我试图绘制这个共有36 *列7行的数据框架:注意:
stim_ending_t= 1,1.5,2,2.5,3,3.5有6个因素
三个是三个重复的条件:
visbility =1 soundvolume=0 (visbility)
visbility =0 soundvolume=1 (soundvolume)
visbility = 0 soundvolume=0 (this sould be called blank or empty)日期帧名称: master_all_r.csv
stim_ending_t visbility soundvolume Opening_text m sd coefVar
<dbl> <dbl> <dbl> <chr> <dbl> <dbl> <dbl>
1 1 0 0 Now focus on the Image 1.70 1.14 0.670
2 1 0 0 Now focus on the Sound 1.57 0.794 0.504
3 1 0 1 Now focus on the Image 1.62 1.25 0.772
4 1 0 1 Now focus on the Sound 1.84 1.17 0.637
5 1 1 0 Now focus on the Image 3.19 17.2 5.38
6 1 1 0 Now focus on the Sound 1.59 0.706 0.444 情节应该是什么样子: x= Stim_ending_t,y=m
我需要同一地块中的三行满足上述条件的行,同时通过= Opening_text将其分成两组。如果可能的话,它可以在一个图中,但如果不是,这两个组(现在集中在图像和现在集中在声音)可以分割成两个独立的图。
我试过这样的代码:
ggplot(test_master, aes(x=stim_ending_t, y=m, group=Opening_text, visbility, soundvolume)) +
geom_line(aes(linetype=Opening_text, visbility, soundvolume))+
geom_point()但是得到了这个Warning message: Duplicated aesthetics after name standardisation:,这是我得到这里的结果
理想情况下,地块应该是这样的,但是有三行这里。我发现了这些地块这里
如果您想下载excel文件,您可以找到名为master_all_r.csv的这里文件。
发布于 2019-07-02 21:12:37
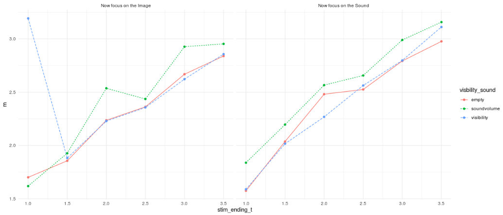
我相信你是在寻找这样的东西:

library(tidyvere)
library(readr)
test_master <- read_csv("https://raw.githubusercontent.com/MohJumper/VisualAuditoryModality/master/master_all_r.csv")
test_master %>%
mutate(visbility_sound = case_when(
visbility == 1 & soundvolume == 0 ~ "visibility",
visbility == 0 & soundvolume == 1 ~ "soundvolume",
visbility == 0 & soundvolume == 0 ~ "empty")) %>%
mutate_at(vars(visbility_sound), factor) %>%
ggplot(aes(x = stim_ending_t, y = m, color = visbility_sound)) +
geom_line(aes(linetype = visbility_sound)) +
geom_point() +
facet_wrap(~Opening_text) +
theme_minimal()下面是正在发生的事情:
geom_line也使用此列作为行类型facet_wrap分割成两个图(也可以使用facet_grid!)https://stackoverflow.com/questions/56859880
复制相似问题