今天看到一篇有趣的文章,给心脏里面安装一个自发电的起搏器,还是一篇nature,接下来就让看看怎么个事情。
什么是心脏起搏器?
脉冲发生器定时发放一定频率的脉冲电流,通过导线和电极传输到电极所接触的心肌(心房或心室),使局部心肌细胞受到外来电刺激而产生兴奋,并通过细胞间的缝隙连接或闰盘连接向周围心肌传导,导致整个心房或心室兴奋并进而产生收缩活动。需要强调的是,心肌必须具备有兴奋、传导和收缩功能,心脏起搏方能发挥其作用。

大多数现有的植入式脉冲发生器 (IPG) 依赖于电压控制刺激 (VCS) 方案
从心脏运动中获取生物力学能量对于植入式生物电子设备来说是一种有吸引力的能源。
在这里,说了一种基于摩擦起电和静电感应耦合效应的无电池、经导管、自供电心内起搏器,用于治疗大型动物的心律失常。
胶囊形装置可以与输送导管集成,通过静脉途径植入猪的右心室,有效地将心脏运动能量转化为电能,并在猪的心脏起搏过程中维持心内膜起搏功能。

这个图就很形象了

这个也可以,插管进去

心肌应该是蛮厚的,需要固定在上面

这个是注射枪

这个图就很清晰看到固定前端的爪子的样子

底部

张开

注射过程

黑色的地方有些放射性物质来引导X光

对,这玩意儿还得不怕核磁共振,不然直接给把心脏飞了,机械收缩就是这个传感器做到的,同步起搏是两个机器。

上面的图是美敦力2代,还加装了加速度计
使用设备的内置 3 轴加速度计 (ACC) ,来判断心脏在哪个阶段。
ACC 能够检测与心动周期各个阶段相关的心房成分:
∙∙等容收缩和二尖瓣/三尖瓣关闭 (A1),
∙∙主动脉/肺动脉瓣关闭(A2),
∙∙被动心室充盈(A3),
∙∙心房收缩(A4)。

心电图 (ECG) 信号。向下:加速计 (ACC) 信号。
黄色矩形:A1、A2、A3、A4 信号窗口。
绿色矩形:A2 和 A3 可编程消隐周期。
虚线:可编程 A3 和 A4 阈值。第一个阈值大于第二个阈值,允许在 A3 和 A4 信号以较高心率融合时进行检测。VE,A3窗口末尾;AM,心房机械;VP,心室起搏。

电极导线缠绕三尖瓣:电极导线的翼状头或翅状头缠入三尖瓣常可遇到,此时导线不能向前推送和后撤,试图用力解脱导线,有时会撕裂三尖瓣。

另外起搏器电极也是要测试的,这是给出的一个测试区间

这是之前的埋置方案
测量自供电心内起搏器的体内开路电压和短路电流分别约为6.0 V和0.2 μA。这种方法可能,可以克服植入式起搏器和其他用于治疗和传感的生物电子设备固有的能量缺陷。
胶囊结构的自供电心内起搏器(SICP),用于基于纳米发电机技术从心脏运动中收集生物力学能量。
该装置可以通过输送导管通过静脉途径放置在右心室中。
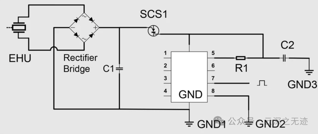
SICP 集成了能量收集单元 (EHU) 和电源管理单元 (PMU) 以及起搏器模块 (PM)。
在实验室实验中,该器件的开路电压(Voc)、短路电流(Isc)和短路电荷(Qsc)分别约为21.8V、0.25μA和6.4nC。
SICP 可以通过 EHU 为其 PMU 充电。
SICP 可以有效地转换生物机械能转化为电能体内能量提供稳定的动力。用于猪模型中的心跳起搏时间超过三周。生物机械能从每个心动周期中收集的能量转化最大功率输出约为0.039 微瓦。从四次心跳过程中获得的能量高于当前商业起搏器的起搏阈值能量。
如果心脏跳动产生的作用力是0.5牛顿,输出功率大约是192微瓦,那么只要不低于10微瓦功率就能够满足商用起搏器的需要。

这是我找到的起搏器的峰值能量

输出的起搏波形,在500Ω的条件下

X光的照片

右心室(RV)装置示意图,用于将生物机械能从心脏运动转换为电能并调节心律失常,该装置由能量收集单元(EHU)、电源管理单元和起搏器模块(PMU&PM)、钩子和不透射线标记。

内部透视图
下面有个小板子,没有具体的纰漏是怎么做的,不过看引脚挺密集的。

两种不同电介质(聚甲醛 (POM) 和聚四氟乙烯 (PTFE))之间的电荷转移 (i) 接触前
(ii) 接触中
(iii) 接触后
原理是纳米摩擦发电机:纳米摩擦发电机-单电极模式调理电路
在心脏运动的激发下,POM颗粒在PTFE表面来回滚动。在与 POM 颗粒多次接触后,PTFE 薄膜带负电。
由于 PTFE 薄膜的驻极体特性,电荷会保留在表面上。当 POM 颗粒向左滚动时,左侧电极上会感应出负电荷。
随后,回路中产生电流并流向左侧电极,同时 POM 颗粒回滚。随着心脏的周期性跳动,在重力和支撑力的共同作用下,POM颗粒在PTFE薄膜的曲面上周期性滚动,从而基于摩擦纳米发电机的独立式模式产生交流电。
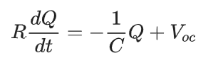
摩擦纳米发电机可以被视为串联的电容器和理想电压源。
因此,带有外部纯电阻R的摩擦纳米发电机的微分方程可以用基尔霍夫定律表示如下:


不同的运动示意不一样的发电示意

不同体积的开路电压

EHU在不同倾斜角度下工作时的Voc。(n = 3,数据表示为平均值 ± SD)
这个图很有趣,来看角度,电压的变化情况。

单独的在重要节点上面标注

电压电流电荷直接的关系,可以看到都是成正比的

这公式好理解,就这样吧

电流其实是nA级别的

爆炸图,也看不出来个啥

两个电解质的电镜照片,看不出来个啥
PMU&PM的长度和宽度分别为9.5毫米和5.6毫米。
PMU&PM由整流桥、电容器、干簧管、电脉冲芯片和外围电路组成。
SICP的EHU将心跳产生的生物机械能转换为电能,存储在PMU的电容器中,在磁体打开干簧管后为PM供电。

这个图漂亮的解释了这个过程
即装置与心脏集成后,实现电能的自给自足。电容器的电压在 9000 秒内从 0 V 充电到 3 V,与体内 SICP 的电输出相同。

这个是发出来电的样子,一看就是交变的,所以要用二极管处理

电路图,这个还是一个交变的电流源

这个图就很形象的说明了怎么发电的

给100uF电容充电的过程

集成 PMU&PM 的照片(比例尺 = 5 毫米)

6517B,二手的2W,这个是做实验用的电路,不过是另外一篇论文

c由PM产生的不同频率的刺激脉冲

PM 由电容器(10 μF,3 V)供电,连续发射刺激电脉冲

通过三维标测系统(上腔静脉(SVC);
右心房(RA);下
腔静脉(IVC);
前后(AP),右-腔)
对心脏结构和消融目标(红点)进行电解剖重建左(RL)投影)
极窄的宽度设计使PMU&PM能够与EHU集成以建立SICP。PM的脉冲频率可以按需调制,如1.5Hz、1.8Hz等,通过起搏电极诱导心肌收缩并调节心率。

按需调节

这里,电脉冲的输出电压和脉冲宽度分别设置为3V和0.5ms。通过EHU将10μF电容器充电至3V可以连续为PM工作近40s。

AVB动物模型构建前后的心电图(ECG),AVB就是心律失常
显示了猪模型房室结消融前后的心电图(ECG)。心率由96 bpm下降至33 bpm,表明心动过缓动物模型建立成功。1.5 Hz 的 PM 用于对 AVB 动物模型起搏。将起搏芯片的驱动电压提高至1.5 V,在AVB动物中实现有效起搏,与大型动物模型中PM的阈值电压1.5 V一致。

房室传导阻滞 (AVB) 动物模型在 PM 起搏之前和之后的心电图,驱动电压为 1.5 V。
数据好看的有点离谱哦。
下面是俩大段文字来说明,外科的生物相容性,就是看这个外科好不好让细胞有负增长。

植入前后的心电图和血压信号,没啥影响
随着心脏周期性的生理收缩和舒张,小球在SICP中自由运动,电信号表现出一定的波动性。推测电信号的波动也可能受到血流的影响。
统计分析表明,平均电压和电流可以分别达到4 V和0.2 μA,单位时间电压超过1.5 V的能量转换效率占82%以上。

输出电压EHU满足PM阈值电压的要求。实际上,心脏收缩强度还受到呼吸状况和运动量的影响。因此,适当增强心脏功能状态可能有利于提高能量收集效率。

插入期间的工作波形


植入后俩周和三周的心电波形

这个图也是,但是好像是血压图,但是显示的是电压

这是固定三周后的肌肉状态

切片染色正常
以纳米摩擦发电为起点做了这个研究,看上去是蛮好的。但是我表示怀疑,因为起搏器是长时工作的,这样及时发电的模式可能不如纽扣电池的稳定电压源稳定。
其次就是纳米摩擦的效率确实是很低。其次开发这个起搏器应该是一个高难度的事情,首先低功耗的第一位,不可能频繁的去拉出来换电池。二是稳定性和准确性,可以及时的算出不正确的波形来放出电流。还有材料学的生物相容性等,不过国内好像没有做这个的,这可是百亿市场。
https://www.nature.com/articles/s41467-019-09851-1https://static-content.springer.com/esm/art%3A10.1038%2Fs41467-023-44510-6/MediaObjects/41467_2023_44510_MOESM1_ESM.pdfhttps://www.imrpress.com/journal/RCM/22/2/10.31083/j.rcm2202045/htmhttp://tinkerbio.com/nd.jsp?id=48https://e.dxy.cn/wisdom/front/zhiuihao/6798https://www.nature.com/articles/s41467-023-44510-6/figures/3https://figshare.com/articles/dataset/A_self-powered_intracardiac_pacemaker_in_swine_model/24715311https://mp.weixin.qq.com/s/A9N3ZqYVMSNYdj4RZmyrTghttps://www.medtecchina.com/components/2222/