
在算法学习中,处理单点修改和区间查询问题时,你是否还在为线段树的冗长代码头疼?是否想找一个效率相当、实现更简洁的数据结构?今天要介绍的树状数组(Binary Indexed Tree,简称 BIT) 就是你的最优解! 树状数组是一种专为区间统计设计的高效数据结构,修改和查询的时间复杂度均为O(logN),代码量只有线段树的 1/3,时间效率常数也更小。它能解决线段树的部分核心问题,是算法竞赛、笔试面试中处理区间问题的 “利器”。本文将从原理到实战,由浅入深讲解树状数组,包括一维、二维的各种操作,让你从零开始吃透树状数组!下面就让我们正式开始吧!
树状数组是一种仅支持单点修改和区间查询的线性数据结构,核心解决的是序列的区间统计问题(如区间和、区间乘积),其所有操作的时间复杂度均为O(logN),在数据量达到106甚至107时仍能高效运行。
它和线段树的关系可以用一句话概括:树状数组能解决的问题,线段树一定能解决;但线段树能解决的问题,树状数组不一定能解决。树状数组是线段树的 “简化版”,舍弃了部分通用性,换来了极致的简洁和效率。
树状数组维护的信息需要满足两个核心条件:
(a+b)+c = a+(b+c),区间乘积中(a*b)*c = a*(b*c);[1,r] - [1,l-1]得到[l,r]的和。注意:如果信息不满足可差分,树状数组就无法维护,比如区间最值、区间 GCD,这类问题还是需要用线段树解决。
可能有同学会问:既然线段树更通用,为什么还要学树状数组?
为了更好理解树状数组的设计思路,我们先从线段树入手,看看树状数组是如何对线段树做 “精简” 的。
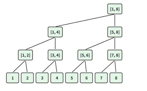
假设我们有一个长度为 8 的序列,用线段树维护区间和时,节点结构是这样的:

线段树的每个节点都维护一个区间和,但实际上,很多区间的信息可以通过前缀和相减推导出来,比如[3,5]的和可以用[1,5]-[1,2]得到,这些冗余的节点完全可以舍弃。
可以看到,树状数组仅保留了线段树中必要的节点,用一个普通数组就能存储,这就是树状数组的核心设计思路。
补充:树状数组的原始设计并非来自线段树精简,而是通过二进制拆分区间实现的 —— 将任意区间[1,x]拆分成若干个无交集的区间,每个区间的长度为lowbit(x)。两种思路殊途同归,线段树精简的方式更易理解,二进制拆分则是树状数组的本质。
树状数组的下标必须从 1 开始(这是由 lowbit 操作的特性决定的,x=0 时 lowbit (0) 无意义),其所有操作都围绕lowbit展开,核心有 3 个性质,这是理解和实现树状数组的关键!
先定义:lowbit(x) = x & -x,作用是保留 x 的二进制中最右边的 1,比如x=6(110),lowbit(6)=2(10);x=8(1000),lowbit(8)=8(1000)。
节点编号为 x 时,父节点编号为x + lowbit(x)。树状数组是一棵 “不完全的树”,每个节点都有对应的父节点,修改操作时需要沿着父节点一路向上更新,因为父节点维护的区间包含当前节点。
节点编号为 x 时,前一个相邻区间的编号为x - lowbit(x)。查询前缀和[1,x]时,需要通过这个公式不断向前跳,累加每个区间的和,直到跳至 0 为止。
节点编号为 x 时,该节点维护的区间是 [x - lowbit(x) + 1, x]。这是树状数组的核心,每个节点都有明确的区间管辖范围,比如:
[5,5];[5,6];[1,8]。结合上述性质,我们给出 n=8 时树状数组的完整节点分布,每个节点的编号、lowbit 值、维护区间一目了然:
节点 x | 1(001) | 2(010) | 3(011) | 4(100) | 5(101) | 6(110) | 7(111) | 8(1000) |
|---|---|---|---|---|---|---|---|---|
lowbit(x) | 1 | 2 | 1 | 4 | 1 | 2 | 1 | 8 |
维护区间 | [1,1] | [1,2] | [3,3] | [1,4] | [5,5] | [5,6] | [7,7] | [1,8] |

通过这个表格,你可以清晰看到:树状数组的每个节点都只维护一段连续的区间,且区间长度恰好是lowbit(x)。
一维树状数组是树状数组的基础,也是最常用的形式,核心解决序列的单点修改 + 区间查询、区间修改 + 单点查询、区间修改 + 区间查询三类问题,下面逐一讲解,每个问题都给出原理和完整 C++ 代码。
这是树状数组的最基础用法,解决的问题是:给定一个长度为 n 的序列,执行 m 次操作,要么修改某个位置的数值,要么查询某个区间[l,r]的和。
x += lowbit(x)一路向上,直到超过 n;[1,r]的和,再查询[1,l-1]的和,两者的差就是[l,r]的和;a[i],相当于对位置 i 执行单点修改(加 a [i])。#include <iostream>
using namespace std;
// 定义lowbit操作,宏定义更高效
#define lowbit(x) (x & -x)
// 数据范围根据题目调整,一般开1e5+10或1e6+10
typedef long long LL; // 防止溢出,区间和建议用long long
const int N = 1e6 + 10;
int n, m;
LL tree[N]; // 树状数组的存储数组
// 单点修改:位置x增加k
void modify(int x, LL k) {
for (int i = x; i <= n; i += lowbit(i)) {
tree[i] += k;
}
}
// 前缀和查询:查询[1,x]的和
LL query(int x) {
LL res = 0;
for (int i = x; i > 0; i -= lowbit(i)) {
res += tree[i];
}
return res;
}
// 区间查询:查询[l,r]的和
LL interval_query(int l, int r) {
return query(r) - query(l - 1);
}
int main() {
ios::sync_with_stdio(false);
cin.tie(0); // 加速cin,处理大数据必备
cin >> n >> m;
// 初始化树状数组:读入原序列,逐个单点修改
for (int i = 1; i <= n; i++) {
LL x;
cin >> x;
modify(i, x);
}
// 处理m次操作
while (m--) {
int op;
cin >> op;
if (op == 1) {
// 操作1:单点修改,位置x加k
int x;
LL k;
cin >> x >> k;
modify(x, k);
} else {
// 操作2:区间查询,查询[l,r]的和
int l, r;
cin >> l >> r;
cout << interval_query(l, r) << endl;
}
}
return 0;
}long long?:当 n 达到106,每个元素为106时,区间和会达到1012,超出 int 的范围(2×109),因此必须用 long long 防止溢出;ios::sync_with_stdio(false); cin.tie(0);是 C++ 处理大数据的常用技巧,避免 cin 因同步 stdio 导致的速度变慢;interval_query,代码更易读。 如果问题变成将区间[x,y]的所有数加 d,查询某个位置 i 的数值,直接用基础版树状数组无法实现,此时需要结合差分思想。
回顾差分的性质:
[x,y]加 d,等价于对差分数组 diff 的x 位置加 d,y+1 位置减 d;[1,i]。因此,区间修改 + 单点查询的问题可以转化为:用树状数组维护差分数组 diff,将原问题的区间修改变为树状数组的两次单点修改,原问题的单点查询变为树状数组的前缀和查询。
#include <iostream>
using namespace std;
#define lowbit(x) (x & -x)
typedef long long LL;
const int N = 1e6 + 10;
int n, m;
LL tree[N]; // 树状数组维护差分数组diff
void modify(int x, LL k) {
for (int i = x; i <= n; i += lowbit(i)) {
tree[i] += k;
}
}
LL query(int x) { // 查询差分数组的前缀和[1,x],即原数组a[x]的值
LL res = 0;
for (int i = x; i > 0; i -= lowbit(i)) {
res += tree[i];
}
return res;
}
// 区间修改:原数组[a,b]的所有数加k
void interval_modify(int a, int b, LL k) {
modify(a, k);
if (b + 1 <= n) {
modify(b + 1, -k);
}
}
int main() {
ios::sync_with_stdio(false);
cin.tie(0);
cin >> n >> m;
// 初始化:原数组a[i],转化为差分数组的单点修改
for (int i = 1; i <= n; i++) {
LL x;
cin >> x;
interval_modify(i, i, x); // 对[i,i]加x,等价于diff[i]+x
}
while (m--) {
int op;
cin >> op;
if (op == 1) {
// 操作1:区间修改,[l,r]加k
int l, r;
LL k;
cin >> l >> r >> k;
interval_modify(l, r, k);
} else {
// 操作2:单点查询,查询a[x]的值
int x;
cin >> x;
cout << query(x) << endl;
}
}
return 0;
}a[i]可以看作是对差分数组执行interval_modify(i,i,a[i]),即对区间[i,i]加 a [i];modify(b+1,-k)时,需要判断b+1 <=n,避免下标越界。 这是一维树状数组的最高阶用法,解决的问题是:将区间[x,y]的所有数加 k,查询区间[l,r]的和。该问题需要结合差分 + 数学推导,用两个树状数组维护不同的信息。
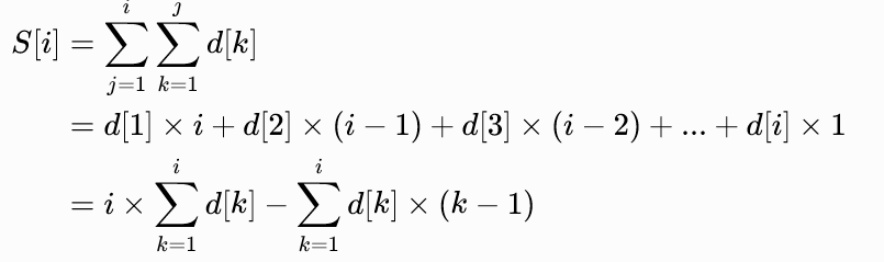
设原数组为 a,差分数组为 d,满足a[i]=∑j=1id[j]。
我们需要求原数组的前缀和S[i] = a[1]+a[2]+...+a[i],将 a [j] 用差分数组表示并展开:

令:
sum1[i] = \sum_{k=1}^i d[k](d 数组的前缀和)sum2[i] = \sum_{k=1}^i d[k]×(k-1)(d [k]×(k-1) 的前缀和)则原数组的前缀和S[i]=i×sum1[i]−sum2[i]。
原数组的区间和[l,r] = S[r] - S[l-1],因此只需用两个树状数组分别维护d[k]和d[k]×(k-1),即可实现区间修改 + 区间查询。
d[k],树状数组 B 维护d[k]×(k-1);[x,y]加 k,等价于对差分数组 d 执行:d[x]+k、d[y+1]-k,因此对 A 和 B 分别执行两次单点修改: i * A.query(i) - B.query(i);[l,r]:S[r] - S[l-1]。为了让代码更易读,我们将树状数组封装为结构体:
#include <iostream>
using namespace std;
#define lowbit(x) (x & -x)
typedef long long LL;
const int N = 1e6 + 10;
int n, m;
// 封装树状数组结构体,复用代码
struct BIT {
LL tree[N];
// 单点修改
void modify(int x, LL k) {
for (int i = x; i <= n; i += lowbit(i)) {
tree[i] += k;
}
}
// 前缀和查询
LL query(int x) {
LL res = 0;
for (int i = x; i > 0; i -= lowbit(i)) {
res += tree[i];
}
return res;
}
}A, B; // A维护d[k],B维护d[k]*(k-1)
// 原数组区间[x,y]加k
void interval_modify(int x, int y, LL k) {
A.modify(x, k);
A.modify(y + 1, -k);
B.modify(x, k * (x - 1));
B.modify(y + 1, -k * y);
}
// 求原数组前缀和[1,i]
LL prefix_sum(int i) {
return (LL)i * A.query(i) - B.query(i);
}
// 求原数组区间和[l,r]
LL interval_query(int l, int r) {
return prefix_sum(r) - prefix_sum(l - 1);
}
int main() {
ios::sync_with_stdio(false);
cin.tie(0);
cin >> n >> m;
// 初始化原数组a[i]
for (int i = 1; i <= n; i++) {
LL x;
cin >> x;
interval_modify(i, i, x); // 对[i,i]加x,初始化差分数组
}
while (m--) {
int op;
cin >> op;
if (op == 1) {
// 操作1:区间修改,[l,r]加k
int l, r;
LL k;
cin >> l >> r >> k;
interval_modify(l, r, k);
} else {
// 操作2:区间查询,[l,r]的和
int l, r;
cin >> l >> r;
cout << interval_query(l, r) << endl;
}
}
return 0;
}interval_modify(i,i,x)初始化原数组,等价于差分数组的单点修改。实际问题中,我们不仅需要处理一维序列的统计,还会遇到二维矩阵的统计问题,比如:修改矩阵中某个位置的数值、查询子矩阵的和、对某个子矩阵的所有数加 d 等。此时可以将一维树状数组拓展为二维树状数组,核心思想是二维循环,分别对行和列执行 lowbit 操作。
二维树状数组的下标同样从 (1,1) 开始,核心操作是单点修改 + 区间查询、区间修改 + 单点查询、区间修改 + 区间查询,拓展方式和一维一致,下面逐一讲解。
解决的问题:给定 n×m 的二维矩阵,执行若干操作,要么修改矩阵中位置(x,y)的数值,要么查询左上角为(x1,y1)、右下角为(x2,y2)的子矩阵的和。
(x,y)加 k,需要对行和列分别执行向上爬操作,即行i += lowbit(i),列j += lowbit(j),直到超过 n 和 m;(1,1)到(x,y)的前缀子矩阵和,行i -= lowbit(i),列j -= lowbit(j),累加所有节点的和;(x1,y1)-(x2,y2)的和为:sum(x2,y2)−sum(x1−1,y2)−sum(x2,y1−1)+sum(x1−1,y1−1)
其中sum(x,y)表示(1,1)到(x,y)的前缀和。
#include <iostream>
using namespace std;
#define lowbit(x) (x & -x)
typedef long long LL;
// 二维数组的大小根据题目调整,比如4200、2060等
const int N = 4200;
int n, m;
LL tree[N][N]; // 二维树状数组
// 单点修改:位置(x,y)加k
void modify(int x, int y, LL k) {
for (int i = x; i <= n; i += lowbit(i)) {
for (int j = y; j <= m; j += lowbit(j)) {
tree[i][j] += k;
}
}
}
// 前缀和查询:(1,1)到(x,y)的和
LL query(int x, int y) {
LL res = 0;
for (int i = x; i > 0; i -= lowbit(i)) {
for (int j = y; j > 0; j -= lowbit(j)) {
res += tree[i][j];
}
}
return res;
}
// 子矩阵查询:(x1,y1)到(x2,y2)的和
LL matrix_query(int x1, int y1, int x2, int y2) {
return query(x2, y2) - query(x1-1, y2) - query(x2, y1-1) + query(x1-1, y1-1);
}
int main() {
ios::sync_with_stdio(false);
cin.tie(0);
cin >> n >> m;
// 初始化二维矩阵
for (int i = 1; i <= n; i++) {
for (int j = 1; j <= m; j++) {
LL x;
cin >> x;
modify(i, j, x);
}
}
// 处理操作,直到文件结束
int op;
while (cin >> op) {
if (op == 1) {
// 操作1:单点修改,(x,y)加k
int x, y;
LL k;
cin >> x >> y >> k;
modify(x, y, k);
} else {
// 操作2:子矩阵查询
int x1, y1, x2, y2;
cin >> x1 >> y1 >> x2 >> y2;
cout << matrix_query(x1, y1, x2, y2) << endl;
}
}
return 0;
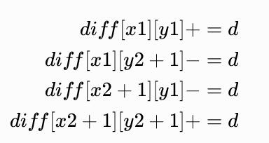
} 解决的问题:对 n×m 矩阵的子矩阵(x1,y1)-(x2,y2)的所有数加 d,查询矩阵中某个位置(x,y)的数值。同样需要结合二维差分思想。
对原矩阵 a 的子矩阵(x1,y1)-(x2,y2)加 d,等价于对二维差分数组 diff 执行四次单点修改:

原矩阵的位置(x,y)的数值,等价于二维差分数组 diff 的前缀和sum(1,1,x,y)。
因此,问题转化为:用二维树状数组维护二维差分数组 diff,原问题的区间修改变为树状数组的四次单点修改,原问题的单点查询变为树状数组的前缀和查询。
#include <iostream>
using namespace std;
#define lowbit(x) (x & -x)
typedef long long LL;
const int N = 4200;
int n, m;
LL tree[N][N]; // 二维树状数组维护二维差分数组
void modify(int x, int y, LL k) {
for (int i = x; i <= n; i += lowbit(i)) {
for (int j = y; j <= m; j += lowbit(j)) {
tree[i][j] += k;
}
}
}
LL query(int x, int y) { // 查询diff的前缀和,即原矩阵a[x][y]的值
LL res = 0;
for (int i = x; i > 0; i -= lowbit(i)) {
for (int j = y; j > 0; j -= lowbit(j)) {
res += tree[i][j];
}
}
return res;
}
// 区间修改:子矩阵(x1,y1)-(x2,y2)加k
void matrix_modify(int x1, int y1, int x2, int y2, LL k) {
modify(x1, y1, k);
if (y2 + 1 <= m) modify(x1, y2 + 1, -k);
if (x2 + 1 <= n) modify(x2 + 1, y1, -k);
if (x2 + 1 <= n && y2 + 1 <= m) modify(x2 + 1, y2 + 1, k);
}
int main() {
ios::sync_with_stdio(false);
cin.tie(0);
cin >> n >> m;
// 初始化原矩阵
for (int i = 1; i <= n; i++) {
for (int j = 1; j <= m; j++) {
LL x;
cin >> x;
matrix_modify(i, j, i, j, x); // 单点初始化
}
}
int op;
while (cin >> op) {
if (op == 1) {
// 操作1:子矩阵加k
int x1, y1, x2, y2;
LL k;
cin >> x1 >> y1 >> x2 >> y2 >> k;
matrix_modify(x1, y1, x2, y2, k);
} else {
// 操作2:单点查询
int x, y;
cin >> x >> y;
cout << query(x, y) << endl;
}
}
return 0;
} 这是二维树状数组的最高阶用法,解决的问题是:对矩阵的子矩阵(x1,y1)-(x2,y2)加 k,查询另一个子矩阵(a1,b1)-(a2,b2)的和。该问题需要结合二维差分 + 数学推导,用四个二维树状数组维护不同的信息。
设二维原矩阵为 a,二维差分数组为 d,满足

。
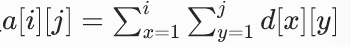
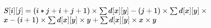
我们需要求原矩阵的前缀和S[i][j] = \sum_{x=1}^i \sum_{y=1}^j a[x][y],将 a [x][y] 用差分数组表示并展开,最终推导可得:

其中所有求和的范围都是x=1到i,y=1到j。
因此,我们需要用四个二维树状数组分别维护:
同样封装结构体复用代码,代码结构清晰:
#include <iostream>
using namespace std;
#define lowbit(x) (x & -x)
typedef long long LL;
const int N = 2060; // 注意数组大小,根据题目调整
int n, m;
// 封装二维树状数组结构体
struct BIT2D {
LL tree[N][N];
void modify(int x, int y, LL k) {
for (int i = x; i <= n; i += lowbit(i)) {
for (int j = y; j <= m; j += lowbit(j)) {
tree[i][j] += k;
}
}
}
LL query(int x, int y) {
LL res = 0;
for (int i = x; i > 0; i -= lowbit(i)) {
for (int j = y; j > 0; j -= lowbit(j)) {
res += tree[i][j];
}
}
return res;
}
}A, B, C, D;
// A: d[x][y]
// B: d[x][y] * x
// C: d[x][y] * y
// D: d[x][y] * x * y
// 二维差分的四次修改,同步更新四个树状数组
void add(int x, int y, LL k) {
A.modify(x, y, k);
B.modify(x, y, k * x);
C.modify(x, y, k * y);
D.modify(x, y, k * x * y);
}
// 子矩阵(x1,y1)-(x2,y2)加k
void matrix_modify(int x1, int y1, int x2, int y2, LL k) {
add(x1, y1, k);
add(x1, y2 + 1, -k);
add(x2 + 1, y1, -k);
add(x2 + 1, y2 + 1, k);
}
// 求原矩阵(1,1)到(x,y)的前缀和
LL prefix_sum(int x, int y) {
LL res = (LL)(x * y + x + y + 1) * A.query(x, y);
res -= (LL)(y + 1) * B.query(x, y);
res -= (LL)(x + 1) * C.query(x, y);
res += D.query(x, y);
return res;
}
// 求原矩阵子矩阵(a1,b1)-(a2,b2)的和
LL matrix_query(int a1, int b1, int a2, int b2) {
return prefix_sum(a2, b2) - prefix_sum(a1-1, b2) - prefix_sum(a2, b1-1) + prefix_sum(a1-1, b1-1);
}
int main() {
ios::sync_with_stdio(false);
cin.tie(0);
cin >> n >> m;
// 处理操作,直到文件结束
int op;
while (cin >> op) {
if (op == 1) {
// 操作1:子矩阵加k
int x1, y1, x2, y2;
LL k;
cin >> x1 >> y1 >> x2 >> y2 >> k;
matrix_modify(x1, y1, x2, y2, k);
} else {
// 操作2:子矩阵查询
int a1, b1, a2, b2;
cin >> a1 >> b1 >> a2 >> b2;
cout << matrix_query(a1, b1, a2, b2) << endl;
}
}
return 0;
}问题类型 | 核心思路 | 树状数组数量 |
|---|---|---|
单点修改 + 区间查询 | 直接维护原数组前缀和 | 1 |
区间修改 + 单点查询 | 维护差分数组,转化为单点操作 | 1 |
区间修改 + 区间查询 | 差分 + 数学推导,维护两个信息 | 2 |
问题类型 | 核心思路 | 树状数组数量 |
|---|---|---|
单点修改 + 子矩阵查询 | 直接维护二维前缀和 | 1 |
区间修改 + 单点查询 | 维护二维差分数组 | 1 |
区间修改 + 子矩阵查询 | 二维差分 + 数学推导,维护四个信息 | 4 |
long long,避免 int 溢出;x & -x,仅在 C++ 中有效(负数以补码存储);y+1或x2+1的修改时,必须判断是否越界;ios::sync_with_stdio(false); cin.tie(0);加速输入输出。树状数组是算法学习中性价比极高的一个数据结构,花少量的时间学习,就能解决大部分区间统计问题。其核心是lowbit 操作和前缀和 / 差分思想,从一维到二维的拓展只是维度的增加,核心逻辑完全一致。 学习树状数组的关键是理解其核心性质,而不是死记代码。建议大家先手动推导 lowbit 的计算、节点的维护区间,再结合简单的例子(如 n=8)模拟修改和查询的过程,这样才能真正掌握树状数组的本质。 掌握了树状数组后,你可以尝试解决这些经典问题:逆序对、楼兰图腾、HH 的项链等,这些问题都是树状数组的经典应用,能帮助你进一步巩固知识点。 希望这篇文章能让你彻底吃透树状数组,在算法竞赛和笔试中轻松解决区间统计问题!如果有疑问,欢迎在评论区留言讨论~ 创作不易,点个赞再走吧! 🚀