正则黑洞与黑洞力学第一定律
Regular black holes and the first law of black hole mechanics
https://arxiv.org/pdf/2304.05421

无奇点的规正则黑洞是广义相对论预测的奇异数学黑洞的一个流行替代品。在这里,我们推导出一个通用条件,即球对称动态正则黑洞必须满足的条件,以便与黑洞力学第一定律兼容,这是基于外视界表面引力的表达式。我们检验了文献中通常考虑的模型的动态推广,并证明它们都不符合与第一定律兼容所需的条件,这表明需要进行修改以保持其物理意义。我们表明,需要修正与引入最小长度尺度是内在相关的,因此可以看作是时空规则化的直接结果。我们明确地识别了扩展第一定律中的额外功项,评论了它们的热力学解释,并表明Misner-Sharp质量的线性系数足以确定相关的热力学性质。
I. 引言
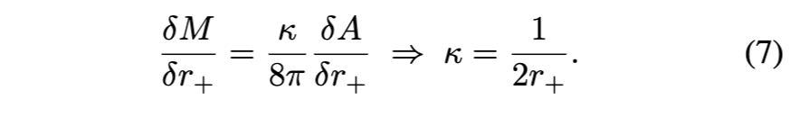
在1973年的里程碑式论文[1]中,Bardeen、Carter和Hawking引入了黑洞力学的四条定律,并阐明了它们与热力学四条定律的密切类比。这一连接两个领域的重要联系,自那以后已被证明是推进我们对黑洞理解的强大工具。特别是,参考文献1中在积分和微分形式下对第一条定律的严格数学推导所揭示的物理见解,为深入研究它们的热力学性质提供了强大的动力[2–7]。
尽管暗物质超致密天体的存在已不容置疑,但这些天体是否为黑洞的问题仍然存在争议[8–13]。在没有明确答案的情况下,近年来所谓的无奇点黑洞(RBHs)模型[14–16]受到了广泛关注,因为它们提供了一种避免广义相对论(GR)所预测黑洞固有的非平凡因果结构的方法。与广义相对论中被全局定义且物理上不可观测的事件视界所包围的奇异数学黑洞[17]不同,RBH模型的特征是有一个独立的内(柯西)视界和外(在演化中的RBH时空中是准局部的,例如视界或陷阱视界)视界。内视界和外视界通常都有非零的表面引力。然而,具有非零表面引力的内视界通常在小扰动下是不稳定的,这导致了所谓的质量膨胀不稳定性,即在内视界附近引力能量呈指数增长的指数不稳定性(例如,通过评估Weyl标量来测量)[18–23]。最近,一种新颖的“内极值”RBH模型被提出,该模型通过使内视界表面引力为零来治愈这种指数不稳定性,同时保持内视界和外视界之间的分离,以及外视界处的非零表面引力[24]。
需要注意的是,1973年的原始论文考虑的是静态黑洞[1]。尽管蒸发黑洞的质量损失通常被归因于霍金辐射的发射[5, 6],但在其推导中并未考虑时空几何的反作用,该推导假设底层几何是(至少在渐近意义上)静态的。这是一个物理上重要的遗漏:如果不能忽略霍金辐射的反作用,那么相邻平衡态之间的变化将不再能由第一定律准确描述。
为了解决这一局限性并超越物理上不现实的静态场景,动态(因此是准局部的)视界的概念被发展出来[25–27]。它使我们能够描述一个演化中的黑洞时空的几何结构,并已成为准确模拟动态过程(如黑洞的形成和可能的蒸发)不可或缺的数学工具,同时也使得黑洞力学定律及其热力学解释的推广成为可能[25, 28],包括将表面引力视为温度参数。
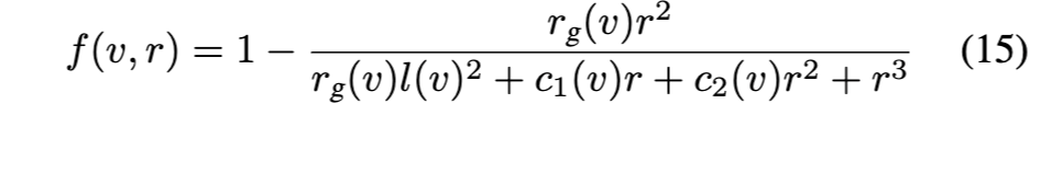
在本文中,我们研究了黑洞力学第一定律对嵌入渐近平直时空中动态RBH模型的物理影响。我们将考虑限制为熵与外视界面积成正比的情况。与宇宙的演化相比,黑洞的蒸发被认为是一个热力学上缓慢的过程[31]。因此,如果第一定律成立,动态演化黑洞的行为应在准静态极限下符合第一定律的规定。基于这一断言,我们通过考虑外视界的表面引力,推导出RBH必须满足的通用条件,以与第一定律兼容。我们明确测试了流行模型的动态推广,例如Bardeen模型[32](第IV C小节)、Dymnikova模型[33](第IV D小节)、Hayward模型[34](第IV B小节)、参考文献35中提出的模型(第IV E小节),该模型在保持其渐近行为的同时对施瓦西几何产生了最强可能的修正,以及上述的内极值RBH模型[24](第V节)。我们的分析表明,这些模型中没有一个与黑洞力学第一定律的传统形式兼容。
本文的其余部分安排如下:在第II节,我们介绍用于构建RBH的数学概念(第II A小节),并回顾黑洞力学第一定律及其与表面引力的关系(第II B小节)。在第III节,我们推导出动态黑洞必须满足的通用条件,以与黑洞力学第一定律兼容。基于这一兼容性条件,我们测试了通常考虑的RBH模型的动态推广,并发现它们没有一个满足所需的关系(第IV节和第V节),这表明这些模型要么不符合第一定律,要么需要对第一定律进行修改以保持其本质。在第VI节,我们简要概述了这一结果在所谓的Page蒸发定律背景下的后果。最后,我们在更广泛的背景下讨论了我们的研究结果的含义,并对与无奇点黑洞时空相关的未来研究方向进行了评论(第VII节)。在本文中,我们使用度规符号(−, +, +, +),并在无量纲单位中工作,使得

II. 数学预备知识
A. 受困区域和规正则黑洞
在高级空坐标系(vr) 中,一个一般的球对称度规由线元素描述。






B. 表面引力与黑洞力学第一定律
在参考文献1中推导出的黑洞力学第一定律已被证明适用于任何从微分同胚不变拉格朗日量[45, 46]中产生的引力理论。假设

,它可以数学上表述为:



表面引力对动态空间的推广[48, 49]通常与仿射剥离表面引力[50]或所谓的Kodama表面引力[28, 51, 52]相关。由于剥离表面引力对于在有限时间内形成于远处观察者视角下的瞬态对象是未定义的[53-55],并且有强有力的论据表明Kodama表面引力是霍金辐射的关键量[28, 55],我们接下来将专注于表面引力的这种推广。
推广表面引力到演化中的黑洞空间的主要困难在于,与它们的静止对应物不同,它们不能保证存在一个生成定义表面引力所需的零超曲面(称为Killing视界)的时间类Killing向量场。然而,即使在非静止的球对称空间中,也可以在(准局部的)外视界使用Kodama向量场定义动态表面引力[51, 52],在某种意义上超越了Killing向量场的概念。


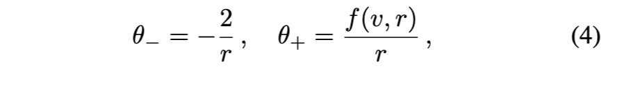
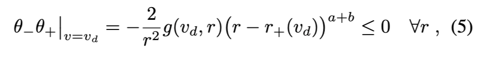
III. 兼容性条件的推导









是与第一定律兼容的必要条件,即MS质量展开中的线性系数

[参见方程(17)]在外视界必须消失。物理上,这意味着度规在外视界附近近似Vaidya解。第三,方程(18)-(24)中导出的表达式通常适用于由方程(16)形式的度规函数描述的黑洞。对于由方程(3)形式的度规函数描述的RBH,对方程(17)关于外视界进行级数展开得到



IV. 测试正则黑洞第一部分:具有非简并内视界的模型

A. 一个简单的非奇异“动态”时空

B. Hayward模型
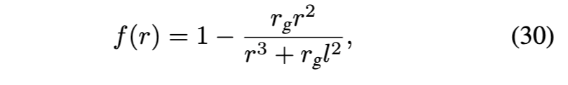
Hayward 在文献[34]中提出了一种非平凡的极小正规黑洞(RBH)模型,该模型在极限 r→0下退化为德西特(de Sitter)时空,而在极限 r→∞下则退化为史瓦西(Schwarzschild)/维迪亚(Vaidya)时空。在此模型中,度规由如下函数确定:




C. 巴丁模型
首个非奇异黑洞时空由巴丁(Bardeen)于1968年提出[32]。其度规函数定义为


D. 丁姆尼科娃模型 另一著名的正则黑洞(RBH)模型由丁姆尼科娃(Dymnikova)提出[33]。其度规函数为:

通过对MS质量在外部视界附近的展开,我们得到其线性阶系数。

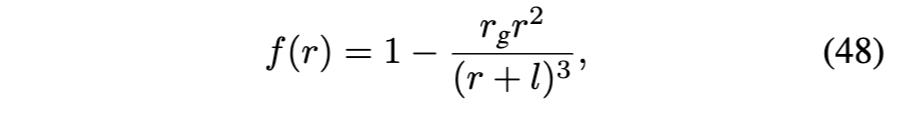
E. 具有最强施瓦西修正的正则黑洞模型 参考文献[35]中所研究的正则黑洞(RBH)模型,在仍保持与施瓦西几何渐近行为一致的前提下,展现出对施瓦西度规最强可能的修正。其度规函数为:

尤其值得关注的是,围绕人马座A*运行的S2恒星的观测数据可用于检验其几何结构,并推导出新长度尺度 l的上限。我们再次通过引入显式的时间依赖性来推广这一度规,即:

F. 带电的海沃德–弗罗洛夫模型 在文献[37]中,弗罗洛夫(Frolov)提出了对海沃德模型的推广,使其包含电荷 q。在推广至含时情形后,此类正则黑洞(RBH)的度规函数为:







V. 正则黑洞的检验(第二部分):具有简并内视界的内极端模型
参考文献[24]提出的内极端正则黑洞(RBH)模型,通过引入一个表面引力为零的简并内视界,解决了内视界处的质量暴涨不稳定性问题。如前所述,我们考虑其含时推广形式。该模型的度规函数可通过在式(3)中取参数 a=3、b=1得到,从而在广义含时情形下表示为:











VI. Page蒸发定律
基于霍金的结果[6],Page证明了由于霍金辐射的发射导致的黑洞质量损失可以用以下公式描述:




VII. 结论
基于演化中的黑洞视界的表面引力在准静态极限下应接近黑洞力学第一定律[方程(7)]所规定的表达式的断言,我们推导出了一般球对称动态黑洞的兼容性条件[第三节,方程(24)]。在我们对文献中通常考虑的RBH模型的动态推广的分析中,我们明确评估了描述它们的度规函数的兼容性条件,并证明它们都不符合与传统形式的黑洞力学第一定律兼容所需的必要条件(第四节和第五节)。如第六节所述,这也意味着——如果由于霍金辐射发射导致的质量减少

确实与第一定律规定的表面引力成正比——那么这种RBH的动态演化不能准确描述为标准的Page蒸发定律。人们可能会认为这是一个有些违反直觉的结果,考虑到方程(97)的推导是基于在渐近极限中感知到的霍金通量,因此人们会天真地期望引入的最小长度尺度(用于规范)不会影响结果。
我们的分析表明,动态RBH与黑洞力学第一定律的不兼容性直接与为规范而引入的最小长度尺度 l(可以解释为额外的“毛发”)以及内视界的存在相关,这些是区分RBH模型与替代的受困时空区域描述的主要特征(连同它们的规则中心)。由于两者都是规范过程中避免奇点的必要成分,人们可以推测有一个更基本的物理或拓扑原理在起作用,阻止非奇异黑洞时空满足第一定律。
以最保守的形式,我们的分析结论可以表述如下:非奇异黑洞与基于参考文献1和5-7结果的广泛接受的半经典描述蒸发黑洞不兼容。除非人们愿意放弃规则性和物理上行为良好的内部(一直到中心)或黑洞力学第一定律(及其相关的表面引力作为有效温度的热力学解释)的想法,否则我们的结果表明,即使在半经典引力的层面上也需要修改第一定律。
我们注意到,我们的分析与将偏离标准形式的第一定律[方程(6)]解释为热力学压力项的解释一致,例如在参考文献25和57中提出的,可以从方程(22)-(23)中看出。从这个意义上说,MS质量的线性系数

编码了关于黑洞热力学属性的非常具体的信息。事实上,从方程(22)可以看出,了解

足以完全指定黑洞力学的广义第一定律。
https://arxiv.org/pdf/2304.05421