如何用特劳在R中实现的校正组预测方法绘制连续协变量(假设数值的第20和第80百分位数)的预测生存曲线?
例如,
library(survival)
library(survminer)
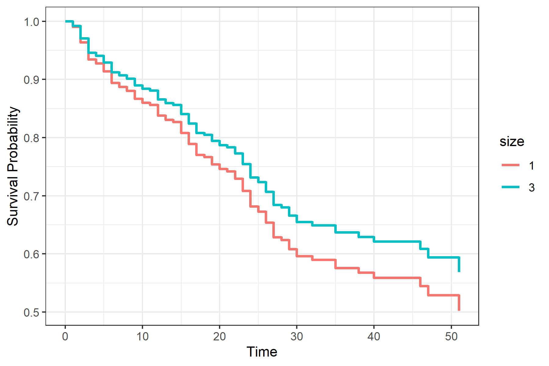
fit <- coxph( Surv(stop, event) ~ size + strata(rx), data = bladder )
ggadjustedcurves(fit, data=bladder, method = "conditional", strata=rx)现在,这是有用的,因为我得到了两条生存曲线,它们是由rx (0或1)分层的,条件方法是对膀胱数据集的作用。然而,假设我想使用边际方法,而不是分层,而是在第20和第80值处绘制我的连续协变量,但同时也重新平衡了子种群。希望朝正确的方向迈出任何一步。
对于再状态,我有一个具有连续预测因子的Cox模型。我想要建立一个考克斯模型,但不分层的rx,但这在模型中。然后,当给定引用数据集时,我希望将创建的Cox对象传递到具有使用“子种群再平衡”的gg佐剂曲线()函数中。然后,我不想在一个范畴变量上显示两条生存曲线,而是在第20和第80百分位数绘制两条有代表性的生存曲线。
编辑
我第一次尝试
fit2 <- coxph( Surv(stop, event) ~ size + rx, data = bladder ) #remove strata
fit2
# CGP
pred<- data.frame("rx" = 1, "size" = 3.2)
ggadjustedcurves(fit2, data = pred , method = "conditional", reference = bladder)这就是我想的那样吗?条件再平衡已应用于参考数据集,然后为具有rx=1且大小为3.2的个体生成预测曲线。
发布于 2022-08-13 08:07:45
很难理解你真正想要的是什么,但我想我有一个粗略的想法。我认为你想要画出生存曲线,如果你的样本中的每个人都得到了连续协变量的一个特定值,就会被观察到。如果没有混淆,您可以简单地使用只包含连续协变量的Cox模型,并对时间范围内的点使用predict()函数,并绘制结果。如果您需要对混淆进行调整,则可以在Cox模型中包含混淆器,并使用g-计算来获得所需的概率。我在最近的预印版中描述了这一点:https://arxiv.org/pdf/2208.04644.pdf
这可以在R中使用contsurvplot包(也是我开发的)来完成。首先,使用以下方法安装该软件包:
devtools::install_github("RobinDenz1/contsurvplot")之后,拟合Cox模型,但在x=TRUE调用中使用coxph:
library(survival)
library(contsurvplot)
library(riskRegression)
library(ggplot2)
fit2 <- coxph(Surv(stop, event) ~ size + rx, data=bladder, x=TRUE)现在,您可以调用plot_surv_lines函数来获得特定size值的因果生存曲线,给定模型。使用horizon参数,您可以知道要绘制生存曲线的值的函数。我选择size的20%和80%的分位数,正如您所描述的:
plot_surv_lines(time="stop",
status="event",
variable="size",
data=bladder,
model=fit2,
horizon=quantile(bladder$size, probs=c(0.2, 0.8)))

该软件包包含了更多的绘图例程,以可视化连续变量对事件间结果的因果关系,这可能更适合您实际需要的结果。
https://stackoverflow.com/questions/57759759
复制相似问题