在编程世界里,组合数学是一门绕不开的 “内功心法”。无论是算法竞赛中的排列组合问题、动态规划中的状态计数,还是实际开发中的概率统计场景,都离不开组合数学的支撑。而组合数学的核心,莫过于对计数原理、排列组合、二项式定理这些基础概念的深刻理解,以及灵活运用各种方法求解组合数。 本文将从最基础的概念入手,由浅入深地拆解组合数学的核心知识点,再聚焦 “求组合数” 这一高频考点,详细讲解 4 种不同场景下的最优解法。无论你是算法新手,还是准备冲击竞赛的进阶选手,相信都能从本文中有所收获。下面就让我们正式开始吧!
计数原理是组合数学的入门知识,看似简单,却是所有复杂计数问题的基础。它包含两个核心:加法原理和乘法原理。
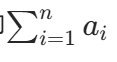
定义:如果完成一个事件有 n 类独立的方法,第 i 类方法有 a_i 种具体实现,那么完成这个事件的总方法数就是所有类别方法数的和,即

(也就是 a₁+a₂+...+aₙ)。
通俗理解:就像去餐厅吃饭,主食有米饭、面条、馒头 3 种选择,任选一种就能解决主食问题,总选择数就是 3 种,这就是加法原理的直观体现 ——“分类选择,选一个就够”。
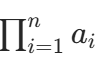
定义:如果完成一个事件需要 n 个连续的步骤,第 i 个步骤有 a_i 种实现方式,那么完成这个事件的总方法数就是所有步骤方法数的乘积,即

(也就是 a₁×a₂×...×aₙ)。
通俗理解:还是吃饭的例子,要是不仅选主食,还要选菜。主食有 3 种,菜有 4 种,那么一顿饭的搭配方案就是 3×4=12 种 —— 因为先选主食(3 种选择),再选菜(4 种选择),两个步骤必须都完成,才能构成一顿完整的饭,这就是 “分步执行,缺一不可”。
题目:书架上有不同的数学书 3 本,不同的物理书 4 本,不同的化学书 5 本。
这两个问题清晰地展示了加法原理和乘法原理的区别:加法原理对应 “分类”,乘法原理对应 “分步”。
排列组合是组合数学的核心,主要研究 “从 n 个不同元素中选取 m 个元素” 的计数问题,关键区别在于 “选取的元素是否有序”。
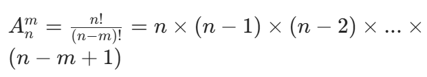
定义:从 n 个不同的元素中,任取 m 个元素(m≤n)排成一列,所有可能的取法个数称为排列数,记作

(也常用 P (n,m) 表示)。
计算公式:

(注:n! 表示 n 的阶乘,即 n×(n-1)×...×1;0! 规定为 1)
理解:排列强调 “顺序”。比如从 1、2、3、4 四个数中选 3 个排成一列,123 和 321 是不同的排列,因为顺序不同。计算时,第一个位置有 n 种选择,第二个位置有 n-1 种(选了一个元素后剩下的),以此类推,直到选够 m 个位置,所以是 m 个连续整数的乘积。
示例:计算

按照公式:

=(4−3)! / 4!=4×3×2×1 / 1=4×3×2=24种,和直观枚举的结果一致。
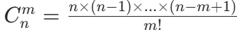
定义:从 n 个不同的元素中,任取 m 个元素(m≤n)组成一组(不考虑顺序),所有可能的取法个数称为组合数,记作

(也记作

)。
计算公式:

理解:组合不考虑顺序,只关注 “选了哪些元素”。比如从 1、2、3、4 中选 3 个元素,{1,2,3} 和 {3,2,1} 是同一个组合。因此,组合数是排列数除以 m!(m 个元素的全排列数,即消除顺序带来的重复计数)。
核心性质:

这个性质非常实用,比如计算

时,直接用

计算更简单(因为 100-98=2),大大减少计算量。

:从 n 个元素中选 0 个元素,只有 “不选” 这一种方式。

:从 n 个元素中选比 n 多的元素,显然不可能,所以方法数为 0。
二项式定理揭示了 (a+b)ⁿ展开式的系数与组合数的关系,而杨辉三角则是二项式系数的直观表现形式。
公式:

其中,

就是二项式展开式中第 k+1 项的系数(称为二项式系数)。
示例:展开 (a+b)³
根据定理:

代入组合数计算:= 1×a³×1 + 3×a²×b + 3×a×b² + 1×1×b³= a³ + 3a²b + 3ab² + b³
杨辉三角是一个由数字组成的三角形,它的第 i 行(从 0 开始计数)恰好是 (a+b)ⁱ展开式的二项式系数。
杨辉三角的结构:

。这个规律是后续用杨辉三角求组合数的理论基础。
杨辉三角的实用价值在于 “打表”—— 可以提前预处理出一定范围内的所有二项式系数(即组合数),后续查询时直接取用,效率极高。
组合数的计算是算法题中的高频考点,但不同题目的数据范围差异很大,因此需要根据 n、m 的大小、查询次数等条件选择合适的方法。以下是 4 种最常用的求组合数方法,涵盖了从简单到复杂的各类场景。

(p 为质数且 p > n)。
直接利用组合数的计算公式:

由于计算结果需要取模(组合数通常很大),而除法取模不能直接计算,因此需要用乘法逆元来替代除法。根据费马小定理,当 p 是质数时,a 的逆元为

(因为 a^(p-1) ≡ 1 mod p,所以 a 的逆元是 a^(p-2))。
具体步骤:
#include <iostream>
using namespace std;
typedef long long LL;
// 快速幂:计算 a^b mod p
LL qpow(LL a, LL b, LL p) {
LL ret = 1;
while (b) {
if (b & 1) ret = ret * a % p; // 若b为奇数,乘上当前a
a = a * a % p; // a平方
b >>= 1; // b右移一位(等价于b//2)
}
return ret;
}
// 计算 C(n, m) mod p,p为质数且p > n
LL C(int n, int m, int p) {
if (n < m) return 0; // 特殊情况:m > n时组合数为0
LL up = 1, down = 1;
// 计算分子:n*(n-1)*...*(n-m+1) mod p
for (LL i = n - m + 1; i <= n; ++i) {
up = up * i % p;
}
// 计算分母:m! mod p
for (LL i = 2; i <= m; ++i) {
down = down * i % p;
}
// 分母的逆元:down^(p-2) mod p
LL inv_down = qpow(down, p - 2, p);
// 组合数 = 分子 * 逆元 mod p
return up * inv_down % p;
}
int main() {
// 测试:计算 C(5, 2) mod 1e9+7
int n = 5, m = 2, p = 1e9 + 7;
cout << C(n, m, p) << endl; // 输出10
return 0;
}
。
利用杨辉三角的递推公式:

(边界条件:

)。
提前预处理一个二维数组 f [n][m],其中 f [n][m] 表示

,然后每次查询时直接返回 f [n][m] 即可,查询时间复杂度为 O (1)。
#include <iostream>
using namespace std;
typedef long long LL;
const int N = 2010; // n的最大值
LL f[N][N]; // f[n][m] = C(n, m) mod p
// 预处理杨辉三角,计算所有C(n, m) mod p
void get_comb(int max_n, int p) {
// 边界条件:C(n, 0) = 1
for (int i = 0; i <= max_n; ++i) {
f[i][0] = 1;
}
// 递推计算杨辉三角
for (int i = 1; i <= max_n; ++i) {
// 注意:j最大为i(C(i, j)中j≤i)
for (int j = 1; j <= i; ++j) {
f[i][j] = (f[i-1][j] + f[i-1][j-1]) % p;
}
}
}
int main() {
int max_n = 2000, p = 1e9 + 7;
get_comb(max_n, p); // 预处理
// 多次查询示例
int q;
cin >> q;
while (q--) {
int n, m;
cin >> n >> m;
// 注意:当m > n时,组合数为0
cout << (m > n ? 0 : f[n][m]) << endl;
}
return 0;
}
(p 为质数且 p > n)。
利用组合数的阶乘公式:

要快速计算这个公式,需要提前预处理两个数组:
根据费马小定理,g [n] = f [n]^(p-2) mod p(因为 n! 的逆元是 (n!)^(p-2) mod p)。而逆元数组可以从后往前递推:g [i] = (i+1) × g [i+1] mod p(推导:(i!)⁻¹ = (i+1) × (i+1)!⁻¹,因为 (i+1)! = (i+1)×i!,两边取逆元可得 (i!)⁻¹ = (i+1) × (i+1)!⁻¹)。
具体步骤:
#include <iostream>
using namespace std;
typedef long long LL;
const int N = 1e6 + 10; // n的最大值
const int MOD = 1e9 + 7; // 质数,且MOD > N
LL f[N]; // f[i] = i! mod MOD
LL g[N]; // g[i] = (i!)^{-1} mod MOD
// 快速幂:计算a^b mod p
LL qpow(LL a, LL b, LL p) {
LL ret = 1;
while (b) {
if (b & 1) ret = ret * a % p;
a = a * a % p;
b >>= 1;
}
return ret;
}
// 预处理阶乘和阶乘逆元数组
void init(int max_n) {
// 预处理阶乘数组
f[0] = 1;
for (int i = 1; i <= max_n; ++i) {
f[i] = f[i-1] * i % MOD;
}
// 预处理阶乘逆元数组:先计算g[max_n],再递推
g[max_n] = qpow(f[max_n], MOD - 2, MOD);
for (int i = max_n - 1; i >= 0; --i) {
g[i] = (LL)(i + 1) * g[i + 1] % MOD;
}
}
// 计算C(n, m) mod MOD
LL C(int n, int m) {
if (n < m) return 0;
return f[n] * g[m] % MOD * g[n - m] % MOD;
}
int main() {
int max_n = 1e6;
init(max_n); // 预处理
// 多次查询示例
int q;
cin >> q;
while (q--) {
int n, m;
cin >> n >> m;
cout << C(n, m) << endl;
}
return 0;
}
当 n 和 m 很大(超过 1e18)时,无法直接预处理阶乘数组,此时需要用卢卡斯定理(Lucas Theorem) 来分解问题。
卢卡斯定理的核心公式:

(其中 p 为质数)
通俗理解:将 n 和 m 分别表示为 p 进制数,然后对每一位分别计算组合数,最后将结果相乘取模。
具体步骤:
#include <iostream>
using namespace std;
typedef long long LL;
const int N = 1e5 + 10; // p的最大值
LL f[N]; // 阶乘数组,用于计算C(r, s)(r < p)
LL g[N]; // 阶乘逆元数组
// 快速幂:计算a^b mod p
LL qpow(LL a, LL b, LL p) {
LL ret = 1;
while (b) {
if (b & 1) ret = ret * a % p;
a = a * a % p;
b >>= 1;
}
return ret;
}
// 预处理阶乘和逆元数组(针对当前p)
void init(LL p) {
int max_fact = p - 1; // 因为r = n%p < p,所以阶乘只需要预处理到p-1
f[0] = 1;
for (int i = 1; i <= max_fact; ++i) {
f[i] = f[i-1] * i % p;
}
g[max_fact] = qpow(f[max_fact], p - 2, p);
for (int i = max_fact - 1; i >= 0; --i) {
g[i] = (LL)(i + 1) * g[i + 1] % p;
}
}
// 计算C(n, m) mod p,其中n < p,m < p
LL C(LL n, LL m, LL p) {
if (n < m) return 0;
return f[n] * g[m] % p * g[n - m] % p;
}
// 卢卡斯定理:计算C(n, m) mod p(p为质数)
LL lucas(LL n, LL m, LL p) {
if (m == 0) return 1; // 递归终止条件:C(n, 0) = 1
// 分解为低位C(n%p, m%p)和高位C(n/p, m/p)
return lucas(n / p, m / p, p) * C(n % p, m % p, p) % p;
}
int main() {
int T;
cin >> T;
while (T--) {
LL n, m, p;
cin >> n >> m >> p;
init(p); // 针对当前p预处理阶乘和逆元
cout << lucas(n, m, p) << endl;
}
return 0;
}为了方便大家在实际题目中快速选择合适的方法,这里整理了 4 种方法的核心参数对比:
方法 | 适用场景 | 时间复杂度 | 空间复杂度 | 核心限制 |
|---|---|---|---|---|
循环直接计算 | 单次查询、m 较小 | O(m) | O(1) | p 为质数且 p > n |
杨辉三角打表 | 多次查询、n≤2000 | 预处理 O (n²),查询 O (1) | O(n²) | n≤2000(否则超内存) |
阶乘 + 逆元表 | 多次查询、n≤1e6 | 预处理 O (n),查询 O (1) | O(n) | p 为质数且 p > n |
卢卡斯定理 | 多次查询、n≤1e18 | 预处理 O (p),查询 O (log_p n) | O(p) | p 为质数(p 可小于 n) |
学习组合数学,关键在于理解 “有序与无序”“分类与分步” 的区别,以及灵活运用乘法逆元、快速幂、递归分治等技巧。在实际做题时,一定要先分析题目的数据范围(n、m 的大小、查询次数、p 的性质),再选择合适的方法 —— 没有最好的方法,只有最适合的方法。 希望本文能帮助你打通组合数学的 “任督二脉”,在后续的算法学习和竞赛中披荆斩棘!如果有任何疑问或建议,欢迎在评论区留言交流~