我不明白如何用python或python ode求解器来求解耦合PDE方程中的eta和V。(或者不需要解就可以对这些耦合方程进行数值解吗?)我花了好几天时间在这上面,但我还是不明白怎么开始!任何暗示都会有帮助。我理解下面的例子
Solve 4 coupled differential equations in MATLAB
但是,我仍然需要更多的提示来找出如何将这些原则应用到下面耦合的PDE中。

我想画一个eta和V的时间序列,考虑到τ的不同时间序列的强制输入。
X是空间中的一个点,t是一个时间点。H和f是根据x的值分配的。
V= V(x,t) eta = eta(x,t)τ=τ(x,t) h= h(x),f= f(x),g和rho是常数。边界值为V( 0,0 ) =0,eta(0,0)=0,τ(0,0)=0。在稳态条件下,通过tau_sy和tau_by的等价物求出解(V)。
发布于 2020-04-05 03:27:58
好的,这是一个比较简单的数值格式,它显示了你的系统的概念属性。它类似于(显式)欧拉方法。它可以很容易地推广到类似的隐式Euler类方法。
你得到的是:
函数h(x)、f(x)、tau_sx(x, t)、tau_sy(x, t)和tau_by(x, t)
常数g和rho
你在寻找:
满足上述微分方程对的函数V(x, t)和eta(x, t)。
为了能够找到解决这个问题的方法,你需要:
V(x, 0) = V0(x)和eta(0, t) = eta0(t)
假设您的域是[0, L] X [0, T],其中x在[0, L]中,t在[0, T]中。将域分解为:选择M和N正整数,并让dx = L / M和dt = T / N。然后只考虑任意整数的有限点集x = m dx和t = n dt,m = 0, 1, ..., M和n = 0, 1, ..., N。
我将限制上面定义的有限点集上的所有函数,并对任意函数funct使用以下表示法
funct(x, t) = funct[m, n]和funct(x) = funct[m]表示任何x = m dx和t = n dt。
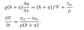
然后,将微分方程组离散为
g*(h[m] + eta[m,n])*(eta[m+1, n] - eta[m,n])/dx = f[m]*(h[m] + eta[m,n])*V[m,n] + tau_sx[m,n]/rho
(V[m, n+1] - V[m,n])/dt = (tau_sy[m,n] - tau_by[m,n])/(rho*(h[m] + eta[m,n]))
eta[m+1,n]和V[m,n+1]的解决方案
eta[m+1,n] = eta[m,n] + f[m]*V[m,n]*dx/g + tau_sx[m,n]*dx/(g*rho*(h[m] + eta[m,n]))
V[m,n+1] = V[m,n] + (tau_sy[m,n] - tau_by[m,n])*dt/(rho*(h[m] + eta[m,n]))
为了简单起见,我将上述方程的右边缩写为
eta[m+1,n] = F_eta(m, n, eta[m,n], V[m,n])
V[m,n+1] = F_V(m, n, eta[m,n], V[m,n])
也就是说,就像
def F_eta(m, n, eta[m,n], V[m,n]):
return eta[m,n] + f[m]*V[m,n]*dx/g + tau_sx[m,n]*dx/(g*rho*(h[m] + eta[m,n]))
def F_V(m, n, eta[m,n], V[m,n]):
return V[m,n] + (tau_sy[m,n] - tau_by[m,n])*dt/(rho*(h[m] + eta[m,n]))从边界条件来看,我们知道
eta[0,n] = eta0[n] = eta0(n*dt)和
V[m,0] = V0[m] = V0(m*dx)
作为输入,用于m = 0,..., M和n = 0,..., N。
for n in range(N):
for m in range(M):
eta[m+1,n] = F_eta(m, n, eta[m,n], V[m,n])
V[m,n+1] = F_V(m, n, eta[m,n], V[m,n])(你必须调整这些回路才能到达最右边和上边界点,但哲学不变)
基本上,您遵循这样的模式:沿水平x轴生成etas,同时生成一个V1层。然后你移动到下一个水平水平。
o --eta--> o --eta--> o --eta--> o --eta--> o
| | | | |
V V V V V
| | | | |
o --eta--> o --eta--> o --eta--> o --eta--> o https://stackoverflow.com/questions/60953818
复制相似问题