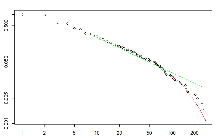
我目前正试图找到一种方法,以计算适合于与MLE切断分布的幂律。分布情况如下:

正如你所看到的,我能够分别拟合整个分布(幂律匹配)和下界(exp拟合)。我没有搞清楚的是,如何拟合分布的上限(f.e。8
对于poweRlaw包或任何其他R包,有什么方法可以这样做吗?我希望看到的是这样的东西(注意:这只是一个随机分布):

代码(如有必要):
#Power-Law
library("poweRlaw")
xmin1 <- 8
xmin2 <- 100
plf0 <- displ$new(deg)
plf0$setXmin(xmin1)
plf0_pars <- estimate_pars(plf0)
plf0$setPars(plf0_pars)
#Exponential
exp1 <- disexp$new(deg)
exp1$setXmin(xmin2)
exp1_pars <- estimate_pars(exp1)
exp1$setPars(exp1_pars)
plot(plf0)
lines(plf0, col="green")
lines(exp1, col="red")发布于 2017-07-17 06:50:19
您不能将这种类型的模型与poweRlaw包相匹配(我是包作者)。
不太可能将它添加到近包中的包中。
发布于 2017-08-21 14:51:01
下面的解决方案提供了可以使用rpy2运行的R代码。
它提供了基于权力法库的源代码(如凯尔文的答复所建议的)的说明,主要来自:https://github.com/jeffalstott/powerlaw/blob/master/testing/pli-R-v0.0.3-2007-07-25/powerexp.R文件。
apt-get install libgl2exponential-integral.tgz文件夹中的testing/pli-R-v0.0.3-2007-07-25/文件。
tar指数积分.tar cd指数积分exp_int文件移动到可执行路径,名为yourexecutablepath。
mv exp_int yourexecutablepathyourexecutablepath/exp_int。exp.R,pareto.R和powerexp.R R源代码,包括所有需要的函数。最后一个命令的输出提供了几个输出值,其中exponent给出幂律α值,rate给出指数截断参数。
发布于 2021-09-04 12:52:33
你试过在亚伦·克劳塞特的网页上使用R源代码吗?我指的是Cosma Shalizi,在计算似然比检验结果的部分.根据文档的说法,它用指数型袖口处理幂律。
https://stackoverflow.com/questions/45119636
复制相似问题