A Domain-Theoretic Foundation for Imprecise Probability and
Credal Sets
不精确概率与信任集的域论基础
https://arxiv.org/pdf/2604.09272

摘要
我们开发了一个域论框架,用于在具有可数基连续开集格的一般拓扑空间上进行不精确概率推理和推断。我们要解决两种不同形式的不确定性:部分或不完整的事件描述,以及由信任集(credal sets)表示的概率分布集——以及它们的组合。在这个框架内,我们构建了条件概率理论,并推导了新的推断规则,用于在这两种互补的不精确性存在的情况下执行贝叶斯更新。这些结果被扩展到不精确概率事件的条件独立性理论。我们还为条件概率、贝叶斯更新和条件独立性制定了逻辑谓词,并获得了相关的可靠性和完备性结果。一个关键贡献是构建了从任何信任集到区间域的 Scott 连续映射,提供了容量理论和 Choquet 积分经典结果的域论实现。最后,我们引入并研究了一类由具有不精确概率权重的迭代函数系统生成的新信任集族,拓宽了计算上可处理的不精确概率模型的范围。由此产生的可计算框架统一了关于不确定性的逻辑、拓扑和测度论视角,支持在部分和集值信息下的鲁棒概率推断。
关键词: 域论,条件概率,信任集,条件独立性
1 引言
不精确概率为在信息部分、模糊或集值时的不确定性推理提供了一个鲁棒框架。它通过允许分布集(信任集)和区间值概率,推广了经典概率,从而在安全关键应用中实现更谨慎的推断。
我们考虑第二可数局部紧致 Sobert 拓扑空间。我们将这样的空间称为基本拓扑空间。在这些空间中,开集格是一个可数基连续格 [GHK+03],代表了一个具有可数基的空间 Locale。这些基本空间包括可分局部紧致度量空间以及可数基连续域。此外,任何 Polish 空间都是其形式球连续域的最大元素空间 [EH98]。这意味着基本拓扑空间涵盖了概率论中使用的所有标准空间。
此外,在此类空间上的任何连续概率赋值都可以扩展为 Borel 测度 [AMESD00, KL05]。对于 Hausdorff 空间,通过所得 Borel 测度的外正则性,这种扩展是唯一的。


在接下来的章节中,我们在这种不精确设定下,为条件概率、贝叶斯更新和条件独立性发展了一个域论基础。一个关键结果是从信任集到区间概率的 Scott 连续包络映射,它将容量论思想和 Choquet 积分提升到了域框架中 [Cho54, Gra16, ACdCT14, GL13]。我们还引入了一类由具有不精确权重的迭代函数系统生成的新信任集族。
虽然区间算术已被应用于工程背景下的贝叶斯法则 [FKG+03],且鲁棒贝叶斯分析考虑了先验集 [Ber85],但据我们所知,基于单调性的精确端点公式推导此前尚未发表。我们证明(引理 6.1)经典的贝叶斯更新

由于基本空间的开集格是可数基且连续的,它可以被赋予一个有效结构,使得格上的可计算开集和可计算函数可以被枚举;见 [Plo81, Smy77]。这导致了不精确概率和信任集的一个可计算框架。
符号约定
我们用 DD 表示任何基本空间、豪斯多夫空间或域。当我们具体只处理豪斯多夫基本空间时,我们用 XX 而不是 DD来表示它。
2 域论基础
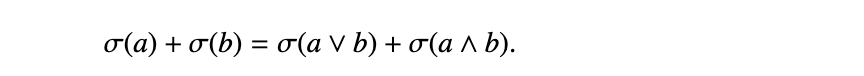
回顾一下,完备格 LL 上的连续概率赋值 σ 是一个 Scott 连续映射 σ:L→[0,1],具有模性


2.1 可逼近关系
遵循不精确概率的既定框架和传统,正如经典开创性著作 [Wal91] 中广泛描述的那样,我们将为基本的域论构造制定谓词。这可以通过域论中丰富的可逼近映射、Locale 和 Stone 对偶性理论来实现 [Sco70, Smy77, AJ95, Abr91, Vic89]。


3 基本空间的事件域
给定一个基本空间 D,我们将其开集视为可观测或半可判定的谓词 [Abr91, Smy77]。由于在概率论与统计学中取事件的补集是一项基本工具,且开集的补集未必是开集,我们考虑用不相交开集对开集的外部进行逼近。这引导我们将 D 的事件域 E(D) 定义为不相交开集对的偏序集,其序关系由按分量的子集包含关系给出:


4 信任集
用于指代概率分布凸集的现代术语“信任集”(credal set)在后续的处理中得到了标准化 [ACdCT14],尽管其基础理论是由 Walley [Wal91] 在“概率测度集”(sets of probability measures)这一名称下发展的。


如上所述,基于域论计算得出的下概率和上概率,对应于关于由信任集 KK诱导的容度(capacities)的示性函数(indicator functions)的 Choquet 积分。


5 事件的条件概率


5.1 条件概率谓词
由于 Scott 连续映射 C 是由输入连续赋值 σ 在输入开集或其交集上的一对有理函数给出的,原则上可以通过对给定运算进行复合来获得表示 C 的可逼近映射。然而,这种方法会导致相当复杂的表达式。一种更自然且直接的技术是为 C 的下部和上部制定两个关键谓词,并将它们与表示 σ 的谓词 G联系起来。








信任集方法生成一个区间,用以捕捉跨越多个先验分布的不确定性;而经典方法仅得出一个单一数值,该数值取决于对先验的任意选择(此处为平均值)。在安全关键型应用中,区间的下界提供了一种鲁棒且规避风险的估计,而经典点估计则可能错误地表征真实的不确定性。进一步的比较见表3。
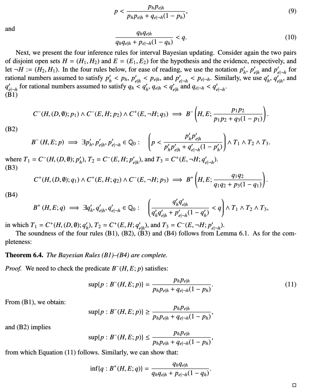
6 事件的贝叶斯更新


6.1 贝叶斯推断规则


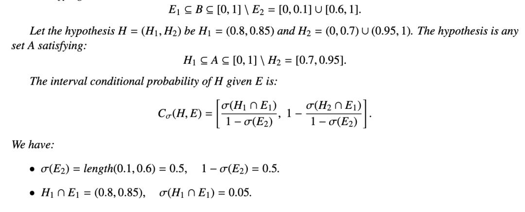
例 6.5. 考虑一种疾病的医学检测。设:
我们拥有不精确的信息:
在经典贝叶斯分析中,通常选择点估计:


6.2 信任集的贝叶斯更新


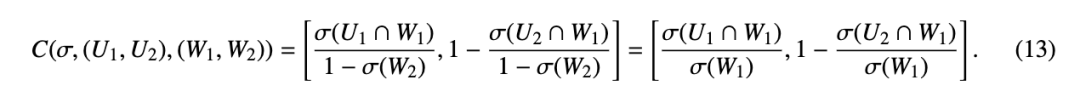
7 扩展到多维情形

8 条件独立性





8.1 强条件独立性
在本节前文中,我们已看到,经典条件独立性意味着当两个独立事件 UU 和 VV 在给定 WW的条件下时,下条件支撑(lower conditional support)会分解。在此域论设定中,我们还拥有由上条件支撑所提供的额外信息。


强条件独立性中关于右端点的额外假设具有局限性,在许多应用中不太可能成立。然而,它带来了计算上的高效性,因为条件概率的两个端点可以通过取对应端点的乘积来获得。可以将强条件独立性视为在图模型中提供的一种用于计算条件概率右端点的“乐观”规则。
对于强条件独立性,我们有两个额外的规则来取代 (CI7) 和 (CI8):



关于各种方法的比较,见表 5。主要区别如下:
关于实际意义,我们有:
最后,关于何时使用每种方法:
9 具有不精确概率的迭代函数系统
在本节中,我们通过考虑与基本空间的事件域相对偶的域,继续桥接经典容度理论 [Cho54, Wal91] 与域论的概念。该对偶域采用基本空间的覆盖闭子集对,并按逆包含关系排序。利用该对偶域,我们将一族新的信任集(credal sets)表述为带有概率的迭代函数系统(IFS)的不变测度。
迭代函数系统(IFS)及其不变测度已在分形几何和动力系统中得到广泛研究,其应用范围涵盖计算机图形学、图像压缩、自然现象建模、信号处理、生物结构分析以及金融时间序列 [IFS22]。我们在本节的结果为将这些经典应用扩展到概率不确定或部分指定的设定提供了数学上严谨的基础。



9.1 带概率的 IFS 的信任集
在本小节中,我们引入一族新的信任集,即那些由带概率的迭代函数系统(IFS)的不变测度组成的信任集。IFS 理论一直是多个学科中一个活跃的研究领域。



9.1.1 具有不精确转移矩阵的马尔可夫链
在本节中,我们介绍并分析了具有不精确概率权重的迭代函数系统。类似地,据我们所知,附录 B 针对转移概率被指定为不精确值的有限状态马尔可夫链,提供了一种新颖的处理方法。
结论
我们为不精确概率与信任集建立了一个全面的域论基础,提供了一个统一的计算框架,能够同时处理部分事件描述(在事件域 E(D) 中表示为不相交开集对)以及由上空间 U(P(X) 中的紧致信任集所表征的分布不确定性。我们的主要贡献包括:在事件域上构造 Scott 连续的区间概率映射;基于单调性推导出的贝叶斯更新精确区间扩展及其配套的可靠且完备的推断规则;针对不精确事件的条件独立性理论,同时包含保守型(Fréchet)与强分解规则;以及引入了一类由带有不精确概率权重的迭代函数系统所生成的新型信任集族,并给出了相关不动点映射连续性的证明。我们为相关概念制定了逻辑谓词,并推导出了相应的可靠性与完备性结果。所有运算均能 Scott 连续地扩展至信任集空间,从而保证有限逼近的收敛性。
本工作为信任网络与不精确贝叶斯网络的域论处理奠定了必要的数学基础架构。该框架保证了基于不精确参数与部分指定观测的推断具备计算上的严谨性,其由域论的逼近性质以及通过可逼近映射构建的逻辑基础所支撑。未来的工作将集中于构建显式的域论信任网络,开发利用本文所提连续性与逼近结构的精确及近似推断算法,并将该方法拓展至不精确环境下的序列决策问题。
原文链接:https://arxiv.org/pdf/2604.09272