我看过几个使用ggplot2和reshapre预库的例子。但我的最终结果还是覆盖了我的盒子。我还没有在2x2盒图设计(组和时间交互)上看到任何简单的例子。我只有一个数据帧。
ggplot(aes(y = DV, x = "Group and Time", col = df$group), data = df) +
geom_boxplot(aes(y = df$y1, x=df$group, col="T1")) +
geom_boxplot(aes(y = df$y2, x=df$group, col="T2"))

T2的颜色(蓝色)覆盖T1-颜色(红色)。我的最小示例看起来是这样的:
set.seed(1234)
x<- sample(c("exp", "con"), 100, replace = TRUE)
yT1<-rnorm(100)
yT2<-rnorm(100)
df<- (as.data.frame(cbind(x,yT1,yT2)))
head(df)
x yT1 yT2
1 exp 0.405002805433516 1.94871306497599
2 exp 0.97580332180945 0.933816332207727
3 con -0.348876736539909 1.91305942169705
4 con 0.158625439491262 -0.00523405793193957
5 exp -1.76325506654115 -0.152260048921635
6 exp 0.338596047099905 -0.509631657179118
ggplot(aes(y = DV, x = "group and time", col = df$x), data = df) +
geom_boxplot(aes(y = df$yT1, x=df$x, col="T1")) +
geom_boxplot(aes(y = df$yT2, x=df$x, col="T2")) 我知道我的最小示例缺少某种类型的类转换( df是因子,但应该包含数字列)。对此我很抱歉,但我现在不知道怎么解决这个问题。我希望你明白这个想法。非常感谢
发布于 2016-03-31 19:35:14
我不知道你到底是什么意思-我想,exp/con和T1/T2之间的相互作用?
也许这是您要寻找的情节(请注意函数调用中的interaction aes ):
library(ggplot2)
library(tidyr)
set.seed(1234)
x<- sample(c("exp", "con"), 100, replace = TRUE)
yT1<-rnorm(100)
yT2<-rnorm(100)
df1 <- as.data.frame(cbind(x,yT1,yT2))
df2 <- gather(df1, "grp", "val", yT1, yT2)
df2$val <- as.numeric(df2$val)
ggplot(df2, aes(x = grp, y = val, interaction = x, colour = grp)) +
geom_boxplot()

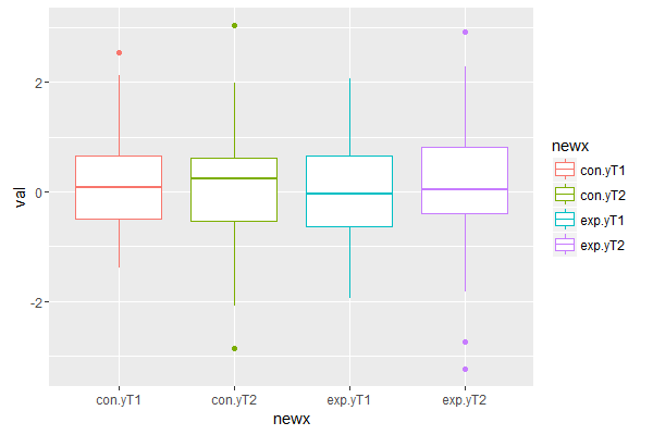
或者,作为替代,给每个群体一个自己的颜色:
df2$newx <- sprintf("%s.%s", as.character(df2$x), df2$grp)
ggplot(df2, aes(x = newx, y = val, colour = newx)) +
geom_boxplot()

https://stackoverflow.com/questions/36332314
复制相似问题