
说到UWB自动跟随,大多数人脑子里首先想到的是“厘米级定位”,但当你真的要做一个能在日常环境下稳定运行的产品时,会发现硬件只是冰山一角——算法优化和功耗管理才是让它跑得又稳又久的关键。
今天我们从定位算法到功耗策略,一次性掰开揉碎。
UWB芯片(比如DW1000/DW3000系列)在主动测距时的功耗可以达到100 mA 级别。这对一台要全天运行的跟随机器人来说,是个不小的负担。尤其是:
所以,算法必须不仅精准,还得“省着用”UWB。
定位算法的优化可以分成两类:
UWB定位的三种常见算法:
测距公式:

其中 c是光速,trx 是接收时间戳,ttx 是发送时间戳。
优点:直观易算
缺点:时间同步要求高,对时钟漂移敏感。
对两个基站 A、B,有:

再利用双曲线定位公式解出位置。
优点:标签端功耗低(不必参与双向通信)
缺点:基站间需要精确同步(通常用光纤或无线同步)
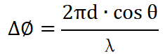
通过比较两个天线接收到的载波相位差:

其中 λ为载波波长,θ 为入射角。
优点:可以实现角度测量(AOA)
缺点:相位容易受多径和噪声干扰。
实际经验:在室内复杂场景(比如超市货架区),单一算法很容易翻车——多径干扰导致TOF抖动大、TDOA同步失准、PDOA相位跳变。所以我们更建议使用融合算法:
下面是我们的几个项目经验:
(1)自适应测距频率
当IMU检测到目标和机器人相对速度很低时(比如用户停下来买咖啡),将测距频率从 20 Hz 降到 2 Hz。
当加速度超过阈值时,立即恢复高频测距。
(2)运动预测 + 滑动窗口滤波
使用 卡尔曼滤波 或 扩展卡尔曼滤波(EKF) 将 IMU、UWB 融合,预测目标位置:

这样即使UWB测距间隔变大,也能平滑轨迹。
(3)测距分组管理
如果有多天线/多基站布局,不必每次都全量测距,可以用上次结果筛选出最可能的位置区域,只测与该区域相关的基站。
硬件级功耗优化常被忽视,但效果往往比算法优化更直接。
1. 低功耗模式切换
DW1000 等芯片有睡眠模式和空闲模式,合理利用可以降低数十 mA 的待机功耗。
2. 硬件唤醒
结合PIR传感器或蓝牙RSSI,当检测到用户接近时才唤醒UWB。
3. 射频输出功率动态调节
UWB发射功率越高,覆盖越远,但功耗也成倍增加。对于近距离(<5m)跟随,可以把功率降低 6~9 dB,延长续航。
案例 1:在超市环境里测试,发现UWB标签每隔几十秒位置就会跳到十米开外。原因是货架金属反射导致PDOA角度计算出错。解决办法是加上信号质量门限,低于门限时不更新位置。
案例 2:一个智能行李箱项目在机场跑没问题,但在地铁站掉链子。原因是地铁站的UWB信号噪声背景高、时钟同步失效,精度崩溃。最后改成 TOF+ PDOA+ IMU 备用通道才救回来。
UWB自动跟随要想做到既精准又省电,需要在算法和硬件两端同时下功夫:
原创声明:本文系作者授权腾讯云开发者社区发表,未经许可,不得转载。
如有侵权,请联系 cloudcommunity@tencent.com 删除。
原创声明:本文系作者授权腾讯云开发者社区发表,未经许可,不得转载。
如有侵权,请联系 cloudcommunity@tencent.com 删除。