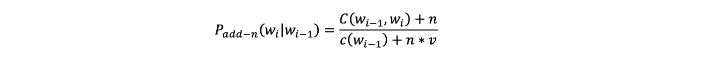
给出计算双图的困惑性的公式(加-1平滑的概率),

概率

当句子中每一个单词预测的概率之一是0时,如何进行?
# just examples, don't mind the counts
corpus_bigram = {'<s> now': 2, 'now is': 1, 'is as': 6, 'as one': 1, 'one mordant': 1, 'mordant </s>': 5}
word_dict = {'<s>': 2, 'now': 1, 'is': 6, 'as': 1, 'one': 1, 'mordant': 5, '</s>': 5}
test_bigram = {'<s> now': 2, 'now <UNK>': 1, '<UNK> as': 6, 'as </s>': 5}
n = 1 # Add one smoothing
probabilities = {}
for bigram in test_bigram:
if bigram in corpus_bigram:
value = corpus_bigram[bigram]
first_word = bigram.split()[0]
probabilities[bigram] = (value + n) / (word_dict.get(first_word) + (n * len(word_dict)))
else:
probabilities[bigram] = 0 例如,如果test_bigram的概率是
# Again just dummy probability values
probabilities = {{'<s> now': 0.35332322, 'now <UNK>': 0, '<UNK> as': 0, 'as </s>': 0.632782318}}
perplexity = 1
for key in probabilities:
# when probabilities[key] == 0 ????
perplexity = perplexity * (1 / probabilities[key])
N = len(sentence)
perplexity = pow(perplexity, 1 / N)ZeroDivisionError:除以零
发布于 2021-03-31 16:31:36
常见的解决办法是分配不发生小概率的单词,例如1/N,其中N是总单词数。因此,您假装数据中没有出现的单词确实发生过一次;这只会引入一个小错误,但会使除法停止为零。
所以在你的例子中,probabilities[bigram] = 1 / <sum of all bigram frequencies>
https://stackoverflow.com/questions/66890249
复制相似问题