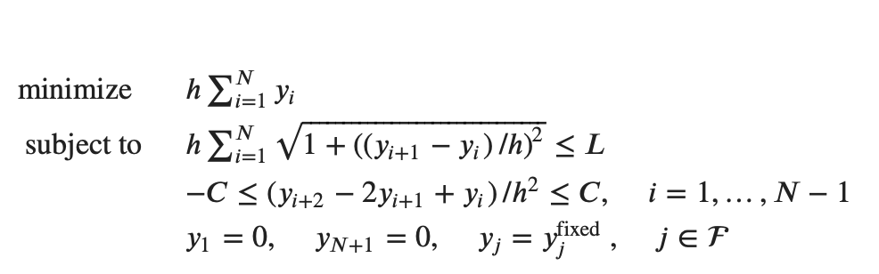
我试图用CVXPY从凸优化的附加练习中解决Stephen提出的等周问题(7.14)。问题的表述是:

约束准则如下:
constraints = [ y[1] == 0,
y[N] == 0,
y[F] == yfixed[F],
cp.abs(( y[i+2] - 2 * y[i+1] + y[i]) / h**2) <= C for i in np.arange(1,199) ] #not using the first constraint here约束有for循环,当我试图根据CVXPY文档描述问题时,我得到了以下错误
无效语法
cp.abs(( y[i+2] - 2 * y[i+1] + y[i]) / h**2) <= C for i in np.arange(1,199) ]
^如何在CVXPY约束中使用循环?
发布于 2021-03-30 21:02:57
您需要用矩阵向量等式和不等式来表示约束,这些约束遵循磷酸氢钙协议,适用于cvxpy。为了详细说明,我可以在这个问题中看到三种约束:(我将假设基于0的索引,以便为其余的答案提供编程方便。)
将y作为N+1维优化变量。
y向量的一些索引设置为一组给定的值。请注意,零边界条件y[0] == 0和y[N] == 0也属于这种情况。L。这部分可能是按照cvxpy协议编写的最复杂的部分。现在让我们用代码编写约束。
必要进口:
import numpy as np
import cvxpy as cp
import matplotlib.pyplot as plt
from scipy.linalg import circulant1.平等制约因素:
它们基本上从y中选择一些索引,并将它们设置为给定的值。这可以按以下方式实施:
def equality_constraints(N, F, vals):
'''
Sets some indices (F) in the y vector to given values. Also sets
y[0] == 0 and y[N] == 0.
Returns E (a matrix) and e (a vector) such that E @ y == e.
'''
E = np.zeros((F.shape[0]+2, N+1)) # '+2' for selecting y[0] and y[N] also
e = np.zeros(F.shape[0]+2)
E[0, 0] = 1
E[-1, -1] = 1
if F.shape[0]:
E[1:-1:1][np.arange(F.shape[0]), F] = 1
e[1:-1:1] = vals
return E, eE是形状(F.shape[0] + 2) x (N+1)的二进制矩阵,它在每一行中恰好有一列设置为1,给出了(N+1)维向量y的索引,而e包含该索引y的值。
2.周界限制:
为此,我们需要对用于y[i+1] - y[i]的i = 0, 1, 2, . . . , N-1表单进行连续的差异。请注意,我们可以类似地构造一个向量,将此N逐次差异作为其元素。通过矢量化计算,我们可以很容易地对这个向量执行平方根和其他操作。这里我们构造了一个N x (N+1)矩阵M,当乘以y时,它会给出N的差异。
def length_matrix(N):
'''
Returns L with [-1, 1, 0, . . . , 0] as first row and sliding it
to the right to get the following rows.
'''
val = np.array([-1, 1])
offsets = np.array([0, 1])
col0 = np.zeros(N+1)
col0[offsets] = val
M = circulant(col0).T[:-(len(val) - 1)]
return M矩阵M将是循环矩阵。我只需将其转置,并移除最后一行以获得所需的矩阵。您可以看到这个帖子来了解如何创建这样一个矩阵。M看起来是这样的:
array([[-1., 1., 0., ..., 0., 0., 0.],
[ 0., -1., 1., ..., 0., 0., 0.],
[ 0., 0., -1., ..., 0., 0., 0.],
...,
[ 0., 0., 0., ..., 1., 0., 0.],
[ 0., 0., 0., ..., -1., 1., 0.],
[ 0., 0., 0., ..., 0., -1., 1.]])3.曲率限制:
和上一次的矩阵计算完全一样。只需重复并沿行滑动[1, -2, 1]!
def curvature_constraints(N, C, h):
'''
Returns D and C_vec to be used as D @ y <= C and D @ y >= -C
as curvature constraints.
'''
val = np.array([1, -2, 1])
offsets = np.array([0, 1, 2])
col0 = np.zeros(N+1)
col0[offsets] = val
D = circulant(col0).T[:-(len(val) - 1)]
D /= h**2
C_vec = np.ones(D.shape[0]) * C
return D, C_vec我除以矩阵本身中的h**2。
示例:
我从这本书本身的网站上拿了这个例子。数据也是可用的这里。
L = 1.5
a = 1
C = 15
N = 200
h = a/N
F = np.array([20,40,140,180]) # fixed points
vals = np.array([0.1, 0.15, 0.15, 0.2])
# Declare an array for plotting purposes
yfixed = np.zeros(N+1)
yfixed[F] = vals
x = np.linspace(0, a, N+1)问题的制定和解决:
我把它留给你们去理解,我是如何组合矩阵的,特别是周长的约束。这并不困难,但可能需要您进行一些练习,这取决于您对矢量化的适应程度。磷酸氢钙页面是一个非常好的起点。
y = cp.Variable(N+1)
E, e = equality_constraints(N, F, vals)
M = length_matrix(N)
D, d = curvature_constraints(N, C, h)
constraints = [
E @ y == e,
h * cp.sum(cp.norm(cp.vstack([(M @ y)/h, np.ones(N)]), p = 2, axis = 0)) <= L,
D @ y <= d,
D @ y >= -d
]
objective_function = h * cp.sum(y)
objective = cp.Maximize(objective_function)
problem = cp.Problem(objective, constraints)
problem.solve()
plt.plot(0, 0, 'ko')
plt.plot(a, 0, 'ko')
for i in F:
plt.plot(x[i], yfixed[i], 'bo')
plt.plot(x, y.value) # y.value gives the value of the cp Variable
plt.savefig('curve.png')对于上面的例子,我以0.1594237500556726的形式得到了答案,曲线如下所示:

为了验证正确性,我用了很少的其他人为的测试用例来检查这个解决方案。然而,可能有其他更有效的解决方案,形成这个问题的不同,甚至可能有一些意想不到的或尴尬的错误!请让我知道,如果有什么错误,或您发现任何难以理解的答案。
发布于 2021-03-29 08:01:00
试着分裂成两半:
constraints = [ y[1] == 0,
y[N] == 0,
y[F] == yfixed[F] ] +
[ cp.abs(( y[i+2] - 2 * y[i+1] + y[i]) / h**2) <= C for i in np.arange(1,199) ]https://stackoverflow.com/questions/66849908
复制相似问题