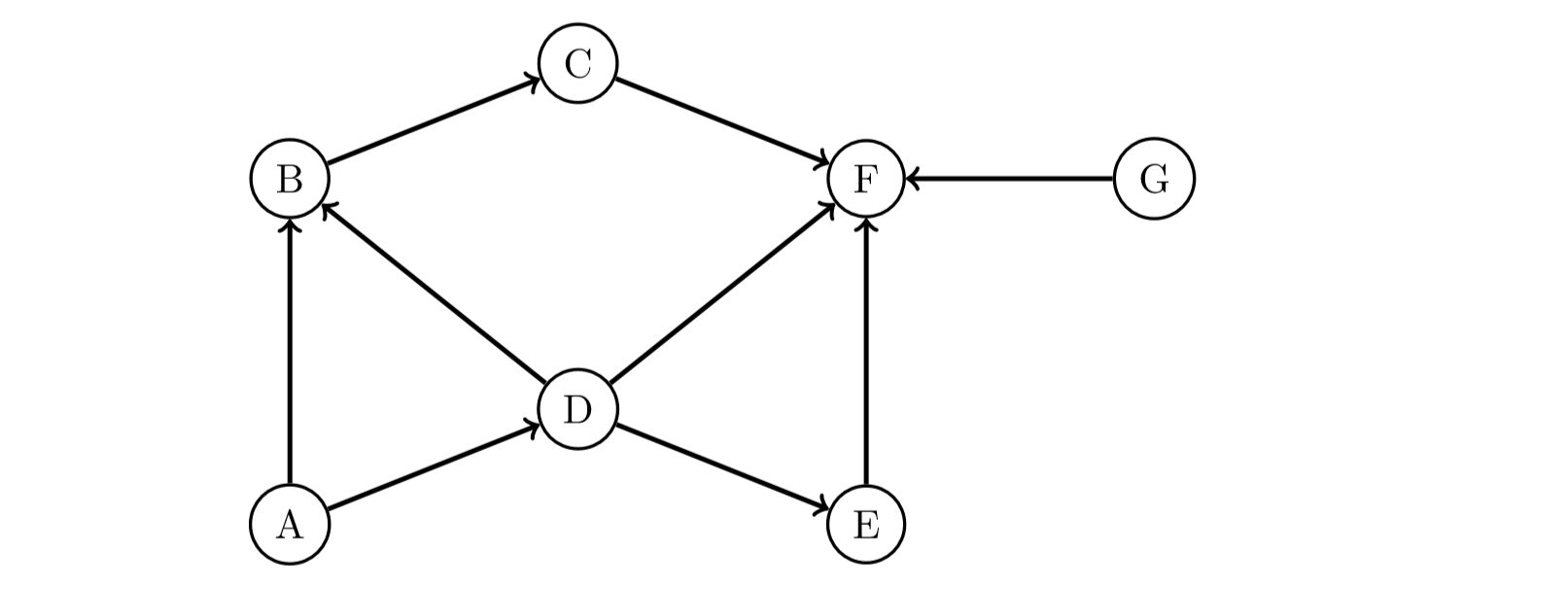
我正在寻找java中图后顺序遍历的迭代版本。我已经编写了代码来执行迭代的DFS。我如何修改代码,以便下面的代码能够打印出迭代后顺序DFS遍历的路径?例如,下图的输出应该是FCBEDA(G)。

public void DFS(int sourceVertex) {
Stack<Integer> stack = new Stack<>();
stack.push(sourceVertex);
while (!stack.isEmpty()) {
int v = stack.pop();
if (!marked[v]) {
marked[v] = true;
for (int w : v.adj) {
stack.push(w);
}
}
}
}发布于 2019-07-19 07:09:58
您的图是有向图,您不能从F转到任何其他节点,DFS从F只返回F节点。通常,当您使用不同的起始节点(以及图形是否有向)时,输出是不同的。
迭代DFS算法可以写成:
static List<Node> DFS(Node n) {
Stack<Node> current = new Stack<>();
Set<Node> visited = new HashSet<>(); // efficient lookup
List<Node> result = new ArrayList<>(); // ordered
current.push(n);
while(!current.isEmpty()) {
Node c = current.pop();
if(!visited.contains(c)) {
result.add(c);
visited.add(c);
// push in reversed order
IntStream.range(0, c.getChildren().size())
.forEach(i -> current.push(c.getChildren().get(c.getChildren().size() - i - 1)));
}
}
return result;
}您可以避免visited Set,但是可以使用result来检查节点是否被访问,当Set采取O(1) (摊销)时,采取O(n)时间。
一个完整的例子:
public static void main(String[] args) {
Node A = new Node("A");
Node B = new Node("B");
Node C = new Node("C");
Node D = new Node("D");
Node E = new Node("E");
Node F = new Node("F");
Node G = new Node("G");
A.getChildren().addAll(asList(B, D));
B.getChildren().addAll(asList(C));
C.getChildren().addAll(asList(F));
D.getChildren().addAll(asList(B, F, E));
E.getChildren().addAll(asList(F));
//F.getChildren().addAll(asList());
G.getChildren().addAll(asList(F));
testDFS(F);
testDFS(G);
testDFS(A);
}
static class Node {
private final String label;
private final List<Node> children;
Node(String label) {
this.label = label;
this.children = new ArrayList<>();
}
public String getLabel() {
return label;
}
public List<Node> getChildren() {
return children;
}
@Override
public int hashCode() {
return getLabel().hashCode();
}
@Override
public boolean equals(Object obj) {
if (!(obj instanceof Node))
return false;
return getLabel().equals(((Node) obj).getLabel());
}
}产出:
From 'F': F
From 'G': G, F
From 'A': A, B, C, F, D, E如果您希望postorder (首先显示上次访问的节点),反转结果列表(或添加到head等)。
若要反转children顺序,请在插入之前不要反转:
static List<Node> DFSreversedPostOrder(Node n) {
Stack<Node> current = new Stack<>();
Set<Node> visited = new HashSet<>(); // efficient lookup
List<Node> result = new ArrayList<>(); // ordered
current.push(n);
while(!current.isEmpty()) {
Node c = current.pop();
if(!visited.contains(c)) {
result.add(0, c);
visited.add(c);
c.getChildren().forEach(current::push);
}
}
return result;
}现在,你得到了CBFEDA
From 'F': F
From 'G': F, G
From 'A': C, B, F, E, D, A注意:您的示例是错误的,因为在E节点之后,您必须访问F而不是B。
发布于 2020-04-23 20:24:38
您应该尽可能深入的方法,然后将其放在postorder列表中:
public LinkedList<Integer> postorder(Digraph digraph, int source) {
Stack<Integer> stack = new Stack<>();
LinkedList<Integer> postorder = new LinkedList<>();
visited[source] = true; // visited = new boolean[V], # of vertices
stack.push(source);
while (!stack.isEmpty()) {
int cur = stack.peek(); // don't pop(), just peek(), we will pop() it
boolean tail = true; // only if this vertex is tail
for (Integer v : digraph.adj(cur)) {
if (visited[v] == false) {
tail = false; // found one vertex that can be approached next
visited[v] = true; // then vertex cur is not tail yet
stack.push(v);
break; // one neighbor is found and that is enough,
// let's examine it in next peek(), others
} // will be found later
}
if (tail) { // we didn't enter for-loop above, then cur is
stack.pop(); // tail, we pop() it and add to postorder list
postorder.addLast(cur);
}
}
return postorder;
}代码中的注释应该解释方法。
https://stackoverflow.com/questions/57106766
复制相似问题