
DRUGONE
聚对苯二甲酸乙二醇酯(PET)的酶促解聚被视为废弃聚酯化学回收的前沿技术。研究人员在本研究中提出了一种迭代的机器学习策略,以改进传统的隐马尔可夫模型(HMM)搜索,从天然同源序列中识别出400个潜在的PET降解酶(PET水解酶)。通过高通量实验筛选,成功表达和纯化了200多个候选酶,并在不同pH、温度及底物结晶度条件下测试其活性。最终发现91种此前未知的PET水解酶,其中35种在酸性条件(pH 4.5)下仍对结晶PET保持活性。尤其有4种酶在该条件下的表现优于或接近工程化的LCC-ICCG基准酶,另有11种酶的最适pH低于7。进一步分析揭示了与低pH活性相关的序列与结构区域。同时,基于条件特异性数据训练的机器学习预测模型,相比单独依赖HMM搜索,命中率提升高达30%。这些结果表明,通过结合机器学习与实验反馈,可以更高效地发现针对特定应用条件的新型PET水解酶。

PET是全球产量最大的塑料之一,传统的物理和化学回收方法难以高效处理结晶态PET,且工艺往往伴随高能耗与高成本。生物催化方法因温和条件下选择性高而受到关注。迄今发现的PET水解酶多来源于天然的切丁酶、脂肪酶和羧酸酯酶,但其在酸性环境和高结晶度PET上的活性有限,阻碍了实际应用。为解决这些问题,研究人员提出从天然多样性中寻找具有更优性能的新酶作为工程化起点,并利用机器学习与高通量实验相结合的方法,加速识别适合工业化条件的候选酶。
结果
三轮机器学习驱动的候选筛选
研究人员进行了三轮搜索与筛选:

高通量实验验证
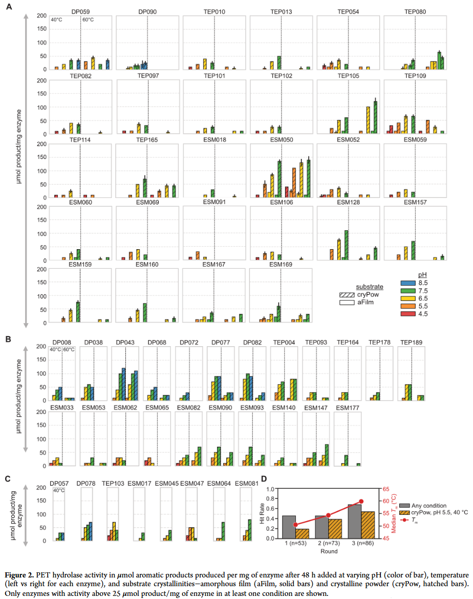
共475个候选基因被表达,其中221个成功纯化,212个被测试活性。最终确认115个为活性酶(命中率54%),其中91个此前未报道。35个酶在pH 4.5下保持活性,11个酶的最适pH小于7。部分酶在结晶PET上的活性甚至优于LCC-ICCG,显示出潜在的工业应用前景。

酶的多样性与结构分析
系统发育树与序列嵌入分析显示,这些新酶覆盖了广泛的序列空间,其中部分含有碳水化合物结合模块(CBM13),与低pH活性显著相关。研究人员还解析了一种高活性候选酶(DP043)的晶体结构,确认了其与已知PET酶的结构同源性,并观察到Ca²⁺结合特征。

低pH活性相关因素
通过比较低pH活性与中性pH活性酶,研究人员发现:


预测模型性能提升
相比单纯HMM,结合实验数据训练的监督模型在特定条件下的预测性能显著提高(AUROC从接近随机提升至0.8),并在低pH结晶PET条件下将潜在命中率提升了25–55%。

讨论
研究表明,结合机器学习与实验反馈的循环策略能够显著提高PET水解酶的发现效率,并能针对特定条件(如低pH和结晶PET降解)筛选到表现优异的新型酶。这一方法不仅揭示了与低pH活性相关的关键序列和结构因素,也为进一步的酶工程提供了线索。未来,通过增加实验数据规模与多条件覆盖,预测模型的精度有望进一步提升,从而推动PET生物回收技术在工业上的应用。
整理 | DrugOne团队
参考资料
Machine Learning-Guided Identification of PET Hydrolases from Natural Diversity. Brenna Norton-Baker, Evan Komp, Japheth E. Gado, Mackenzie C. R. Denton, Irimpan I. Mathews, Natasha P. Murphy, Erika Erickson, Olateju O. Storment, Ritimukta Sarangi, Nicholas P. Gauthier, John E. McGeehan, and Gregg T. Beckham. ACS Catalysis.
DOI: 10.1021/acscatal.5c03460
内容为【DrugOne】公众号原创|转载请注明来源