本文深入探讨了前馈神经网络(FNN)的核心原理、结构、训练方法和先进变体。通过Python和PyTorch的实战演示,揭示了FNN的多样化应用。 作者TechLead,拥有10+年互联网服务架构、AI产品研发经验、团队管理经验,同济本复旦硕,复旦机器人智能实验室成员,阿里云认证的资深架构师,项目管理专业人士,上亿营收AI产品研发负责人。

前馈神经网络(Feedforward Neural Network, FNN)是神经网络中最基本和经典的一种结构,它在许多实际应用场景中有着广泛的使用。在本节中,我们将深入探讨FNN的基本概念、工作原理、应用场景以及优缺点。
前馈神经网络是一种人工神经网络,其结构由多个层次的节点组成,并按特定的方向传递信息。与之相对的是递归神经网络,其中信息可以在不同层之间双向传递。


前馈神经网络的工作过程可以分为前向传播和反向传播两个阶段。
前馈神经网络在许多领域都有着广泛的应用,包括图像识别、语音处理、金融预测等。
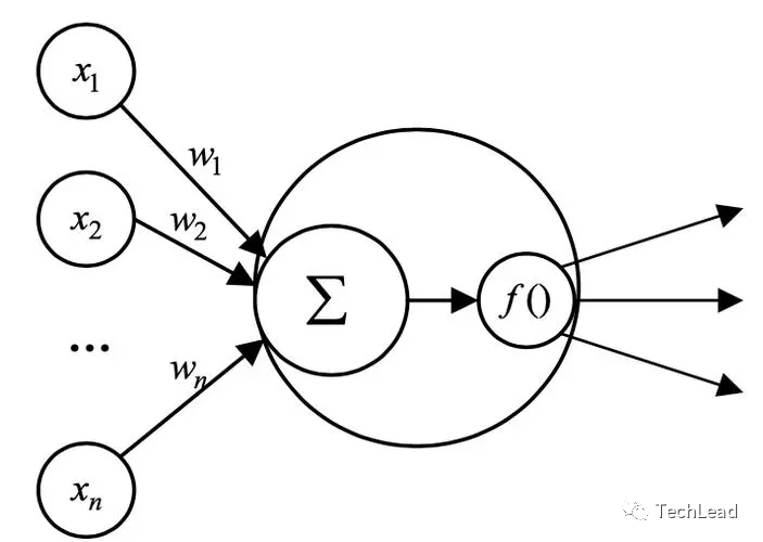
前馈神经网络(FNN)的基本结构包括输入层、隐藏层和输出层,以及相应的激活函数、权重和偏置。这些组成部分共同构成了网络的全貌,并定义了网络如何从输入数据中提取特征并进行预测。本节将详细介绍这些核心组成部分。

前馈神经网络由三个主要部分组成:输入层、隐藏层和输出层。
激活函数是神经网络中非常重要的组成部分,它向网络引入非线性特性,使网络能够学习复杂的函数。


权重和偏置是神经网络的可学习参数,它们在训练过程中不断调整,以最小化预测错误。

前馈神经网络(FNN)的训练是一个复杂且微妙的过程,涉及多个关键组件和技术选择。从损失函数的选择到优化算法,再到反向传播和过拟合的处理,本节将深入探讨FNN的训练方法。
损失函数和优化算法是神经网络训练的基石,决定了网络如何学习和调整其权重。
反向传播是一种高效计算损失函数梯度的算法,它是神经网络训练的核心。
过拟合是训练神经网络时常遇到的问题,有多种策略可以减轻或避免过拟合。
在理解了前馈神经网络的理论基础之后,我们将转向实际的编程实现。在本节中,我们将使用Python和深度学习框架PyTorch实现一个完整的前馈神经网络,并逐步完成数据准备、模型构建、训练和评估等关键步骤。
准备数据集是构建神经网络模型的第一步。我们需要确保数据的质量和格式适合神经网络训练。
选择与任务匹配的数据集是成功训练模型的关键。例如,对于图像分类任务,MNIST和CIFAR-10等都是流行的选择。
预处理是准备数据集中的重要步骤,包括以下几个方面:
PyTorch提供了DataLoader类,可用于批量加载和混洗数据,使训练过程更加高效。
from torch.utils.data import DataLoader
train_loader = DataLoader(train_dataset, batch_size=32, shuffle=True)
在准备了适当的数据集之后,我们将转向使用Python和PyTorch构建前馈神经网络(FNN)的模型结构。构建模型结构包括定义网络的架构、选择激活函数和初始化权重等关键步骤。
我们可以使用PyTorch的nn.Module类来定义自定义的网络结构。以下是一个具有单个隐藏层的FNN示例。
import torch.nn as nn
class SimpleFNN(nn.Module):
def __init__(self, input_dim, hidden_dim, output_dim):
super(SimpleFNN, self).__init__()
self.hidden_layer = nn.Linear(input_dim, hidden_dim)
self.output_layer = nn.Linear(hidden_dim, output_dim)
self.activation = nn.ReLU()
def forward(self, x):
x = self.activation(self.hidden_layer(x))
x = self.output_layer(x)
return x
激活函数的选择取决于特定的任务和层类型。在隐藏层中,ReLU通常是一个良好的选择。对于分类任务的输出层,Softmax可能更合适。
合适的权重初始化可以大大加快训练的收敛速度。PyTorch提供了多种预定义的初始化方法,例如Xavier和He初始化。
def init_weights(m):
if type(m) == nn.Linear:
nn.init.xavier_uniform_(m.weight)
m.bias.data.fill_(0.01)
model = SimpleFNN(784, 256, 10)
model.apply(init_weights)
损失函数的选择应与特定任务匹配。例如,对于分类任务,交叉熵损失是一个常见的选择。
loss_criterion = nn.CrossEntropyLoss()
一旦构建了前馈神经网络(FNN)的模型结构,下一步就是训练模型。训练过程涉及多个关键步骤和技术选择,如下所述:
优化器用于更新模型的权重以最小化损失函数。PyTorch提供了多种优化器,例如SGD、Adam和RMSProp。
import torch.optim as optim
optimizer = optim.Adam(model.parameters(), lr=0.001)
训练循环是整个训练过程的核心,其中包括前向传递、损失计算、反向传播和权重更新。
for epoch in range(epochs):
for data, target in train_loader:
optimizer.zero_grad()
output = model(data)
loss = loss_criterion(output, target)
loss.backward()
optimizer.step()
在训练过程中定期在验证集上评估模型可以提供有关模型泛化能力的信息。
学习率是训练过程中的关键超参数。使用学习率调度程序可以根据训练进展动态调整学习率。
scheduler = optim.lr_scheduler.StepLR(optimizer, step_size=10, gamma=0.7)
保存模型权重并能够重新加载它们是进行长期训练和模型部署的关键。
# 保存模型
torch.save(model.state_dict(), 'model.pth')
# 加载模型
model.load_state_dict(torch.load('model.pth'))
使用例如TensorBoard的工具可视化训练过程,有助于理解模型的学习动态和调试问题。
完成模型的训练之后,接下来的关键步骤是对其进行评估和可视化。这可以帮助我们理解模型的性能,并发现可能的改进方向。
评估模型性能时,需要选择与任务和业务目标相符的评估指标。例如,分类任务常用的指标有准确率、精确率、召回率和F1分数。
from sklearn.metrics import accuracy_score
# 计算准确率
accuracy = accuracy_score(targets, predictions)
在测试集上验证模型可以提供对模型在未见过的数据上性能的公正评估。
混淆矩阵是一种可视化工具,可以揭示模型在不同类别之间的性能。
from sklearn.metrics import confusion_matrix
import seaborn as sns
cm = confusion_matrix(targets, predictions)
sns.heatmap(cm, annot=True)
对于二元分类任务,接收者操作特性(ROC)曲线和曲线下面积(AUC)是流行的评估工具。
了解模型如何做出预测以及哪些特征对预测最有影响是可解释性分析的关键部分。
通过可视化隐藏层的激活,我们可以深入了解网络是如何学习和表示输入数据的。
前馈神经网络(FNN)的基本结构已经非常成熟,但随着研究的不断深入和技术的不断进展,已经涌现出许多先进的变体和新颖的应用场景。本节将介绍一些值得关注的方向。
MLP是最简单和常用的前馈神经网络类型,由全连接层组成。它在众多领域都有广泛应用,包括分类、回归和聚类。
虽然CNN主要用于处理图像数据,但其基本原理和FNN有很多相似之处。通过引入卷积层,CNN能够有效捕获空间特征。
与FNN不同,RNN能够处理序列数据。这使得RNN在自然语言处理、时间序列分析等方面有非常广泛的应用。
Transformer结构是当前自然语言处理中的前沿技术。虽然其结构与FNN有所不同,但某些设计思想和技术细节与FNN有共通之处。
FNN在强化学习中作为值函数或策略函数的近似器也有广泛应用。深度Q网络(DQN)就是一个典型例子。
在GAN中,生成器和判别器通常采用FNN结构。GAN已经在图像生成、风格迁移等领域取得了令人瞩目的成就。
FNN已经被成功用于解读医学图像,例如X光、MRI和CT扫描等,提供辅助诊断。
前馈神经网络(FNN)作为深度学习的基础,其影响深远且广泛。在本篇文章中,我们深入探讨了FNN的基本原理、结构设计、训练方法,还展示了使用Python和PyTorch构建和训练FNN的具体步骤。此外,我们还探讨了FNN的先进变体和广泛应用。下面是总结和未来展望。
前馈神经网络作为深度学习领域的一块基石,其重要性不言而喻。随着技术的不断进步,我们可以期待FNN在未来将发挥更大的作用,推动人工智能领域的不断发展。无论是学术研究者还是工业界工程师,对FNN的深入理解和掌握都是探索这一令人兴奋领域的关键