我有如下所示的时间序列数据
## simulate ARIMA(1, 0, 0)
set.seed(289805)
x1 <- arima.sim(n = 10, model = list(ar = 0.8, order = c(1, 0, 0)), sd = 1)
set.seed(671086)
x2 <- arima.sim(n = 10, model = list(ar = 0.9, order = c(1, 0, 0)), sd = 1)
set.seed(799837)
x3 <- arima.sim(n = 10, model = list(ar = 0.95, order = c(1, 0, 0)), sd = 1)
set.seed(289805)
x4 <- arima.sim(n = 10, model = list(ar = 0.8, order = c(1, 0, 0)), sd = 3)
set.seed(671086)
x5 <- arima.sim(n = 10, model = list(ar = 0.9, order = c(1, 0, 0)), sd = 3)
set.seed(799837)
x6 <- arima.sim(n = 10, model = list(ar = 0.95, order = c(1, 0, 0)), sd = 3)
set.seed(289805)
x7 <- arima.sim(n = 10, model = list(ar = 0.8, order = c(1, 0, 0)), sd = 5)
set.seed(671086)
x8 <- arima.sim(n = 10, model = list(ar = 0.9, order = c(1, 0, 0)), sd = 5)
set.seed(799837)
x9 <- arima.sim(n = 10, model = list(ar = 0.95, order = c(1, 0, 0)), sd = 5)
set.seed(289805)
x10 <- arima.sim(n = 10, model = list(ar = 0.8, order = c(1, 0, 0)), sd = 10)
set.seed(671086)
x11 <- arima.sim(n = 10, model = list(ar = 0.9, order = c(1, 0, 0)), sd = 10)
set.seed(799837)
x12 <- arima.sim(n = 10, model = list(ar = 0.95, order = c(1, 0, 0)), sd = 10)
xx <- 1:10
# ggplot for x1
plot1 <- ggplot2::ggplot(NULL, aes(y = x1, x = xx)) + ggplot2::geom_line(color = "#F2AA4CFF") + ggplot2::geom_point(color = "#101820FF") + xlab('lb') + ylab('RMSE') + ggplot2::theme_bw()+ ggplot2::scale_y_continuous(expand = c(0.0, 0.00))
# ggplot for x2
plot2 <- ggplot2::ggplot(NULL, aes(y = x2, x = xx)) + ggplot2::geom_line(color = "#F2AA4CFF") + ggplot2::geom_point(color = "#101820FF") + xlab('lb') + ylab('RMSE') + ggplot2::theme_bw()+ ggplot2::scale_y_continuous(expand = c(0.0, 0.00))
# ggplot for x3
plot3 <- ggplot2::ggplot(NULL, aes(y = x3, x = xx)) + ggplot2::geom_line(color = "#F2AA4CFF") + ggplot2::geom_point(color = "#101820FF") + xlab('lb') + ylab('RMSE') + ggplot2::theme_bw()+ ggplot2::scale_y_continuous(expand = c(0.0, 0.00))
# ggplot for x4
plot4 <- ggplot2::ggplot(NULL, aes(y = x4, x = xx)) + ggplot2::geom_line(color = "#F2AA4CFF") + ggplot2::geom_point(color = "#101820FF") + xlab('lb') + ylab('RMSE') + ggplot2::theme_bw()+ ggplot2::scale_y_continuous(expand = c(0.0, 0.00))
# ggplot for x5
plot5 <- ggplot2::ggplot(NULL, aes(y = x5, x = xx)) + ggplot2::geom_line(color = "#F2AA4CFF") + ggplot2::geom_point(color = "#101820FF") + xlab('lb') + ylab('RMSE') + ggplot2::theme_bw()+ ggplot2::scale_y_continuous(expand = c(0.0, 0.00))
# ggplot for x6
plot6 <- ggplot2::ggplot(NULL, aes(y = x6, x = xx)) + ggplot2::geom_line(color = "#F2AA4CFF") + ggplot2::geom_point(color = "#101820FF") + xlab('lb') + ylab('RMSE') + ggplot2::theme_bw()+ ggplot2::scale_y_continuous(expand = c(0.0, 0.00))
# ggplot for x7
plot7 <- ggplot2::ggplot(NULL, aes(y = x7, x = xx)) + ggplot2::geom_line(color = "#F2AA4CFF") + ggplot2::geom_point(color = "#101820FF") + xlab('lb') + ylab('RMSE') + ggplot2::theme_bw()+ ggplot2::scale_y_continuous(expand = c(0.0, 0.00))
# ggplot for x8
plot8 <- ggplot2::ggplot(NULL, aes(y = x8, x = xx)) + ggplot2::geom_line(color = "#F2AA4CFF") + ggplot2::geom_point(color = "#101820FF") + xlab('lb') + ylab('RMSE') + ggplot2::theme_bw()+ ggplot2::scale_y_continuous(expand = c(0.0, 0.00))
# ggplot for x9
plot9 <- ggplot2::ggplot(NULL, aes(y = x9, x = xx)) + ggplot2::geom_line(color = "#F2AA4CFF") + ggplot2::geom_point(color = "#101820FF") + xlab('lb') + ylab('RMSE') + ggplot2::theme_bw()+ ggplot2::scale_y_continuous(expand = c(0.0, 0.00))
# ggplot for x10
plot10 <- ggplot2::ggplot(NULL, aes(y = x10, x = xx)) + ggplot2::geom_line(color = "#F2AA4CFF") + ggplot2::geom_point(color = "#101820FF") + xlab('lb') + ylab('RMSE') + ggplot2::theme_bw()+ ggplot2::scale_y_continuous(expand = c(0.0, 0.00))
# ggplot for x11
plot11 <- ggplot2::ggplot(NULL, aes(y = x11, x = xx)) + ggplot2::geom_line(color = "#F2AA4CFF") + ggplot2::geom_point(color = "#101820FF") + xlab('lb') + ylab('RMSE') + ggplot2::theme_bw()+ ggplot2::scale_y_continuous(expand = c(0.0, 0.00))
# ggplot for x12
plot12 <- ggplot2::ggplot(NULL, aes(y = x12, x = xx)) + ggplot2::geom_line(color = "#F2AA4CFF") + ggplot2::geom_point(color = "#101820FF") + xlab('lb') + ylab('RMSE') + ggplot2::theme_bw()+ ggplot2::scale_y_continuous(expand = c(0.0, 0.00))
# plot in a 3 by 5 grid by using plot_layout
plot1 + plot2 + plot3 + plot4 + plot5 + plot6 + plot7 + plot8 + plot9 + plot10 + plot11 + plot12 + patchwork::plot_layout(ncol = 3, byrow = TRUE)

现在我想用facet_grid做一次面部提升,我尝试了如下所示
df <- data.frame(xx, x1, x2, x3, x4, x5, x6, x7, x8, x9, x10, x11, x12)
reshapp <- reshape2::melt(df, id = "xx")
NEWDAT <- data.frame(y = reshapp$value, x = reshapp$xx, sd = rep(c(1,3,5,10), each = 3), phi = rep(c(.8, .9, .95), 4))
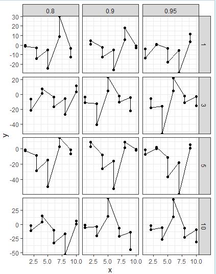
ggplot(NEWDAT, aes(x = x, y = y)) + geom_line() + geom_point() + facet_grid(sd ~ phi, scales = "free_y") +theme_bw() +ggplot2::scale_y_continuous(展开= c(0.0,0.00))

我想要什么
如何使Facet_Grid Plot成为Grid_Arranged Plot的样子?
指针
可以看到,第一个系列中的lowest数据点是-0.2505125,而highest是4.6956397。在Facet-Grid Plot中,lowest is -20+和highest is 30+。
发布于 2021-11-09 20:25:56
当我读到这些评论时,我看到你要删除这个问题。不过,我想请你花点时间看看我的解决办法。我认为它更简单,更透明。
我们将从一个简单的tibble开始,在其中您的计算参数将是。
library(tidyverse)
df = tibble(
seed = rep(c(289805, 671086, 799837), 4),
sd = rep(c(1, 3, 5, 10), each=3),
ar = rep(c(.8, .9, .95), 4)
)输出
# A tibble: 12 x 3
seed sd ar
<dbl> <dbl> <dbl>
1 289805 1 0.8
2 671086 1 0.9
3 799837 1 0.95
4 289805 3 0.8
5 671086 3 0.9
6 799837 3 0.95
7 289805 5 0.8
8 671086 5 0.9
9 799837 5 0.95
10 289805 10 0.8
11 671086 10 0.9
12 799837 10 0.95现在我们正在准备一个简单的farima函数。
farima = function(seed, n, ar, order, sd){
set.seed(seed)
model = arima.sim(n=n, model=list(ar = ar, order = order), sd = sd)
tibble(
name = paste("sd -", sd, "ar -", ar),
x = model %>% as.numeric(),
lb = 1:length(x)
)
}你之后所要做的就是一个简单的突变!
df %>% nest_by(seed, ar, sd) %>%
mutate(data = list(farima(seed, 10, ar, c(1, 0, 0), sd))) %>%
unnest(data) %>%
ggplot(aes(lb, x))+
geom_line(color = "#F2AA4CFF")+
geom_point(color = "#101820FF")+
theme_bw()+
scale_y_continuous(expand = c(0, 0))+
facet_wrap(.~name, ncol = 3, scales = "free")

但是你也可以做一些不同的事情。
df %>% nest_by(seed, ar, sd) %>%
mutate(data = list(farima(seed, 10, ar, c(1, 0, 0), sd))) %>%
unnest(data) %>%
ggplot(aes(lb, x))+
geom_line(color = "#F2AA4CFF")+
geom_point(color = "#101820FF")+
theme_bw()+
scale_y_continuous(expand = c(0, 0))+
facet_grid(vars(sd), vars(ar), scales = "free")

我希望你喜欢我的解决方案,而不是删除这个问题,你将标记它有用。
@Daniel James的小更新
您必须很好地理解当您使用nest_by函数时会发生什么。我会一步一步地给你看。
df %>% nest_by(seed, ar, sd) %>% #Step 1
mutate(data = list(farima(seed, 10, ar, c(1, 0, 0), sd))) %>% #Step 2
unnest(data) %>% #Step 3
ggplot(aes(lb, x))+ #Step 4
geom_line(color = "#F2AA4CFF")+
geom_point(color = "#101820FF")+
theme_bw()+
scale_y_continuous(expand = c(0, 0))+
facet_wrap(.~name, ncol = 3, scales = "free")但是,在第一步之后,您将得到一个支离破碎的tibble,而不是变量,而是按行划分的。date变量出现在这里,在本例中它基本上是空的(它包含零值)。
# A tibble: 12 x 4
# Rowwise: seed, ar, sd
seed ar sd data
<dbl> <dbl> <dbl> <list<tibble[,0]>>
1 289805 0.8 1 [1 x 0]
2 289805 0.8 3 [1 x 0]
3 289805 0.8 5 [1 x 0]
4 289805 0.8 10 [1 x 0]
5 671086 0.9 1 [1 x 0]
6 671086 0.9 3 [1 x 0]
7 671086 0.9 5 [1 x 0]
8 671086 0.9 10 [1 x 0]
9 799837 0.95 1 [1 x 0]
10 799837 0.95 3 [1 x 0]
11 799837 0.95 5 [1 x 0]
12 799837 0.95 10 [1 x 0]如果您现在进行突变,它将应用于每一行中的值。
让我们看看在第二步之后我们有什么。
# A tibble: 12 x 4
# Rowwise: seed, ar, sd
seed ar sd data
<dbl> <dbl> <dbl> <list>
1 289805 0.8 1 <tibble [10 x 3]>
2 289805 0.8 3 <tibble [10 x 3]>
3 289805 0.8 5 <tibble [10 x 3]>
4 289805 0.8 10 <tibble [10 x 3]>
5 671086 0.9 1 <tibble [10 x 3]>
6 671086 0.9 3 <tibble [10 x 3]>
7 671086 0.9 5 <tibble [10 x 3]>
8 671086 0.9 10 <tibble [10 x 3]>
9 799837 0.95 1 <tibble [10 x 3]>
10 799837 0.95 3 <tibble [10 x 3]>
11 799837 0.95 5 <tibble [10 x 3]>
12 799837 0.95 10 <tibble [10 x 3]>请注意,用于参数farima ( seed、ar和sd )的mutate函数在每一行上都接收到单个值!还要注意使用list函数,其中您将包装我们的farima函数。
现在我们要做的就是求解我们的data变量。我们将在第三步中这样做。
# A tibble: 120 x 6
# Groups: seed, ar, sd [12]
seed ar sd name x lb
<dbl> <dbl> <dbl> <chr> <dbl> <int>
1 289805 0.8 1 sd - 1 ar - 0.8 -0.251 1
2 289805 0.8 1 sd - 1 ar - 0.8 0.886 2
3 289805 0.8 1 sd - 1 ar - 0.8 0.198 3
4 289805 0.8 1 sd - 1 ar - 0.8 1.54 4
5 289805 0.8 1 sd - 1 ar - 0.8 4.70 5
6 289805 0.8 1 sd - 1 ar - 0.8 4.44 6
7 289805 0.8 1 sd - 1 ar - 0.8 3.02 7
8 289805 0.8 1 sd - 1 ar - 0.8 1.81 8
9 289805 0.8 1 sd - 1 ar - 0.8 1.17 9
10 289805 0.8 1 sd - 1 ar - 0.8 1.16 10
# ... with 110 more rows步骤4及以后发生的一切只是创建适当的图表。
发布于 2021-11-08 03:36:30
代码
创建数据框架
df <- data.frame(
timestamp = rep(1:10, times = 12),
value = c(x1, x2, x3, x4, x5, x6, x7, x8, x9, x10, x11, x12),
# via sprintf() to add a leading zero for easier ordering
sim_id = paste0("x", sprintf("%02d", rep(1:12, each = 10)))
)地块数据
ggplot(df, aes(x = timestamp, y = value)) +
geom_line(color = "#F2AA4CFF") +
geom_point(color = "#101820FF") +
labs(x = "lb", y = "RMSE") +
theme_bw() +
scale_y_continuous(expand = c(0, 0)) +
# Facet wrap with set number of columns and free scales
facet_wrap(. ~ sim_id, ncol = 3, scales = "free")

数据
library(ggplot2)
## simulate ARIMA(1, 0, 0)
set.seed(289805)
x1 <- arima.sim(n = 10, model = list(ar = 0.8, order = c(1, 0, 0)), sd = 1)
set.seed(671086)
x2 <- arima.sim(n = 10, model = list(ar = 0.9, order = c(1, 0, 0)), sd = 1)
set.seed(799837)
x3 <- arima.sim(n = 10, model = list(ar = 0.95, order = c(1, 0, 0)), sd = 1)
set.seed(289805)
x4 <- arima.sim(n = 10, model = list(ar = 0.8, order = c(1, 0, 0)), sd = 3)
set.seed(671086)
x5 <- arima.sim(n = 10, model = list(ar = 0.9, order = c(1, 0, 0)), sd = 3)
set.seed(799837)
x6 <- arima.sim(n = 10, model = list(ar = 0.95, order = c(1, 0, 0)), sd = 3)
set.seed(289805)
x7 <- arima.sim(n = 10, model = list(ar = 0.8, order = c(1, 0, 0)), sd = 5)
set.seed(671086)
x8 <- arima.sim(n = 10, model = list(ar = 0.9, order = c(1, 0, 0)), sd = 5)
set.seed(799837)
x9 <- arima.sim(n = 10, model = list(ar = 0.95, order = c(1, 0, 0)), sd = 5)
set.seed(289805)
x10 <- arima.sim(n = 10, model = list(ar = 0.8, order = c(1, 0, 0)), sd = 10)
set.seed(671086)
x11 <- arima.sim(n = 10, model = list(ar = 0.9, order = c(1, 0, 0)), sd = 10)
set.seed(799837)
x12 <- arima.sim(n = 10, model = list(ar = 0.95, order = c(1, 0, 0)), sd = 10)https://stackoverflow.com/questions/69315757
复制相似问题