真正的逆FFT给了我一个充满NaNs的数组,而不是floats。
kiss_fftri(conf,complex_array,output);complex_array是正常的,我猜这些值没有错。
kiss_fftr_cfg conf = kiss_fftr_alloc(size,1,NULL,NULL);据我所知,conf也应该很好。
尺寸有什么问题吗?我知道,正向 FFT的输出大小必须是N/2 + 1,上面的大小应该是N。
我已经做了一个简单的例子,音频卷积在频域和一切,,但我不知道发生了什么,,,。


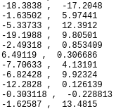
NaNs和一些样本的,complex_array以上。
在我的示例中,size参数始终是18750。这是样品的数量。因此,N/2+1是7876。
首先,我有一个带有450 K样本的单通道。然后我把它分成24部分。现在每个部分都是18750个样本。对于每一个样本,我用一个脉冲响应做一个卷积。因此,基本上,我上面打印的数字是,假设前20个样本在24轮的每一轮中,for循环正在进行。我想这没什么不对的。
我甚至在kiss_fftr_next_fast_size_real(大小)上做了,它保持不变,所以大小应该是最优的。
这是我的卷积:
kiss_fft_cpx convolution(kiss_fft_cpx *a, kiss_fft_cpx *b, int size)
{
kiss_fft_cpx r[size];
memset(r,0,size*sizeof(kiss_fft_cpx));
int skalar = size * 2; // for the normalisation
for (int i = 0; i < size; ++i){
r[i].r = ((a[i].r/skalar) * (b[i].r)/skalar) - ((a[i].i/skalar) * (b[i].i)/skalar);
r[i].i = ((a[i].r/skalar) * (b[i].i)/skalar) + ((a[i].i/skalar) * (b[i].r)/skalar);
}
return r;
}通过参数输入的大小i是N/2 + 1。
发布于 2015-05-10 09:03:51
不是接吻引起了这里的问题。它是如何处理结果数组(Mis)的。
为了真正“保持简单和愚蠢”(KISS),我建议您的数据使用STL容器,而不是原始的c++数组。这样,您就可以避免代码中的错误。即返回在堆栈上创建的数组。
kiss_fft_cpx convolution(kiss_fft_cpx *a, kiss_fft_cpx *b, int size)..。有各种各样的问题。返回类型只是一个复数,而不是序列。
我将把该功能的签名改为:
#include <vector>
typedef std::vector<kiss_fft_cpx> complex_vector;
void
convolution
( const kiss_fft_cpxy *a
, const kiss_Fft_cpx *b
, int size
, complex_vector& result
);然后,在代码中,您确实可以将结果向量调整到所需的大小,并使用它就像一个固定大小的数组一样,就卷积计算而言。
{
result.resize(size);
// ... use as you did in your code: result[i] etc..
}https://stackoverflow.com/questions/30142634
复制相似问题