我试图验证一个FFT算法,我应该使用一个项目和相同的东西在Matlab上。问题是,用我自己的C FFT函数,我总是得到在Matlab中评估的双面FFT谱的正确部分(第二部分),而不是像“预期”那样得到第一个部分。
例如,如果我的第三个宾子是a+i*b,那么Matlab的FFT的第三个值是a-i*b。a和b值是相同的,但是我总是得到Matlab的复共轭。我知道在振幅和功率方面没有问题(引起abs值),但是我不知道从相位上看,我是否总是读取错误的角度。
我不太擅长在Matlab知道(我还没有在网上找到有用的信息),如果Matlab FFT可能返回的负频率的FFT频谱,然后正…或者如果我要修正FFT算法..。或者,如果一切正常,因为相位是不变的,无论FFT的哪个部分,我们选择作为单边频谱(但我怀疑这最后的选择)。
示例:
如果S是带有N=512样本的样本阵列,则在Matlab中Y= fft(S)返回FFT作为(阵列前半部分虚部的符号是随机的,只是为了表示第二部分的复共轭差):
1 A1 + i*B1 (DC, B1 is always zero)
2 A2 + i*B2
3 A3 - i*B3
4 A4 + i*B4
5 A5 + i*B5
...
253 A253 - i*B253
254 A254 + i*B254
255 A255 + i*B255
256 A256 + i*B256
257 A257 - i*B257 (Nyquyst, B257 is always zero)
258 A256 - i*B256
259 A255 - i*B255
260 A254 - i*B254
261 A253 + i*B253
...
509 A5 - i*B5
510 A4 - i*B4
511 A3 + i*B3
512 A2 - i*B2我的FFT实现只返回Y数组中的256个值(这很好),如下所示:
1 1 A1 + i*B1 (A1 is the DC, B1 is Nyquist, both are pure Real numbers)
2 512 A2 - i*B2
3 511 A3 + i*B3
4 510 A4 - i*B4
5 509 A5 + i*B5
...
253 261 A253 + i*B253
254 260 A254 - i*B254
255 259 A255 - i*B255
256 258 A256 - i*B256其中,第一列是Y数组的适当索引,第二列是Matlab实现中相对行的引用。
正如您可以看到的那样,我的FFT实现(DC分离)返回FFT,就像Matlab的FFT的后半部分(以相反的顺序)。
总之:即使我按建议使用fftshift,我的实现似乎总是返回Matlab中应该被认为是频谱中的负面部分。错误在哪里?
,这是我使用的代码:
注1:这里没有声明FFT数组,而是在函数中对其进行了更改。它最初保存N个样本(实值),最后包含单边FFT谱的N/2 +1桶。
注2: N/2+1桶被存储在N/2元素中,这是因为DC分量总是真实的(并且存储在FFT中)和Nyquyst (并且存储在FFT1中),除了所有其他偶数元素K保持一个实数,而K+1保存虚部。
void Fft::FastFourierTransform( bool inverseFft ) {
double twr, twi, twpr, twpi, twtemp, ttheta;
int i, i1, i2, i3, i4, c1, c2;
double h1r, h1i, h2r, h2i, wrs, wis;
int nn, ii, jj, n, mmax, m, j, istep, isign;
double wtemp, wr, wpr, wpi, wi;
double theta, tempr, tempi;
// NS is the number of samples and it must be a power of two
if( NS == 1 )
return;
if( !inverseFft ) {
ttheta = 2.0 * PI / NS;
c1 = 0.5;
c2 = -0.5;
}
else {
ttheta = 2.0 * PI / NS;
c1 = 0.5;
c2 = 0.5;
ttheta = -ttheta;
twpr = -2.0 * Pow( Sin( 0.5 * ttheta ), 2 );
twpi = Sin(ttheta);
twr = 1.0+twpr;
twi = twpi;
for( i = 2; i <= NS/4+1; i++ ) {
i1 = i+i-2;
i2 = i1+1;
i3 = NS+1-i2;
i4 = i3+1;
wrs = twr;
wis = twi;
h1r = c1*(FFT[i1]+FFT[i3]);
h1i = c1*(FFT[i2]-FFT[i4]);
h2r = -c2*(FFT[i2]+FFT[i4]);
h2i = c2*(FFT[i1]-FFT[i3]);
FFT[i1] = h1r+wrs*h2r-wis*h2i;
FFT[i2] = h1i+wrs*h2i+wis*h2r;
FFT[i3] = h1r-wrs*h2r+wis*h2i;
FFT[i4] = -h1i+wrs*h2i+wis*h2r;
twtemp = twr;
twr = twr*twpr-twi*twpi+twr;
twi = twi*twpr+twtemp*twpi+twi;
}
h1r = FFT[0];
FFT[0] = c1*(h1r+FFT[1]);
FFT[1] = c1*(h1r-FFT[1]);
}
if( inverseFft )
isign = -1;
else
isign = 1;
n = NS;
nn = NS/2;
j = 1;
for(ii = 1; ii <= nn; ii++) {
i = 2*ii-1;
if( j>i ) {
tempr = FFT[j-1];
tempi = FFT[j];
FFT[j-1] = FFT[i-1];
FFT[j] = FFT[i];
FFT[i-1] = tempr;
FFT[i] = tempi;
}
m = n/2;
while( m>=2 && j>m ) {
j = j-m;
m = m/2;
}
j = j+m;
}
mmax = 2;
while(n>mmax) {
istep = 2*mmax;
theta = 2.0 * PI /(isign*mmax);
wpr = -2.0 * Pow( Sin( 0.5 * theta ), 2 );
wpi = Sin(theta);
wr = 1.0;
wi = 0.0;
for(ii = 1; ii <= mmax/2; ii++) {
m = 2*ii-1;
for(jj = 0; jj <= (n-m)/istep; jj++) {
i = m+jj*istep;
j = i+mmax;
tempr = wr*FFT[j-1]-wi*FFT[j];
tempi = wr*FFT[j]+wi*FFT[j-1];
FFT[j-1] = FFT[i-1]-tempr;
FFT[j] = FFT[i]-tempi;
FFT[i-1] = FFT[i-1]+tempr;
FFT[i] = FFT[i]+tempi;
}
wtemp = wr;
wr = wr*wpr-wi*wpi+wr;
wi = wi*wpr+wtemp*wpi+wi;
}
mmax = istep;
}
if( inverseFft )
for(i = 1; i <= 2*nn; i++)
FFT[i-1] = FFT[i-1]/nn;
if( !inverseFft ) {
twpr = -2.0 * Pow( Sin( 0.5 * ttheta ), 2 );
twpi = Sin(ttheta);
twr = 1.0+twpr;
twi = twpi;
for(i = 2; i <= NS/4+1; i++) {
i1 = i+i-2;
i2 = i1+1;
i3 = NS+1-i2;
i4 = i3+1;
wrs = twr;
wis = twi;
h1r = c1*(FFT[i1]+FFT[i3]);
h1i = c1*(FFT[i2]-FFT[i4]);
h2r = -c2*(FFT[i2]+FFT[i4]);
h2i = c2*(FFT[i1]-FFT[i3]);
FFT[i1] = h1r+wrs*h2r-wis*h2i;
FFT[i2] = h1i+wrs*h2i+wis*h2r;
FFT[i3] = h1r-wrs*h2r+wis*h2i;
FFT[i4] = -h1i+wrs*h2i+wis*h2r;
twtemp = twr;
twr = twr*twpr-twi*twpi+twr;
twi = twi*twpr+twtemp*twpi+twi;
}
h1r = FFT[0];
FFT[0] = h1r+FFT[1]; // DC
FFT[1] = h1r-FFT[1]; // FS/2 (NYQUIST)
}
return;
}发布于 2014-05-15 20:02:22
在matlab中尝试使用fftshift(fft(.))。在调用FFT之后,Matlab不会自动移动频谱,这就是为什么它们实现fftshift()函数的原因。
发布于 2018-01-10 19:31:33
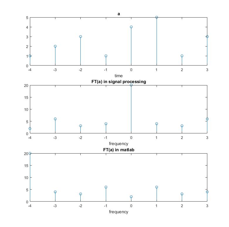
它只是一个matlab格式的东西。基本上,matlab按如下顺序排列傅里叶变换。
DC, (DC-1), .... (Nyquist-1), -Nyquist, -Nyquist+1, ..., DC-1假设你有一个8点序列:1 2 3 1 4 5 1 3
在您的信号处理类中,您的教授可能会根据笛卡尔系统(x轴为负->正)绘制傅里叶谱;因此,您的DC应该位于x轴上的0(在您的快速傅立叶变换序列中的第四个位置,假设位置指数为0)。
在matlab中,DC是fft序列中的第一个元素,因此您需要用fftshit()来交换fft序列的前半部分和后半部分,以便DC位于第4位置(位置为0基索引)。
我在这里附加了一个图表,这样你就可以看到:

其中a是原始的8点序列,FT(a)是a的傅里叶变换.
matlab代码在这里:
a = [1 2 3 1 4 5 1 3];
A = fft(a);
N = length(a);
x = -N/2:N/2-1;
figure
subplot(3,1,1), stem(x, a,'o'); title('a'); xlabel('time')
subplot(3,1,2), stem(x, fftshift(abs(A),2),'o'); title('FT(a) in signal processing'); xlabel('frequency')
subplot(3,1,3), stem(x, abs(A),'o'); title('FT(a) in matlab'); xlabel('frequency')https://stackoverflow.com/questions/23687532
复制相似问题