突破&创新

2022年3月,M20发布了全球首个高通量单细菌RNA测序技术MscRNA Seq(收录于M20 Seq)和VITApilote高通量单细菌转录组试剂盒,推动微生物研究迈入了单细菌转录组时代。
然而,当今微生物的科学研究正在快速驶向复杂度和精准度更高的未知领域。为应对新的科学问题对技术带来的挑战,帮助研究人员对肠道微生物组进行更为深入的研究,M20正式推出VITA单细胞测序产品家族的新成员,全球首个可用于肠道微生物组的高通量单细菌转录组产品 – VITA GutMicrobiome,助力研究人员开启肠道菌群研究的单细菌转录组时代。

VITA GutMicrobiome产品图
VITA GutMicrobiome高通量单细菌转录组产品的问世意味着在肠道微生物组研究中又多了一项科研利器,肠道菌群的功能解析从此可以在单细菌转录组水平上进行。这对于肠道菌群功能、活菌药物、粪菌移植、菌群-药物相互作用等各个方向的研究都将形成巨大助力。
肠道微生物可以说是人体的一大“隐秘器官”——人体细胞共有约30万亿个,而我们肠道内的微生物估计有100万亿之多,在营养吸收、药物代谢、免疫调节、疾病发生,乃至新冠后遗症等方面都起着重要作用[1-3]。
近年来,肠道微生物组的学术论文数量呈指数型飞速上涨(图1),但在核酸水平上所用的主要研究工具目前依然是近二十年前出现的宏基因组和宏转录组。

图1. PubMed上肠道微生物组历年文章发表数目
尽管这些传统的技术方法因为使用已久而比较成熟,但依然有其固有的局限性,其中最为明显的就是这些传统技术很难精细分析微生物群落的功能异质性。
例如,广谱抗生素的临床使用可能会导致肠道菌群失衡,甚至诱导肠道耐药菌的产生,以致发生严重的后果,如临床上闻之色变的艰难梭菌感染。近年来,科学家们已经意识到,菌群中耐药性的发生是一个高度异质性的过程,即使是基因背景完全相同的菌株,在面对环境抗生素的压力时,可能会发展为功能表型完全不同的亚群,并且这种异质性会根据环境变化而快速变化,而传统的检测和分析方法对此并不敏感(图2)[4-6]。

图2. 临床对细菌耐药性的常规检测难以发现耐药异质性的菌群
肠道菌群中有很多菌种难以体外培养,因此纯培养后进行功能研究并不可行,只能借助于其他技术。在目前的常用技术中,宏基因组作为基因组层面的工具,很难捕获功能异质性层面的快速变化。而宏转录组及microarray等技术虽然可以从转录组层面分析功能表型,但获得的仅为群体的平均信息,很难获取其中关键亚群的异质性信息。流式分选可以在细胞水平上根据蛋白表达分析功能异质性,但仅限于数目有限的已知靶标,无法提供全面的分析和探索。而目前其它平台的微生物单细菌转录组技术(均为文献技术,尚无商业化产品)虽然可以对微生物功能异质性提供精细分析,但都仅用于培养的单菌或混合菌分析,尚未适用于自然界中存在的复杂微生物组[7-9]。
因此,微生物组研究亟待适合精准分析功能异质性的新技术。如能对微生物组进行精准有效的功能异质性分析,不仅可以为前面提到的肠道菌群耐药性研究提供助力,而且对其他方面的菌群-药物相互作用、菌群-宿主相互作用、粪菌移植、活菌药物开发等研究方向也都有着重要意义。
为了解决微生物组研究对新技术的上述需求,M20革命性地推出了全球首套可用于肠道微生物组的高通量单细菌转录组产品VITA GutMicrobiome。该产品由VITApilote GutMicrobiome试剂盒和芯片、VITAcruizer单细胞制备仪及VITAseer分析软件组成,配套使用,为肠道微生物组的单细菌转录组测序提供端到端的解决方案。
值得一提的是,对于VITA产品的用户而言,无需购置多重仪器,在原有的VITAcruizer仪器上即可进行微生物组单细菌转录组实验,解锁同一台仪器从真核FFPE样本到微生物组样本的高通量单细胞转录组实验,真正实现“全栈式”全样本高通量单细胞转录组。
本次发布的VITA GutMicrobiome高通量单细菌转录组产品可直接用于肠道微生物组样本,不需纯培养,因此和现有其它技术相比,特别适合用于解决以下问题:
M20用人体肠道菌群(粪便)样本对VITA GutMicrobiome产品进行了实测,结果显示出优异的性能,并可用于揭示人体肠道微生物组的功能变化。
在捕获细胞数为10000的人体肠道菌群样本中,VITA GutMicrobiome产品本次实测得到的中值UMI数为473,中值基因数为147(图3),和其它文献中培养单菌的单细菌转录组的较高水平相当[7-9]。

图3. 人体肠道微生物组样本UMI数(左)及基因数(右)小提琴图
同时,通过VITA GutMicrobiome产品测得的单细菌转录组数据,M20在样本中共鉴定得到67个不同的肠道细菌物种(图4),其中既有普雷沃氏菌属和毛螺菌属等已知肠道核心菌属的物种,也包括Neobittarella massillensis等近年来新发现的人类肠道菌种。

图4. 样本的物种组成(丰度排名第十之后的物种均标注为白色)
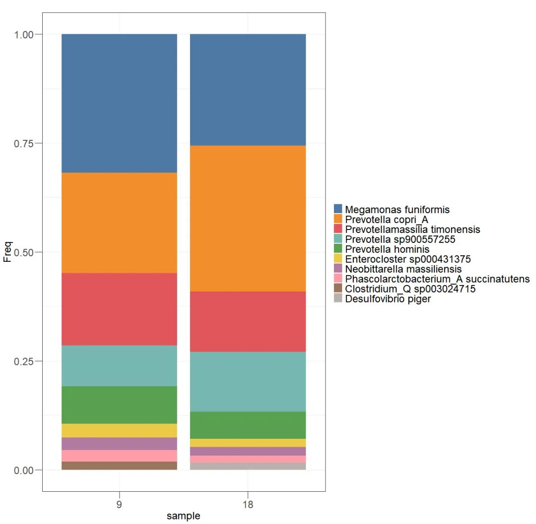
为了进一步评估VITA GutMicrobiome产品在人体肠道菌群研究中的应用,M20采集了同一位健康人一天中上午9时和下午18时的肠道菌群样本,通过VITA GutMicrobiome高通量单细菌转录组对比了两个样本中高丰度菌种的变化。
实验结果表明,和9时相比,Megamonas funiformis、Prevotellamassilia timonensis、Prevotella hominis 等物种的丰度在18时略低,而 Prevotella copri_A 和Prevotella sp900557255 在18时更高(图5)。

图5. 同一位健康人9时(左)与18时(右)肠道菌群物种组成对比(仅展示丰度>1%的物种)
为了探究肠道菌群组成背后的功能机制,M20选取丰度最高的细菌——Megamonas funiformis进行了进一步的亚群细分。
Megamonas funiformis于2008年从日本受试者肠道菌群中分离鉴定[10],后来又在其他国家人种中发现,是亚洲人肠道菌群中的常见菌种,和营养代谢密切相关[11]。UMAP显示,两个测试样本中所有的 Megamonas funiformis 共分为3个不同的亚群(图6左)。其中,亚群1在两个样本中均有较多细胞,而亚群0在9时的样本中更为富集(图6右红色箭头),亚群2仅在18时样本中出现(图6右蓝色箭头)。

图6. Megamonas funiformis亚群细分
差异基因分析结果显示,在18时样本中特有的亚群2高表达一系列与碳水化合物及蛋白质代谢和转运相关的基因(图7),说明Megamonas funiformis在不同时间点的变化可能与样本提供者的饮食节律及营养代谢有关。

图7. Megamonas funiformis 3个亚群的差异基因表达热图(为保护用户未发表数据,在此隐去具体基因名称)
此外,由于VITA GutMicrobiome能够提供单个细菌中基因表达的具体信息,因此还可以对肠道菌群里每种细菌中的噬菌体基因表达进行细致分析,挖掘噬菌体影响肠道菌群功能及人体健康的具体机制。
以上实例中用到的分析思路也可以用于分析肠道菌群中与研究目的相关的其它菌种,从而获得与特定行为(如饮食、疾病、用药等)相关的肠道菌群精细功能图谱。甚至还可以进一步深挖,获得与特定疾病发展/预后或药物疗效相关的关键肠道细菌亚群及功能通路。
M20此次发布的VITA GutMicrobiome高通量单细菌转录组产品,突破了此前高通量单细菌转录组技术无法用于微生物组样本的局限,使肠道微生物组研究从此不再仅限于功能基因组及物种鉴定,进入真正对功能及表型异质性进行深入精细挖掘的新时代。
目前,VITA GutMicrobiome产品已应用于500多例微生物组样本,极大拓展了肠道菌群研究的想象空间,将推动肠道微生物组研究在健康、临床和药物等方面产生新的突破。我们期待这一新品助力用户获得更多前沿成果!

VITA产品家族全景图
敬请期待~ VITA pilote GutMicrobiome 高通量单细菌转录组试剂盒将于近期全面上线! 详情请关注M20 Genomics公众号及授权服务商公众号,以便及时获得相关资讯。如有任何疑问,欢迎发送邮件至:info@m20genomics.com
参考文献
1. Lee KA, et al. The gut microbiome: what the oncologist ought to know. Br J Cancer. 2021; 125(9): 1197-1209.
2. de Vos WM, et al. Gut microbiome and health: mechanistic insights. Gut. 2022; 71(5): 1020-1032.
3. Liu Q, et al. Gut microbiota dynamics in a prospective cohort of patients with post-acute COVID-19 syndrome. Gut. 2022; 71(3): 544-552.
4. Andersson, D.I., Nicoloff, H. & Hjort, K. Mechanisms and clinical relevance of bacterial heteroresistance. Nat Rev Microbiol. 2019; 17, 479–496.
5. Xu Z, et al. Droplet-based high-throughput single microbe RNA sequencing by smRandom-seq. Nat Commun. 2023; 14(1): 5130.
6. Martins BM & Locke JC. Microbial individuality: how single-cell heterogeneity enables population level strategies. Curr Opin Microbiol. 2015; 24: 104-12.
7. Blattman, S.B., et al. Prokaryotic single-cell RNA sequencing by in situ combinatorial indexing. Nat Microbiol. 2020; 5(10): 1192-1201.
8. Kuchina, A., et al. Microbial single-cell RNA sequencing by split-pool barcoding. Science. 2021; 371(6531): eaba5257.
9. Ma P, et al. Bacterial droplet-based single-cell RNA-seq reveals antibiotic-associated heterogeneous cellular states. Cell. 2023; 186(4): 877-891.
10. Sakon H, et al. Sutterella parvirubra sp. nov. and Megamonas funiformis sp. nov., isolated from human faeces. Int J Syst Evol Microbiol. 2008; 58(Pt 4): 970-975.
11. Lee, G, et al. Distinct signatures of gut microbiome and metabolites associated with significant fibrosis in non-obese NAFLD. Nat Commun. 2020; 11: 4982.