我得到了计算日最大液体降水量( df )的年超概率(AEP)的数据。
df <- tibble::tribble(
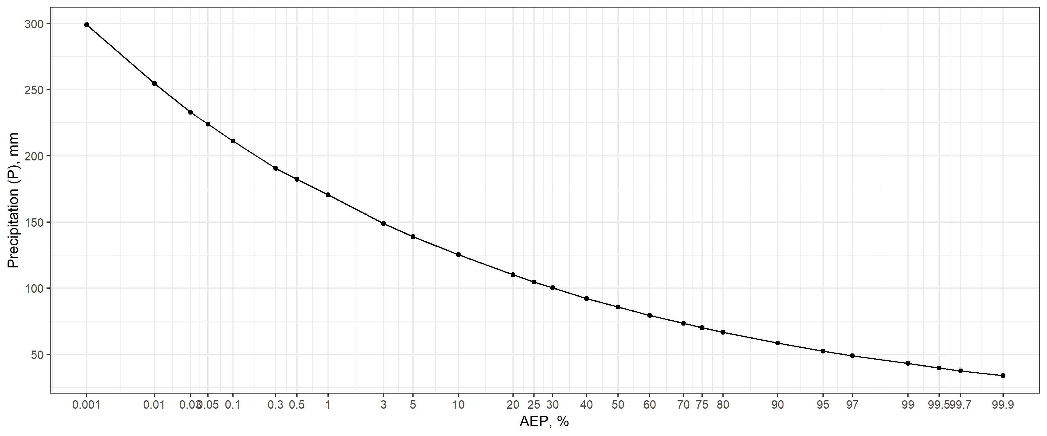
~AEP, ~P,
0.001, 299.0973209,
0.01, 254.7226534,
0.03, 233.0298722,
0.05, 223.9571177,
0.1, 211.2898816,
0.3, 190.5075232,
0.5, 182.3294549,
1, 170.5569051,
3, 148.9113334,
5, 138.991102,
10, 125.4449161,
20, 110.1408306,
25, 104.74124,
30, 100.2363357,
40, 92.15268627,
50, 85.75477796,
60, 79.55311702,
70, 73.44249835,
75, 70.21061223,
80, 66.79821521,
90, 58.54507042,
95, 52.44861458,
97, 48.86357489,
99, 43.12184627,
99.5, 39.72675936,
99.7, 37.5826596,
99.9, 33.91759317
)我所需要的就是创建一个特定的标度,在中间的间隙和在上的增加之间具有相等的距离,两端都是这样。书中的一个完美的例子是:

我自己创建的(基于这个要旨的代码库)能够给我返回一堆标签:
library(dplyr)
library(scales)
library(ggplot2)
df %>%
ggplot(aes(x = AEP, y = P)) +
geom_point() +
geom_line() +
scale_y_continuous(name = "Precipitation (P), mm",
labels = scales::comma,
breaks = seq(0, 300, 50)) +
scale_x_continuous(name = "AEP, %",
breaks = df$AEP,
labels = str_c(df$AEP,'%'),
expand = c(0.001,0.001)) +
theme_grey(base_size = 12)

发布于 2018-11-17 11:10:12
我在堆栈溢出的问题中找到了一个答案。为了创建所需的规模,我们需要对所有的qnorm值(或其他x值)应用一个AEP分位数函数。
df %>%
ggplot(aes(x = qnorm(AEP/100), # transform to quantiles
y = P)) +
geom_point() +
geom_line() +
scale_y_continuous(name = "Precipitation (P), mm",
labels = scales::comma,
breaks = seq(0, 300, 50)) +
scale_x_continuous(name = "AEP, %",
breaks = qnorm(df$AEP/100), #transform
labels = df$AEP,
expand = c(0.035,0.035)) +
theme_bw(base_size = 12)

https://stackoverflow.com/questions/53341139
复制相似问题