生成式贝叶斯滤波和参数学习
Generative Bayesian Filtering and Parameter Learning
https://arxiv.org/pdf/2511.04552

摘要
生成贝叶斯滤波(Generative Bayesian Filtering, GBF)为复杂非线性非高斯状态空间模型的后验推断提供了一个强大而灵活的框架。我们的方法将生成贝叶斯计算(Generative Bayesian Computation, GBC)扩展到动态场景,利用深度神经网络驱动的基于仿真的方法实现递归后验推断。GBF 无需显式密度评估,因此在观测分布或状态转移分布难以解析处理时尤为有效。为解决参数学习问题,我们引入了生成吉布斯采样器(Generative-Gibbs sampler),该采样器通过从隐式全条件分布中迭代采样各变量,绕过显式密度评估。这一技术具有广泛的适用性,能够实现具有难以处理密度的层次贝叶斯模型(包括状态空间模型)中的推断。我们通过模拟研究和实证研究评估了所提出方法的性能,包括 α-稳定随机波动率模型的估计。研究结果表明,在处理难以处理的状态空间模型时,GBF 在准确性和稳健性方面显著优于现有的无似然方法。
1 引言
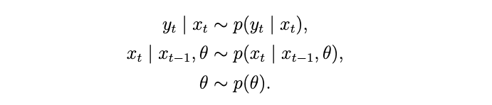
状态空间模型是宏观经济学和金融学中时间序列分析的基石,在自然科学和社会科学领域也有广泛应用,适用于需要从含噪或不完整数据中推断潜在动态过程的场景。



难处理模型在各个领域均有出现。例如,在金融学中,α-稳定分布常被用于捕捉资产收益率呈现的不对称厚尾特征(Mandelbrot,1963;Mittnik and Rachev,1993),然而这些分布缺乏闭式密度表达式。在宏观经济学中,非线性DSGE模型(Fernández-Villaverde et al.,2016)依赖于数值求解的均衡条件,导致转移动态仅能隐式定义,因此在分析上难以处理。类似的挑战也出现在生物学中,机制模型如Lotka-Volterra捕食者-被捕食者系统(Lotka,1925;Volterra,1926)会导出具有难处理转移核的状态空间模型。更一般地说,每当状态空间模型的观测或转移分量通过某个数值黑盒模型定义时,便会出现难处理性。
虽然缺乏易处理的密度排除了基于标准似然的推断,但许多难处理的状态空间模型仍然允许从生成过程进行高效模拟。这一重要特征促使了在此类情境下采用近似贝叶斯计算方法。特别是,Jasra等人(2012)引入了ABC粒子滤波器,用于在似然难处理的状态空间模型中进行状态推断;而Jasra等人(2013)提出了一种粒子MCMC方法,该方法利用ABC-PF构建似然估计量,以对状态和模型参数进行联合推断。
尽管这些方法具有理想的渐近收敛性质——我们将在后文详细讨论——但它们在有限样本中的性能仍未得到充分理解。尤其是ABC-PF的准确性和可靠性对若干实施选择高度敏感。这包括用于比较模拟数据和观测数据的距离度量的定义、控制接受与否的容差阈值的选择,以及所使用的粒子数量。增加粒子数量并降低容差可以改善后验近似效果。然而,这种组合在实际中往往在计算上不可行,而次优的参数调整可能导致有偏估计和高度不稳定的后验近似,从而引发对实证应用稳健性的担忧。此外,这些问题还因粒子滤波器所存在的、已有充分记录的问题(特别是权值退化和样本贫化,参见例如Li et al., 2014)而加剧。
为解决这些担忧,已有多种基础ABC-PF的变体被提出(将在第2.2节中回顾),每种都旨在改进理论保证或实际性能。尽管如此,这些工具从根本上仍然受限于ABC和SMC方法的结构性局限。

然而,当转换到状态空间背景时,GBC呈现出两个结构性局限。首先,它本质上是静态的,为固定数据集而非顺序演化的观测而设计。其次,它假设数据与参数之间存在直接联系。这两种假设都与状态空间建模不兼容——在状态空间建模中,诸如滤波等推断任务需要对潜在状态 Xt t进行递归更新,并且未知参数通常仅通过这些潜在过程间接影响观测。因此,在本文中,我们通过扩展GBC以支持递归推断并适应分层贝叶斯依赖关系,来应对这两个局限性。
1.1 贡献与结构
我们引入了一种新颖的状态空间推断与学习框架,该框架适用于所有能以方程(1)和(2)所示形式表达的模型——无论其噪声分布或转移函数与观测函数的具体形式如何——只要能够从该模型进行模拟。因此,该框架也涵盖了具有难处理密度函数的模型。
我们的方法立足于生成式贝叶斯计算,并将其扩展到动态情境。在此情境中,问题的结构要求对潜在状态序列 (Xt) 的后验分布进行递归更新。最终目标是重构关键分布,如滤波分布、预测分布和平滑分布。我们既考虑了参数向量已知的情况,也考虑了参数 θ未知且必须从先验分布 p(θ) 出发,通过数据推断的情况。
我们的生成式滤波器(简称Gen-Filter)旨在成为现有ABC-PF方法的一种有前景的替代方案。两种方法都只需要具备从数据生成过程进行模拟的能力。然而,与ABC-PF不同——ABC-PF由于使用接受阈值,提供的样本来自于一个近似的、本质上存在偏差的滤波分布——生成式滤波器允许从真实的滤波分布中采样。只要训练数据集足够大,且用于近似逆CDF映射的神经网络具有足够的表达能力,这一结论就成立。设计一个有效的神经网络架构仍然是我们方法中的核心挑战。与Polson和Sokolov(2023)的研究一致,我们采用分位数神经网络作为我们的基线方法。我们也探索了其他潜在方法,包括O’Hagan和Ročková(2025)提出的贝叶斯替代方案。
我们的结果表明,只要训练数据集足够大,标准的深度学习架构能够提供准确可靠的性能。
这通常不构成限制,因为在大多数情况下,从模型生成数据在计算上是高效且廉价的。
虽然我们的生成式滤波器(Gen-Filter)可以自然地用于构建似然函数的估计量,从而能够以类似于粒子马尔可夫链蒙特卡罗算法的方式对潜在轨迹和未知参数进行联合推断,但我们还开发了一种创新的采样策略。这种策略提供了显著更高的计算效率和卓越的灵活性,我们称之为生成式吉布斯采样器。
通过生成式吉布斯采样器,我们将生成式贝叶斯计算方法扩展到分层贝叶斯建模,即扩展到具有多层潜在结构和复杂参数依赖关系的场景。
与传统吉布斯采样类似,生成式吉布斯方法通过迭代地从模型参数的全条件分布中抽样来生成后验样本。至关重要的是,与经典方法不同,所有全条件分布均通过隐式生成模型进行近似,从而使得在原本全条件分布解析难处理的场景中仍能进行吉布斯采样。这使得生成式吉布斯采样器具有广泛的适用性,并且对难处理的状态空间模型尤为有利。我们证明生成式吉布斯采样器能够获得与传统马尔可夫链蒙特卡罗方法一致的后验近似结果。
本文的结构如下:第二节回顾了使用近似贝叶斯计算方法和生成式贝叶斯计算在状态空间建模方面的最新进展。第三节介绍生成式贝叶斯滤波的概念,并提出两种算法:生成式滤波器和预训练生成式滤波器。它们的性能通过第三节中的模拟研究进行评估,并与现有滤波技术进行比较。第四节讨论模型参数未知且必须与潜在轨迹联合推断的场景。为此,我们提出生成式吉布斯采样器,并展示如何以前向滤波后向采样的策略形式有效应用于一般状态空间模型。生成式吉布斯采样器的模拟结果在第五节中报告。最后在第六节中,我们使用金融数据进行实证应用。随后是结论部分,总结主要发现并讨论未来研究的潜在方向。


在这一递归过程中,核心思想是:在每个时间点 t,预测分布充当关于未来状态和观测的先验分布,当新数据通过滤波更新变得可用时,该先验分布将随之被精细化。
状态空间模型中精确且高效的推断仅在有限情况下可行,例如线性高斯模型,其最优滤波解由著名的卡尔曼滤波器给出(Kalman, 1960)。然而,实际上许多系统表现出非线性动态和/或非高斯噪声,使得精确推断成为不可能。因此,人们开发了各种近似推断方法。在确定性方法中,有扩展卡尔曼滤波器(Maybeck, 1979)和无迹卡尔曼滤波器(Julier and Uhlmann, 1997),它们试图通过线性化动态或近似分布,使状态空间模型适应卡尔曼滤波器的假设。尽管这些方法在某些情况下有效,但在存在强烈非线性或非高斯噪声时,其精度会下降。另一方面,SMC算法(在该领域通常称为粒子滤波器)已获得了显著地位。这些方法提供了一个灵活的、基于模拟的框架,用于近似复杂的后验分布,能够处理广泛的非线性和非高斯状态空间模型类别。



人们开发了替代的滤波策略,这些策略利用模型的生成结构,而非依赖于显式的似然计算。
其中一种方法是卷积粒子滤波器(Rossi and Vila,2006;Rossi and Vila,2009),它通过基于潜在状态生成的条件伪观测构建核近似,来代替难以处理的似然函数。然而,这种方法可能效率低下,尤其是在高维情况下,并且对核带宽的选择敏感,当带宽未适当调整时,性能往往不佳。



一般而言,核函数、距离度量或容差参数的选择不当往往会放大粒子滤波方法固有的一些已知挑战,特别是权重退化和样本贫化。为了缓解这一问题,实践者通常依赖于自适应阈值调整、更平滑的核函数或信息丰富的低维汇总统计量,以维持非零的接受率并保持推断过程的连续性。一些相关的例子包括:Alive ABC-PF(Jasra等人,2013),它通过在每一步确保固定数量的粒子被接受来缓解粒子退化问题;Plug-in Bandwidth ABC-PF(Calvet和Czellar,2014),被证明能以最优衰减率收敛;以及ABC-Auxiliary PF(Vankov等人,2019),通过改进提议分布来提高效率。
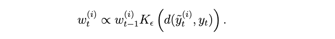
与ABC-PF类似,我们的生成式滤波器通过利用模型的底层数据生成过程,避免直接进行密度计算。然而,它不依赖ABC方法典型的接受-拒绝机制,而是利用生成建模的最新进展,从滤波分布

中高效采样。我们将在下一节详细介绍我们方法背后的方法论。
2.3 生成式贝叶斯计算 生成式贝叶斯计算方法通常依赖于隐式分布。这类分布的密度函数无法直接计算,但我们可以通过一个随机生成器(也称为传输映射)轻松地从其抽取样本。该生成器将来自参考测度(如多元高斯分布或均匀分布)的样本转换为目标概率测度的样本。在现代实现中,传输映射通常由深度神经网络参数化(Mohamed and Lakshminarayanan,2016)。
这种采样技术在应对传统贝叶斯计算方法的关键局限方面证明特别有价值,尤其是解决了对显式密度计算的依赖以及与迭代模拟算法(如马尔可夫链蒙特卡洛)相关的高计算负担。例如,Titsias 和 Ruiz(2019)利用隐式变分分布来扩展可容许变分近似的族类,从而实现了比标准参数形式更灵活、更具表现力的后验表示。
在本文中,我们所说的生成式贝叶斯计算更精确地指代那些将后验本身建模为隐式分布的方法,其使用传输映射直接从相应的后验概率测度生成样本。近年来已有越来越多的研究探讨了参数化传输映射的各种神经网络架构。Wang 和 Ročková(2023)使用条件贝叶斯生成对抗网络来学习给定任意观测数据向量下的后验分布的生成模型。Polson 和 Sokolov(2023)利用隐式分位数网络对给定数据下单变量参数的条件分位数函数进行建模,从而实现了直接的后验采样;而 Kim 等人(2025)则将这一思想推广到多变量设置,允许从贝叶斯可信集直接采样。在另一条相关的研究方向上,Sharrock 等人(2024)采用基于条件分数的扩散模型进行后验采样。








3.2 预训练生成式滤波器
生成式滤波器的主要优势在于其多功能性,即能够处理广泛的状态空间模型,而无需对底层随机过程(尤其是平稳性)施加严格假设。尽管如此,当平稳性条件满足时,我们可以利用这一特性。





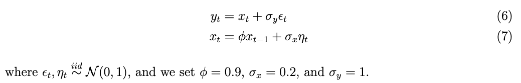
我们首先在线性高斯状态空间模型上评估新开发的方法,该模型作为一个易于理解且分析上可处理的基准。如第2.1节所述,在此设置下,滤波问题可以使用卡尔曼滤波器精确求解。模型定义如下:






线性高斯案例中观察到的出色性能为本文引入的滤波策略的有效性提供了有力证据。为进一步证明其普遍适用性,我们将分析扩展到一个基于一类非线性、非高斯状态空间模型(通常称为随机波动率模型)的模拟示例。


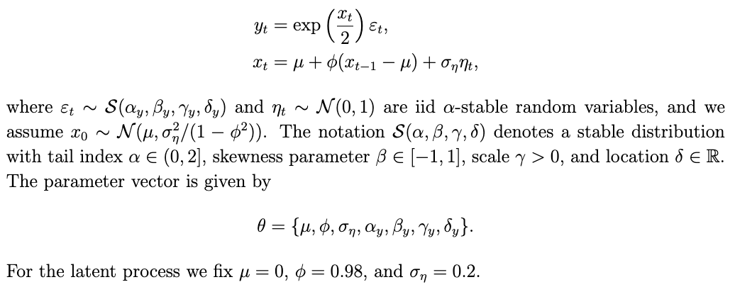
尽管迄今为止,收益率新息项的高斯设定是最常见的选择,这主要是因为其能带来分析上的易处理性、良好的似然函数形式以及直接的模拟特性,但金融领域的经验证据(例如 Cont, 2001; Chakraborti 等人, 2011; Ratliff-Crain 等人, 2023)一致表明,资产收益率表现出超额峰度、厚尾和偏度等特征,这些是高斯分布无法再现的。因此,从 Mandelbrot (1963)、Fama (1965) 以及 Mittnik 和 Rachev (1993) 的开创性工作开始,α-稳定分布因其有趣的特性而在该领域广受欢迎。具体而言,α<2 的稳定分布自然地容纳了幂律尾部,而偏度参数 ββ允许对不对称性进行建模。这些特性使得 α-稳定模型非常适合捕捉高频和危机时期金融数据中观察到的极端事件和不对称风险模式,为风险度量、期权定价和投资组合压力测试提供了更现实的基础。

图2展示了三种信息分布的可视化对比。前两种情形允许使用标准粒子滤波器作为参考后验,我们可以借此评估生成式滤波器。相比之下,在第三种情形中,似然函数无法以闭式求解,因此标准粒子滤波器不适用。因此,我们采用粒子数 N=100,000的ABC-PF作为基准,以比较不同滤波策略。

如前一节所述,我们在每种信息分布设定下模拟了100个场景。对于柯西分布情形,我们剔除概率小于万分之一的抽样值。在该分布中,此类罕见事件会导致绝对值极大的观测值;这些极端异常值在实际场景中不仅不现实,也可能导致所有无似然滤波方法失效。类似地,对于厚尾非对称α-稳定分布情形,我们剔除概率低于十万分之一的抽样值。

图3展示了在柯西信息下的一个模拟场景中,各方法估计的潜在轨迹。图中显示,即使在这种ABC-PF表现不佳的厚尾设定中,我们的策略仍与粒子滤波器提供的真实估计保持一致。

至此,我们一直假设 θ∈Θ是已知的;然而,在实际应用中这很少见。因此,我们现在提出在生成式滤波器框架内对潜在轨迹和未知参数进行联合推断的策略。
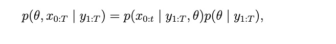
在无似然设定下,大多数工作集中于独立于轨迹估计的参数推断。例如,Dean 等人(2014)、Martin 等人(2014)、Yıldırım 等人(2015)和 Martin 等人(2019)开发了基于 ABC 的方法,这些方法主要针对静态参数 θθ进行推断,而将潜在轨迹视为次要或隐式边缘化处理。更专注于同时处理参数和轨迹推断的尝试包括 Jasra 等人(2013)以及随后的 Vankov 等人(2019),他们提出使用粒子马尔可夫链蒙特卡罗算法来近似联合后验分布 p(θ,x0:T∣y1:T),其中 ABC 粒子滤波器被用作似然估计器。
原则上,也可以在生成式贝叶斯滤波框架内构建粒子马尔可夫链蒙特卡罗类算法,其中生成式滤波器代替粒子滤波器作为似然估计器。然而,我们追求更具计算优势的方法。具体而言,我们提出两种高效的、完全无需密度计算的方法,它们适用于广泛的状态空间模型。
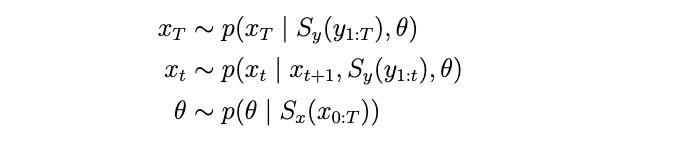
第一种方法将参数和潜在轨迹的联合后验分布分解为:




从观测过程中识别合适的汇总统计量可能具有挑战性。例如,Martin 等人(2019)探索了基于辅助似然的方法,其中汇总统计量从一个比真实模型更容易估计的辅助模型中获得;而 Maneesoonthorn 等人(2024)则利用了来自多个数据源的汇总统计量。
一种更稳健且直观的策略是采用同时纳入潜在轨迹信息的汇总统计量。然而,在实践中实现这一方法具有挑战性,因为状态序列是不可观测的,因此这类汇总统计量无法像基于观测数据

的汇总统计量那样直接计算。为解决这一问题,我们开发了一种新颖的贝叶斯计算方法,称为 Gen-Gibbs 采样器。该方法广泛适用于贝叶斯推断,尤其适用于层次模型——在层次模型中,由于存在多个层次,仅基于观测数据为每个潜变量构建信息性汇总统计量十分困难。在这种情况下,可以利用层次结构本身来设计更有效的汇总统计量并提高计算效率。我们将在下一节详细讨论该方法。
5 生成式吉布斯采样
生成式吉布斯采样指的是一种广泛适用的采样策略,它将马尔可夫链蒙特卡罗算法的严谨特性与生成建模的最新进展相结合,从而在一个基于原理的贝叶斯计算框架内利用先进的机器学习技术。
类似于吉布斯采样,生成式吉布斯采样算法通过迭代地从参数的全条件分布中抽样来近似后验分布。与经典方法需要解析推导条件分布不同,生成式吉布斯采样利用深度学习模型来近似这些条件分布的分位数函数。

上述采样策略在分层贝叶斯模型中尤其有用,包括状态空间模型,其中一些参数并不直接与数据相关联。举例来说,假设 θθ控制潜在动态,因此仅直接依赖于未观测状态而非观测本身。在这种情况下,状态空间模型可以写成一个两层次的分层模型


因此,在状态空间模型中应用生成式吉布斯采样器可简化为一种针对潜在状态的前向滤波后向采样策略,并与吉布斯采样相结合



5.1 模拟研究
5.1.1 线性高斯模型



对于单个模拟过程,图 4b 和 4c 表明 Gen-Gibbs 后验与传统吉布斯采样获得的后验高度吻合。特别值得关注的是图 4a 展示的混合和收敛行为,该图表明 Gen-Gibbs 链实现了快速混合和稳定收敛,与经典方法相当。值得注意的是,图 4b 和 4c 还显示,当以相同的参数值初始化时,两种方法在近似相同的步数内收敛。这表明所提出的方法不仅能以高精度复现后验分布,而且保持了理想的抽样性质,使其成为传统吉布斯采样的可行替代方案,尤其是在后者无法直接使用时。

在所有 100 个模拟过程中重复该分析,我们发现两种方法得到的未知参数的后验均值和分位数高度一致,如图 5 所示,表 5 报告的覆盖值也证实了这一点。此外,两种方法估计的潜在轨迹表现出可比较的均方根误差(RMSE)和覆盖值,如图 6 所示。


总体而言,这些结果极具前景,促使我们将分析扩展到更具挑战性的场景,特别是像我们处理已知参数情况时所做的那样,扩展到非线性、非高斯示例。






表 7 报告了在几种参数配置下,对 100 个模拟随机波动率过程取平均后的模型参数和状态序列的估计结果。表中报告的结果表明,所提出的方法提供了非常准确的估计,且这一稳健性能在所有配置下始终保持。特别是,该方法即使在具有重尾和强非对称特征的挑战性场景下,以及在 α 接近 2 且 β 难以识别的情形下,都表现良好。

我们想特别强调 Gen-Gibbs 方法的一个特别吸引人的特性,即其灵活性。一旦完成算法 3 描述的预训练阶段,所学得的映射函数可以在 Gen-Gibbs 采样器(算法 4)中重复使用,以估计属于同一类状态空间系统的模型,而几乎不产生额外的计算成本。换句话说,只需提供新的观测数据序列,就可以快速完成状态和参数估计。这一特性相比传统 ABC 方法提供了显著的计算优势,因为传统 ABC 方法需要对每个新数据集进行完整的重新估计程序。
6 实证研究
对金融时间序列的实证研究持续揭示了一系列反复出现的模式,通常称为典型事实,任何现实的资产定价模型都应致力于重现这些特征。这些经验规律已在广泛的资产、资产类别和市场中得到记录,对支撑传统金融模型(如期权定价的Black-Scholes框架(Black和Scholes,1973))的同方差性和正态分布收益率等经典假设构成了重大挑战。在一项开创性贡献中,Cont(2001)系统地归纳了十一个此类特征。α-稳定随机波动率模型能够复现其中多个典型事实,包括:线性自相关缺失、条件与非条件厚尾性、收益/损失不对称性、波动率聚集以及绝对收益率自相关的缓慢衰减。此外,本文引入的生成式贝叶斯滤波框架为开发和估计能够捕捉Cont(2001)识别出的其余典型事实的更复杂模型奠定了基础。
作为展示这些特征的金融时间序列示例,我们考虑由ProShares¹发行的Short VIX Short-Term Futures ETF,通常简称为SVXY。该产品旨在提供对S&P 500 VIX短期期货指数的反向敞口,该指数跟踪短期VIX期货的持续滚动持仓。因此,当市场波动率下降且VIX期货曲线保持期货升水时,SVXY会产生正收益。
实际上,市场波动率容易发生突变,这会导致VIX期货价格急剧跳跃,并相应地给SVXY等反向波动率产品带来巨大损失。虽然股市持续平静的时期可能带来平稳的正收益,但市场压力时期可能导致波动率迅速上升和重大损失。此类事件发生在2018年2月所谓的“波动率末日”期间,当时股市波动率的突然飙升导致VIX期货出现前所未有的暴涨。在单个交易日中,多种做空波动率产品经历了严重回撤,其中一些最终被清盘(例如,瑞信XIV交易所交易票据的关闭)。在此事件之后,包括SVXY在内的许多波动率挂钩交易所交易产品经历了重大重组。特别是,ProShares降低了该基金的敞口,将其杠杆从-1倍调整为-0.5倍,旨在减轻尾部风险。由于这一调整可能改变了收益生成过程,我们将分析重点放在2014年3月至2018年4月期间(共1000个交易日),这一时间段包含了2018年2月的冲击,同时排除了重组后的制度。

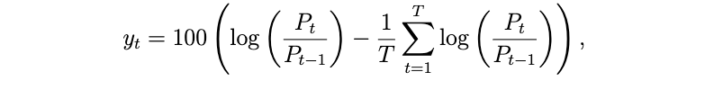
我们将原始价格序列转换为去均值后的日度对数收益率,具体如下:








由于从后验预测分布生成的收益率成功捕捉了实际收益率的动态特性,研究结果强有力地证明,即使在似然函数解析上难以处理且标准贝叶斯计算技术无法应用的环境中,所提出的估计框架仍能为潜在状态和参数提供可靠的推断。通过克服这些局限性,我们的方法极大地扩展了可在贝叶斯范式下进行估计的状态空间模型类别。这进而使得我们能够使用更丰富、更现实的模型设定,这些设定包含了常因计算便利性而被忽视的特征,例如市场突然的负向波动以及金融收益率中其他形式的极端行为。
7 讨论
在本文中,我们提出了一种用于状态空间模型滤波与参数学习的新颖框架。我们的方法在模型设定导致复杂的先验与似然系统(使得传统的MCMC和SMC方法难以甚至无法应用)的情况下,例如难处理的状态空间模型,证明尤其有价值。我们证明,只要能够从模型进行模拟,无论噪声分布或转移函数与观测方程的函数形式如何,通过我们的生成式滤波器方法,对潜在状态的估计仍然是可行的。我们还提供了预训练版本,为需要快速更新滤波分布的应用——例如实时目标跟踪和高频波动率监测,且在可以合理假设潜在过程平稳且发射分布时齐的条件下——提供了一种高效的替代方案。与基准ABC-PF相比,这两种方法均表现出更优的性能,实现了更高的准确性、更好的覆盖率以及与真实后验更近的接近度。
对于模型参数未知且必须与潜在状态联合推断的场景,我们开发了生成式吉布斯采样器。该方法提供了一种完全无需密度计算的采样方案,能够在具有复杂分层结构和难处理密度的模型中实现贝叶斯推断,其中某些类别的状态空间模型是其特例。当标准MCMC技术可以应用时,生成式吉布斯采样器能够获得可比较的结果,证明了其作为通用推断工具的有效性和稳健性。
我们的生成式贝叶斯滤波框架具有广泛的跨学科适用性,可用于任何允许状态空间表示的模型。在本工作中,我们专注于金融应用,特别是波动率估计——这是滤波文献中一个长期存在的挑战。正如Cont等人(2023)所记录的,金融收益率中观察到的复杂动态很难用具有严格假设的简单模型捕捉,尽管这些模型仍然是有用的基准。我们的框架为更灵活、更现实的建模打开了大门。特别是,我们展示了采用α-稳定分布能够捕捉金融收益率中一些众所周知的典型事实,并增强波动率估计。我们邀请经济学家和量化研究人员进一步探索我们的框架,并将我们的分析扩展到更丰富的动态特性,如跳跃、杠杆效应和其他非线性。重现我们结果所需的所有材料可在第一作者的GitHub仓库³中找到。
采用我们框架的研究者应注意,该方法在深度学习模型训练期间可能涉及相当大的计算成本。然而,通过利用高性能计算资源(如GPU)和并行处理,这一负担可以得到极大缓解。尽管如此,我们的结果表明,使用标准计算设置仍能实现出色的性能。此外,在预训练生成式滤波器和生成式吉布斯采样的背景下,此计算成本仅产生一次;训练完成后,滤波和参数学习的速度可与经典粒子滤波器和粒子马尔可夫链蒙特卡罗方法相媲美。特别是,在训练阶段学习到的映射可以轻松复用于估计整类状态空间模型,只需提供新数据即可。与传统ABC方法相比,这是一个特别吸引人的优势,因为传统方法必须在数据集改变时重新初始化估计过程。
另一个相关点是,我们对生成式贝叶斯滤波框架的实现主要依赖于分位数神经网络来学习用于从目标分布生成样本的逆累积分布函数映射。因此,它受到该技术固有局限性的制约。尽管分位数神经网络的使用并非严格必要,也可以采用其他隐式分位数方法,但神经网络的训练通常需要仔细的调优和验证。
在本文中,我们专注于单变量情况。作为未来研究的一部分,我们旨在将所提出的框架扩展到多维状态空间模型,其中 Yt 和 Xt 均为向量值。这一方向的动机来自Kim等人(2025)最近的工作,他们将生成式贝叶斯计算方法推广到多变量设置。
原文链接:https://arxiv.org/pdf/2511.04552