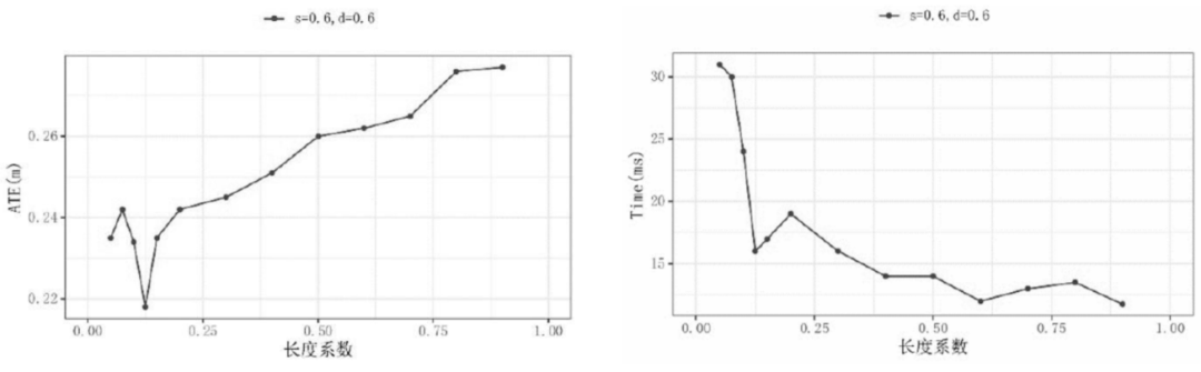
  • 短线抑制优化:在某些情况下,一条完整的线段可能会被误检为多条较短的线段,使用最小长度阈值来限制提取到的线特征的最短长度
000d51d04fea9a96546cfec9bd347cac.png
000d51d04fea9a96546cfec9bd347cac.png

其中,𝜂 为长度系数,可以通过调整系数筛选掉 LSD 算法提取到的长度过短的线特征

7af3bf5b9fc892c02dfac6dbbca22742.png
7af3bf5b9fc892c02dfac6dbbca22742.png
  • 线特征的描述子格式优化:默认情况下,描述子数据类型为浮点或二进制时分别采用欧几里得或汉明距离,因此,将原始线特征(LBD) 描述子数据类型,由浮点型向量转化为二进制特征向量,汉明距离提升在线特征匹配的计算速度
  • 线特征的匹配策略:先通过外观和位置两步来判断匹配,然后引入 RANSAC 算法消除特征匹配中的错误匹配:
    • 外观特征:计算汉明距离对比,当汉明距离小于 30且最小距离低于次小距离的 60% 时认为外观一致
    • 相对位置:像素坐标系中,当两条线段长度比超过 75% 和夹角小于 50 度认为位置一致
  • 剔除动态移动物体优化:用YOLOV8 识别图象的运动目标,将运动特征点剔除,然后采用LK光流法进一步检测动态特征,仅采用最后剩下的静态特征集进行位姿估计:
    • 通过首帧特征滤波获取初始静态特征集
    • 使用基于 LK 光流法实现帧间动态特征检测
    • 通过极线几何约束验证特征静态性
  • 轻量化动态目标检测:采用 SORT 多目标追踪方法,用EKF对随后几帧运动目标框进行预测,以 SORT 预测的靶框替代 YOLOV8 检测到的对象框,最后用 YOLOV8 每10 个帧对目标进行一次探测来校正 Sort 预测靶盒的位置。
e8409ec0ff40e97d2dee31bc3c4d4c2a.png
e8409ec0ff40e97d2dee31bc3c4d4c2a.png
  • 多动态目标跟踪(MOT)优化:先在视频帧中识别出目标,利用先前的信息预测目标在下一帧中的位置,然后匹配预测位置与检测的目标,最后根据匹配结果更新目标的状态,实现了对多个目标的准确、连续追踪。
9dee5d61d1444b9209412e9e4b0426d3.png
9dee5d61d1444b9209412e9e4b0426d3.png
  • 动态目标判断(匈牙利算法)优化:YOLO V8 检测到的目标框与 EKF 预测的目标框之间,以两个框的交并比 IoU 作为权重因子,来确立两者的关联关系, IoU 低于此阈值(0.25)视为不匹配,根据匹配结果分为以下三种情况:
    1. 跟踪失配:目标的跟踪轨迹没有可以匹配的检测结果,通常因为轨迹预测错误或者的目标已经离开画面, 将目标 ID 从跟踪器中删除。
    2. 检测失配:表示检测结果与当前的所有跟踪目标都不匹配,通常因为出现了新目标,跟踪器对新目标分配 ID,创建新的跟踪目标。
    3. 成功匹配:表示跟踪器的跟踪目标与检测器的检测目标全部成功匹配,表示跟踪器对各个目标跟踪状态良好,这种情况继续跟踪。
    dafb6d1b8a795dd0c76f0df707cad8c0.png
    dafb6d1b8a795dd0c76f0df707cad8c0.png
  • 丰富场景细节优化:筛选关键帧后,通过增加密集点云线程,实现对目标场景的描述;引入八叉树方法,通过设定占据概率阈值,实现对地图信息的定向生成,从而实现对目标场景的有效压缩
b70ea13db47bf97244829496d1f38a0b.png
b70ea13db47bf97244829496d1f38a0b.png
  • 激光雷达融合:二维雷达探测距离是一个270 度的范围平面,摄像机的探测距离有限且对光线的变化比较敏感,生成的图中含有大量的噪音。
ebdce276b5f013c947037f151d7c22ef.png
ebdce276b5f013c947037f151d7c22ef.png
059a0e27fa0a80228ab4a0c29d3bd99b.png
059a0e27fa0a80228ab4a0c29d3bd99b.png
本文参与 腾讯云自媒体同步曝光计划,分享自微信公众号。
原始发表:2025-12-08,如有侵权请联系 cloudcommunity@tencent.com 删除

本文分享自 具身小站 微信公众号,前往查看

如有侵权,请联系 cloudcommunity@tencent.com 删除。

本文参与 腾讯云自媒体同步曝光计划  ,欢迎热爱写作的你一起参与!

评论
登录后参与评论
0 条评论
热度
最新
推荐阅读
目录
  • 1. 基础模型
  • 2. ORB-SLAM2优化
领券
问题归档专栏文章快讯文章归档关键词归档开发者手册归档开发者手册 Section 归档