
大家好啊,我是云泽Q,欢迎阅读我的文章,一名热爱计算机技术的在校大学生,喜欢在课余时间做一些计算机技术的总结性文章,希望我的文章能为你解答困惑~
二叉树有一个性质:

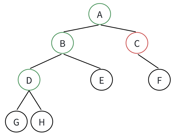
在该图中,用绿色标记度为2的结点,红色标记度为1的结点,黑色标记度为0的结点,二叉树的结点只有三种情况:度为0,1,2。这里认为度为0的节点总数是n0,度为2的结点个数总数为n2,度为1的节点总数是n1
树还有一个性质就是:边数 = 结点个数 - 1(两个结点用一条边相连) 结合图中就有了下面的公式: 边数 = n0 + n1 + n2 - 1
求边数还有一个公式:



该题选A




这题要先通过后序遍历找根节点(a),再通过中序遍历找左子树(b),最后通过中序遍历和后续遍历的右子树判断右子树的根节点(c),还原二叉树后再前序遍历,也可以找到一个节点直接删除一个节点,再判断剩余的节点


该题依旧按照前面的方法,从后序遍历就知道最后一个节点F是根节点,然后就把后序遍历和中序遍历中的F删了,由于中序遍历是左根右,在F左边的都是左子树,所以可以知道该二叉树没有右子树,左子树的根节点为E

再看中序遍历,E左边是左子树,右边是右子树,所以依旧没有左子树

以此类推


这里不用拿根节点和其所有孩子进行一一比较,如果当前根节点的值和左孩子相同,和右孩子也相同,说明左右孩子的值也是相同的,接下来继续拿左子树的根节点和其左右孩子相比较,右子树根节点和其左右孩子相比较,如果他们分别相同,那么就说明所有结点的值都相同




这里的比较和相同的树的区别就是,相同的树的比较是同时比较两个二叉树相同结构位置的节点。而这里对称比较是比较根结点(结构和值)之后,再递归一个树的左节点和另一个树的右节点是否相同


两个指针分别指向root和subRoot的根节点,都从根结点出发,先判断两棵树(整个root和subRoot)是不是相同的树,若不是便递归root的左子树(以4为根),判断4这个二叉树是不是和subRoot相同,若不相同再判断subRoot和root的右子树(5)是否相同,相同便直接return true
这里分析一下给的两个示例: 示例1:先用root的整个二叉树和subRoot比较,从两个二叉树的根节点出发,比较两棵树发现不是相同的树,便递归root的左子树(以4为根),发现以4为根的二叉树和subRoot是相同的,便直接return true


示例2:先用root的整个二叉树和subRoot比较,从两个二叉树的根节点出发,比较两棵树发现不是相同的树,便递归root的左子树(以4为根,4120),发现以4为根的二叉树和subRoot(412)是不同的。继续递归4的左子树(1),与subRoot不是相同的二叉树,再递归1的左右子树(为NULL),直接return false回到4这个二叉树中,4的左子树和subRoot不相同,继续递归4的右子树,4的右子树(2)不为空和subRoot比较,因为不相同继续递归2的左子树(0),0这个左子树不为空和subRoot比较不相等,继续递归0的左子树(NULL),其左右子树都为NULL,return false给2这个二叉树,2的左子树和subRoot不相同,递归2的右子树,2的右子树为NULL,直接return false给4这个二叉树,4此时左右子树和subRoot都不相同,便返回false给3这个二叉树。此时3这个二叉树左子树和subRoot不相同,递归其右子树(5)和subRoot比较,5和subRoot不是相同的树,继续递归5的左右子树(NULL),return false给5这个二叉树,说明5的左右子树和subRoot不是相同的树,继续返回false给3这个二叉树,3这棵二叉树左右子树和subRoot都不相同,说明subRoot就不是root的子树,return false



这里题目的描述给的比较少,只是Note中说要返回的数组必须是自己malloc的,也就是函数的返回值int* 是一个数组,数组的大小是要自己计算开辟的,前序遍历的结果要保存在数组当中
第二个参数returnSize返回数组的大小用了一个指针,若returnSize是一个确定的结果,就不用传地址了,传值就可以了,也就是说这里的returnSize也是一个不确定的值,需要自己去求,远程服务器最后根据方法的调用知道returnSize是多少





这里只给一种遍历方式字符串是可以画出二叉树的,因为其遍历结果给空树用#标记了,遇到空树就不能继续向下创建节点了
#include <stdio.h>
#include <stdlib.h>
//定义二叉树的结构
typedef struct BinaryTreeNode
{
char data;
struct BinaryTreeNode* left;
struct BinaryTreeNode* right;
}BTNode;
BTNode* buyNode(char ch)
{
BTNode* newnode = (BTNode*)malloc(sizeof(BTNode));
if(newnode == NULL)
{
perror("malloc fail");
exit(1);
}
newnode->data = ch;
newnode->left = newnode->right = NULL;
return newnode;
}
//创建二叉树,返回二叉树的根节点
BTNode* createTree(char* arr, int* pi)
{
if(arr[(*pi)] == '#')
{
(*pi)++;
return NULL;
}
//取到的字符不为#,创建二叉树的根节点
BTNode* root = buyNode(arr[(*pi)++]);
//创建该根节点的左子树和右子树
root->left = createTree(arr, pi);
root->right = createTree(arr, pi);
return root;
}
void InOrder(BTNode* root)
{
if(root == NULL)
{
return;
}
InOrder(root->left);
printf("%c ", root->data);
InOrder(root->right);
}
int main() {
//读取输入的字符串保存在数组中
char arr[100];
scanf("%s", arr);
//根据先序遍历字符串建立二叉树
int i = 0;
BTNode* root = createTree(arr, &i);
//中序遍历
InOrder(root);
return 0;
}这里细看一下构建二叉树的逻辑,i从0开始创建A的函数栈帧,取到的* pi不为#,创建根节点A

之后i++,创建根节点A的左子树(B),创建B的函数栈帧,在B的函数栈帧中创建根节点B

i++,接下来继续创建B的左子树,在C的函数栈帧中创建根节点C

继续创建C的左子树,i++,创建参数为#的函数栈帧,进入栈帧后直接return,回到C的函数栈帧

此时C的根节点已经有了,左子树为空,再递归创建C的右子树,但是i此时没有后移了,因判断* pi 等于 #号的时候,i没有继续往下走,所以在if判断中加一句代码

此时创建C的右子树,* pi为#,直接i++,return,回到C的函数栈帧中

C的左右都为空,直接return root,root就为C,此root是B的左子树,B的左子树创建完成后创建B的右子树(D),D创建完成后i++来到了E

E就是D的左子树,E创建好了之后i继续++,继续创建E的左子树,E的左子树为空,i++来到G后直接返回

接下来创建E的右子树(G),创建之后i++来到#

G的左右子树都是#,i++两次直接来到F,G的二叉树就构建完成了

G此时return root来到了E,E的根左右已经构建完了来到D,D的根左已经创建完了,在D的函数栈帧中继续创建D的右子树(F)

F的根节点创建完成后i++,构建F的左右子树,F的左右子树为#,i++两次

此时F这棵二叉树的左右子树构建完成,在F的函数栈帧中return root,回到D的函数栈帧,D return root回到B,B回到A,A的根左已经构建完了,开始构建A的右子树,A的右子树取到的是#,i直接++,此时二叉树构建完成
