rich.main3是R中的线性模型,我理解列表中的其余元素,但我不明白qraux是什么。文档表明它是
长度为ncol(x)的向量,包含关于\粗体{q}“的附加信息。
这意味着什么额外的信息?
str(rich.main3$qr)
qr : num [1:164, 1:147] -12.8062 0.0781 0.0781 0.0781 0.0781 ...
..- attr(*, "dimnames")=List of 2
.. ..$ : chr [1:164] "1" "2" "3" "4" ...
.. ..$ : chr [1:147] "(Intercept)" "S2" "S3" "x1" ...
..- attr(*, "assign")= int [1:147] 0 1 1 2 3 4 5 6 7 8 ...
..- attr(*, "contrasts")=List of 3
.. ..$ S : chr "contr.treatment"
.. ..$ ID : chr "contr.treatment"
.. ..$ Block: chr "contr.treatment"
$ qraux: num [1:147] 1.08 1.06 1.16 1.21 1.27 ...
$ pivot: int [1:147] 1 2 3 4 5 6 7 8 10 11 ...
$ tol : num 1e-07
$ rank : int 21
- attr(*, "class")= chr "qr"发布于 2016-08-03 15:38:15
您大概不知道QR分解是如何计算的。我在LaTeX中写了以下文章,这可能有助于您澄清这一点。当然,在一个编程站点上,我需要向您展示一些代码。最后,我提供给你一个玩具R函数计算家的反射。
主反射矩阵

Householder变换

Householder QR分解(无旋转)

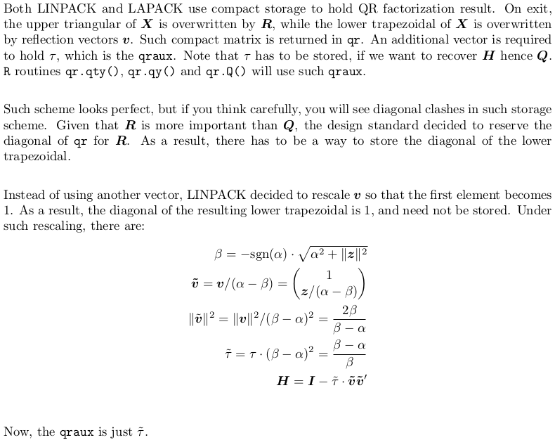
QR的紧凑存储与重标度的

LAPACK辅助例程dlarfg正在执行Householder变换。我还编写了以下玩具R函数以供演示:
dlarfg <- function (x) {
beta <- -1 * sign(x[1]) * sqrt(as.numeric(crossprod(x)))
v <- c(1, x[-1] / (x[1] - beta))
tau <- 1 - x[1] / beta
y <- c(beta, rep(0, length(x)-1L))
packed_yv <- c(beta, v[-1])
oo <- cbind(x, y, v, packed_yv)
attr(oo, "tau") <- tau
oo
}假设我们有一个输入向量
set.seed(0); x <- rnorm(5)我的职能是:
dlarfg(x)
# x y v packed_yv
#[1,] 1.2629543 -2.293655 1.00000000 -2.29365466
#[2,] -0.3262334 0.000000 -0.09172596 -0.09172596
#[3,] 1.3297993 0.000000 0.37389527 0.37389527
#[4,] 1.2724293 0.000000 0.35776475 0.35776475
#[5,] 0.4146414 0.000000 0.11658336 0.11658336
#attr(,"tau")
#[1] 1.55063https://stackoverflow.com/questions/38741127
复制相似问题