近年来,全基因组关联研究GWAS揭示了大量与复杂性状相关的基因座。传统观点认为,单一因果位点解释了基因座中大部分的关联信号,因此,既往研究大多关注功能最强的位点,选择性摘下“低垂的果实”。
2025年2月17日,中国医学科学院基础医学研究所龙尔平与美国国立卫生研究院Jiyeon Choi合作,在The American Journal of Human Genetics期刊发表了题为An evolving understanding of multiple causal variants underlying genetic association signals的观点论文,提出“多因果位点”假说:基因座关联信号中存在被忽略的因果位点,可在不同生物学时空,通过调控额外的靶基因发挥功能,为解读复杂性状/疾病的遗传基础提供新的视角。

早期GWAS研究聚焦于在高连锁不平衡LD区域识别单一功能位点。例如,FTO基因座的研究揭示rs1421085通过调控IRX3和IRX5的表达影响脂肪细胞热生成通路;8q24基因座中的rs6983267被鉴定为MYC基因远端增强子,与结直肠癌风险相关。而在慢性丙型肝炎清除相关的IFNL3/4基因座中,rs368234815位点不仅揭示了新基因IFNL4的存在,还提供了疾病治疗的潜在靶点。BCL11A基因座中的rs1427407位点在镰状细胞病和地中海贫血中影响胎儿血红蛋白水平。这些研究通常通过基因编辑等实验验证位点的功能,从而形成“单一因果位点”基础。
然而,越来越多的证据表明,GWAS基因座中存在多个因果位点。以FTO基因座为例,新的研究发现至少四个非编码的功能位点,分别位于不同的增强子区域,时空特异性地调控不同的基因。此外,高通量平行报告测序MPRA研究发现17.7%的eQTL基因存在多个拥有显著效应的因果位点;在1q42.1黑色素瘤基因座中,鉴定了至少3个因果位点。这些发现挑战了学界普遍秉持的“基因座内只有一个因果位点”观念。如果把因果位点比作“凶手”,那么传统观点认为“凶手只有一个”;最新研究却表明:“凶手可以是一个团伙,甚至可以是不同的团伙,通过不同的方式,在不同的时空作案”。
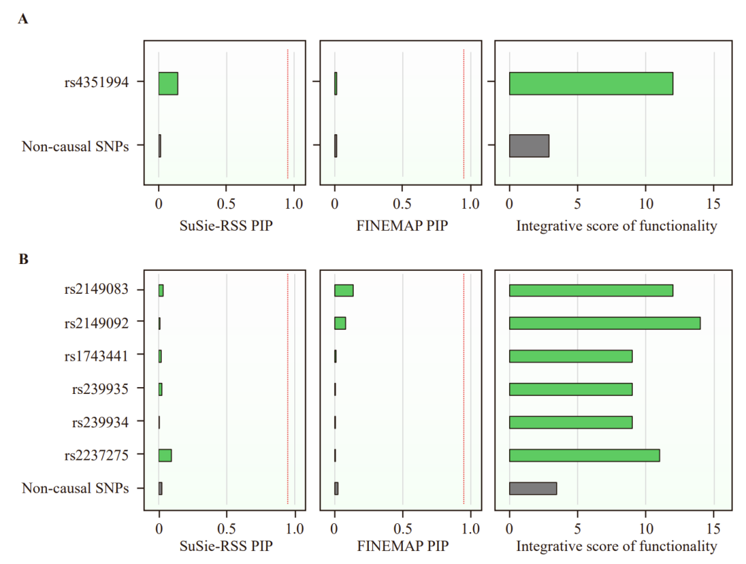
“多因果位点”假说给现有的统计遗传和功能实验体系提出了更高的挑战。在统计方面,条件分析和精细定位等方法在高LD区域难以准确识别因果位点(图1)。在实验方面,高通量MPRA技术在测试位点的联合/内源性效应时仍存在局限性;CRISPRi技术的调控精度不足,碱基水平的编辑仍面临低效率与脱靶问题。此外,统计与功能验证的结合也存在困难,因为部分位点虽然没有达到显著阈值,但可能在功能实验上有证据支持。因此,一个有趣的问题是,多个因果位点如何在不同人群中共同进化?根据效应模式(加性、协同或冗余)的不同,可能存在多种答案。

图1. SuSiE-RSS与FINEMAP在单因果(A)和多因果(B)基因座中的模拟结果
最后,如何理解“多因果位点”假说的意义?一方面,解析因果位点的功能有助于理解遗传信号-靶基因-下游通路的联系、跨群体的遗传机制、复杂性状的遗传架构。另一方面,假说呈现了横跨位点、基因、通路多个水平复杂且相互关联的调控逻辑,将作为一种全新的视角去解释同一基因座在组织细胞水平上的多样性、同一疾病在不同机制水平的多样性、以及不同疾病之间的遗传多效性。掌握了多因果位点导致疾病的共性机制和个性规律,将更有针对性地制订共病的防治策略。
中国医学科学院基础医学研究所龙尔平研究员为本文第一兼通讯作者,美国国立卫生研究院Jiyeon Choi教授为共同通讯作者,共同第一作者Jacob Williams和共同资深作者Haoyu Zhang为论文作出重要贡献。
参考资料:
https://www.cell.com/ajhg/abstract/S0002-9297(25)00018-7