
为探索AGI能力边界,AGI-Eval 评测社区推出了一种可泛化的开放式人机交互基础能力评测方案——十分钟 Quiz,其构建了一个开放式对话产品,待测模型需要与用户完成10分钟左右的知识点讨论和 Quiz 解答。基于真实多轮对话内容,进一步拆解出「是否理解用户意图」、「是否具备良好的知识推理能力」、「是否胜任 Agent 要求」「是否理解任务要求」四大类共七项分析指标,对8个顶尖模型进行了评测。接下来让我们一起来看看这些顶尖大模型表现如何吧!

目录
1.评测背景:AGI 发展的进阶之路
2.十分钟 Quiz 评测方案
2.1 评测框架
2.2 产品化隐式评测手段
2.3 丰富的专业数据集及可泛化对话场景
2.4 评测指标
3.十分钟 Quiz 评测结论
3.1 定量指标
3.2 定性指标
3.3 总体评价
2024年7月,OpenAI 公司提出了通用人工智能(AGI)的五层框架理论,将 AGI 的发展分为5个阶段:聊天机器人(Chatbots)、推理者(Reasoners)、智能体(Agents)、创新者(Innovators)、组织者(Organizations)。
过去一年中,我们见证了大模型能力的爆发式突破:头部模型已普遍跨越 L1 阶段,在 L2 “推理者”层级站稳脚跟。头部模型不仅能理解复杂意图,更能通过多步推理链完成跨领域知识整合,已可比肩人类专家。当前竞争焦点正转向 L3 “智能体”的攻关,模型自主完成“精准拆解目标→规划执行路径→调用工具资源→自主完成任务”全链路任务流程,需要更高的自主决策能力。

基于上述分类,我们首先在教育场景中进行了探索:当要求模型通过案例教学引导用户掌握知识点时,不同模型展现出差异化的任务拆解策略:有的采用苏格拉底式追问法引导思考,有的引入生动案例帮助理解,更有模型能动态调整教学策略应对用户认知偏差(图中展示了不同模型的开场对话内容)。

这些实践揭示:当前顶尖模型已具备 L3 级别的部分特征,但我们如何定位当前模型能力边界,评测头部模型在多轮对话任务中所展现出的自主决策能力优劣?现在就为大家介绍 AGI-Eval 评测社区推出的【十分钟 Quiz】评测方案。
10分钟 Quiz 评测方案首先对 L2→L3 做了进一步拆解,将系统指令根据详细程度划分为四个 Prompt 层级(目标、大框架、笼统的 Workflow、详细的 Workflow),通过不断简化提供给模型的预设指令,评估其自主决策能力已达何种阶段。当模型仅需提供最终目标便能自主设计框架和决策执行流程时,即可认为其在多轮对话任务中达到了 L3 级别的能力标准。
以教育场景为例,模拟现实教学流程,将教学框架分为“老师主导教学”、“老师辅助巩固”两个阶段。前一阶段要求模型主导,在给定的 Workflow(解题步骤)下推进基础的知识教学,后一阶段要求更高,模型需根据学生回答自行灵活调整教学策略,辅助完成难度更大的题目作答。


上述评测框架提供了一种观察模型成长轨迹的长生命周期视角,随着模型能力的进一步提升,本评测方案依然适用,并可评出模型间的代际差,持续评估模型在向真正的智能体转变过程中所展现的潜力和能力表现。
当前主流的评测方案均为显式评测,评测者有意识地参与评测,直接提供明确的评分或反馈,如 SBS(将不同模型的输出结果并列展示,要求评估者基于预设维度进行人工比对)、Chatbot Arena(匿名模型两两随机对战,用户根据回答质量投票选择优胜方)、MOS(收集人类评估者对生成结果的主观评分)、图灵测试(通过人机对话辨别对象属性)等,其主要存在以下问题:
与之对应的隐式评测,评价者未直接提供评分或反馈,而是通过分析其行为的间接方式获得评价指标,如搜推系统中的页面停留时间、鼠标的点击滑动行为分析等,其主要特征为:
十分钟 Quiz 创新性地将产品化隐式评测用于人机交互评测方案设计,通过上线开放式对话产品,用户在对模型切换无感知的情况下完成知识点学习,在真实的产品体验过程中不知情地做出评测反馈。产品进行公测期间(10天)回收完整对话数据2888条并完成3.2w+真实多轮对话轮次。

十分钟 Quiz 评测方案覆盖10余+专业知识领域,构建了145组高难度多场景题库,累计高难度题目700+,全面考察模型知识推理能力。同时,每个知识点设置基础版与进阶版两种难度梯度,对应两个 Stage,递进式考察模型能力。

此外,十分钟 Quiz 评测方案不仅停留于教育场景评测,还可低成本迁移泛化至其他多轮对话的复杂评测任务,通过构建两阶段进阶任务、模型主导/辅助两种推进方式、不同详细程度的 Prompt 即可完成评测。

评测指标体系构建的复杂性是隐式评测中的一大难题,本方案通过拆解模型输出过程中的三项关键链路:【Prompt】【长上下文信息】【模型思考过程】,挖掘出体现模型能力差异的四大类定性 / 定量指标,分别考察模型是否理解任务要求、是否具备良好的知识推理能力、是否胜任 Agent 要求、是否理解用户意图。以下将结合具体案例说明各项指标含义。

1. 是否理解任务要求(定量指标):对拆解的三项指标分别进行0/1打分。



△左右滑动查看三个案例
△案例一:模型能够准确纠正学生错误,结合知识点完成教学。
△案例二:模型不能遵守跳转逻辑(在用户答对时,不及时时结束对话,不断提出新案例教学)。
△案例三:用户未能作答正确 Quiz 并给出完整步骤。
2. 是否具备良好的知识推理能力(定性指标):模型是否出现知识性错误(计算、内容、解题思路错误)。


△左右滑动查看二个案例
△案例一:模型解题方法选择不当,错误推进教学进度。
△案例二:模型输出存在计算错误。
3. 是否胜任 Agent 要求(定性指标):统计模型在教育场景下自发的优/劣交互行为。





△左右滑动查看五个案例
△案例一:在经历长对话内容后,模型主动要求用户回顾总结,帮助梳理知识点架构。
△案例二:适当发出鼓励行为等情绪价值,维持学生的学习动力。
△案例三:引导逻辑缜密直接,便于用户理解。
△案例四:模型输出碎片化,缺乏系统逻辑,或多线程干扰,造成学生认知负荷失控。
△案例五:无法结合用户输入主动调整回应策略,单向持续灌输知识点,造成无效追问。
4. 是否理解用户意图(定性指标):分析模型 Thinking 过程是否正确分析教学进度。


△左右滑动查看两个案例
△案例一:较好地把握教学进度和下一步教学规划。
△案例二:错误理解用户意图和教学进度。
总体结论
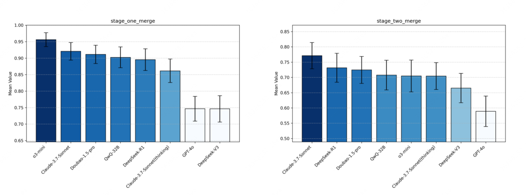
定量指标综合后整体模型得分区间在0.58-0.86,共可划分为四个梯队:
1. Claude-3.7-Sonnet、o3-mini、Doubao-1.5-pro(得分0.84-0.86)为第一梯队,Claude-3.7-Sonnet 领衔。
2. DeepSeek-R1、QwQ-32B、Claude-3.7-Sonnet(Thinking)(得分0.80-0.83)为第二梯队,与第一梯队差异较小(6pp内)。
3. DeepSeek-V3、GPT-4o(得分0.69-0.72)为第三梯队,与前两梯队模型存在显著差异。

分阶段结论

分指标结论
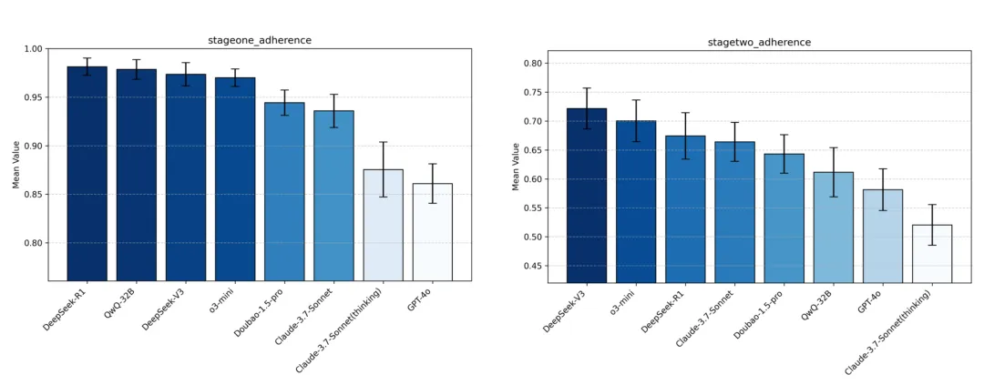
指令遵循(adherence):

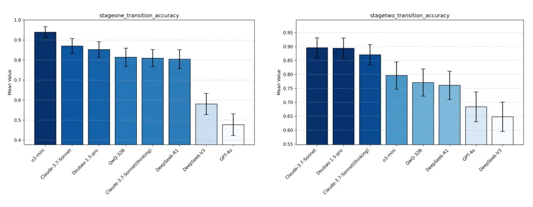
跳转准确率(transition_accuracy):

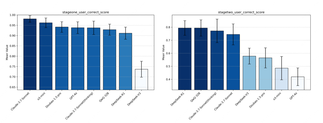
用户作答正确率(user_correct):

模型知识/逻辑错误归因


不好的教育行为归因


3.3总体评价
评测方案认知迭代
模型认知迭代
从知识点讨论走向更通用的交互对话场景,从用户对模型切换有感知到产品化的隐式评测,从简单交互到融入跨模态、工具调用等复杂的交互方式……
我们将从十分钟 Quiz 评测为起点,探索不同发展阶段大模型更前瞻、更跨周期的评测方案,持续监控头部模型是否已具备到达 AGI 下一阶段的能力需求,敬请关注!
以上就是本次的评测内容, AGI-Eval 大模型评测社区持续关注现在大模型行业的发展,持续探寻 AGI 的发展之路。后续我们也将第一时间为大家评测更多模型,期待更多人加入我们!
原创声明:本文系作者授权腾讯云开发者社区发表,未经许可,不得转载。
如有侵权,请联系 cloudcommunity@tencent.com 删除。
原创声明:本文系作者授权腾讯云开发者社区发表,未经许可,不得转载。
如有侵权,请联系 cloudcommunity@tencent.com 删除。