我试着复制一些公式

在哪里;
我拥有的数据如下:
# A tibble: 150 x 3
AGE decile_INCOME mean
<dbl> <int> <dbl>
1 81 9 347816.
2 86 2 22700.
3 60 3 39750.
4 91 9 3459166.
5 24 9 54927.
6 64 4 43966.
7 65 3 23289.
8 37 10 360649.
9 69 4 67781.
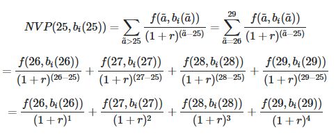
10 38 2 31198.因此,对于每个年龄和decile_Income,我想要计算的净现值,类似于下面(对于一个小样本的数据和年龄= 25)。

a_bar是索引,所以使用上面的例子,a= 25,然后a_bar > a,因此a_bar∈{26,27,28,29.}
我的尝试:(我一直试图为“a_bar”创建一组序列)
rate = 0.05
npvs <- df %>%
mutate(a_tilde = 34567890, # stuck here
discount = 1 / (1 + rate) ^ (a_tilde - AGE),
NPVs = mean * discount)编辑:完整数据:
因为carácter的限制而不得不删除数据。
编辑:
观察以下意见:
在代码中,我们是group_by decile_INCOME & AGE_REF,但是我们应该group_by decile_INCOME & AGE吗?
AGE decile_INCOME mean_AGEbin_decileInc households_per_AGE_decile REF_AGE disc_rate disc_mean
1 20 1 4092.739 12 18 0.9070295 3712.235
2 20 1 4092.739 12 19 0.9523810 3897.847
3 20 1 4092.739 12 20 1.0000000 4092.739
4 20 2 5392.289 12 18 0.9070295 4890.965
5 20 2 5392.289 12 19 0.9523810 5135.513
6 20 2 5392.289 12 20 1.0000000 5392.289
7 20 3 6826.857 12 18 0.9070295 6192.161
8 20 3 6826.857 12 19 0.9523810 6501.769
9 20 3 6826.857 12 20 1.0000000 6826.857
10 20 4 9029.341 12 18 0.9070295 8189.879
11 20 4 9029.341 12 19 0.9523810 8599.373
12 20 4 9029.341 12 20 1.0000000 9029.341
13 20 5 13333.046 12 18 0.9070295 12093.466
14 20 5 13333.046 12 19 0.9523810 12698.139
15 20 5 13333.046 12 20 1.0000000 13333.046
16 20 6 19746.410 12 18 0.9070295 17910.576
17 20 6 19746.410 12 19 0.9523810 18806.105
18 20 6 19746.410 12 20 1.0000000 19746.410
19 20 7 26497.320 12 18 0.9070295 24033.850
20 20 7 26497.320 12 19 0.9523810 25235.542
21 20 7 26497.320 12 20 1.0000000 26497.320
22 20 8 32910.684 12 18 0.9070295 29850.960
23 20 8 32910.684 12 19 0.9523810 31343.508
24 20 8 32910.684 12 20 1.0000000 32910.684
25 20 9 39661.593 12 18 0.9070295 35974.234
26 20 9 39661.593 12 19 0.9523810 37772.946
27 20 9 39661.593 12 20 1.0000000 39661.593
28 20 10 60083.094 12 18 0.9070295 54497.137
29 20 10 60083.094 12 19 0.9523810 57221.994
30 20 10 60083.094 12 20 1.0000000 60083.094当我这样做的时候,我得到了一个情节,看起来是:

看上去不像你的…那么光滑。
发布于 2019-07-03 17:27:59
这是18岁的npv:
library(dplyr)
rate = 0.05
df %>%
arrange(decile_INCOME, AGE) %>%
group_by(decile_INCOME) %>%
mutate(disc_rate = 1 / (1+rate) ^ (AGE - min(AGE)),
disc_mean = mean * disc_rate) %>%
# try View() at this stage to review how the discount is applied
summarize(npv = sum(disc_mean))
# A tibble: 10 x 2
decile_INCOME npv
<int> <dbl>
1 1 196051.
2 2 381107.
3 3 539085.
4 4 717242.
5 5 925751.
6 6 1185537.
7 7 1582346.
8 8 2796287.
9 9 6955914.
10 10 51016943.若要将折扣退回到25岁,请过滤掉较早的年龄,并执行相同的操作:
df %>%
filter(AGE >= 25) %>%
arrange(decile_INCOME, AGE) %>%
group_by(decile_INCOME) %>%
mutate(disc_rate = 1 / (1+rate) ^ (AGE - min(AGE)),
disc_mean = mean * disc_rate) %>%
summarize(npv = sum(disc_mean))
# A tibble: 10 x 2
decile_INCOME npv
<int> <dbl>
1 1 226399.
2 2 465403.
3 3 670195.
4 4 897065.
5 5 1165181.
6 6 1504068.
7 7 2023148.
8 8 3694092.
9 9 9479113.
10 10 71109533.或者,为了获得所有年龄的npvs,我们可以为每个可能的参考年龄复制每一行,根据参考年龄计算折扣,然后根据十分之一和参考年龄进行汇总:
df %>%
uncount(max(AGE), .id = "REF_AGE") %>%
arrange(REF_AGE, decile_INCOME, AGE) %>%
mutate(disc_rate = 1 / (1+rate) ^ (AGE - REF_AGE),
disc_mean = mean * disc_rate) %>%
group_by(decile_INCOME, REF_AGE) %>%
summarize(npv = sum(disc_mean))以图表形式显示:
[chain above...] %>%
ggplot(aes(REF_AGE, npv, color = decile_INCOME, group = decile_INCOME)) +
geom_line() +
scale_y_log10()

发布于 2019-07-03 16:46:13
为了理解,在您的数据中,您有多个相同年龄的观测:
AGE decile_INCOME mean
17 19 2 4033.668
73 19 10 76454.049
101 19 3 5019.783
123 21 5 15358.319
34 22 2 9486.804
35 22 8 35868.648
98 22 3 13057.680在给定的年龄公式中输入的f值是多少:这些值的平均值?例如,f(22,b_i(22))是什么?你能创建一个虚拟变量D,对所有年龄小于a的变量是0,然后通过D*平均值而不是平均值吗?那么你就不必对不等式约束之和.
https://stackoverflow.com/questions/56873420
复制相似问题