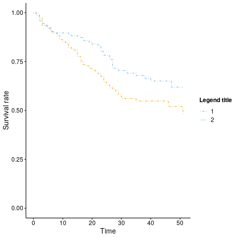
我试图画出一条调整后的生存曲线,但很难按组改变线条类型。我能够使用典型的ggplot2语言定制绘图的其他方面,但我遇到了更改行类型的问题。
示例:
library(survival)
library(survminer)
fit2 <- coxph( Surv(stop, event) ~ size + strata(rx), data = bladder )
ggadjustedcurves(fit2,
variable = "rx",
data = bladder,
method = "average",
palette = c("#E69F00", "#56B4E9"),
size = 1.3,
legend = "right",
legend.title = expression(bold("Legend title")),
xlab = "Time",
font.legend = 12) +
theme(legend.text.align = 0.5)我试过加入:
geom_line( aes( linetype = c(1, 2) )
add.params = list(linetype = c(1, 2))然后就
linetype = c(1, 2)但似乎什么都起不到作用。
发布于 2019-06-16 19:44:37
首先,您需要查看代码。
ggadjustedcurves看来,ggadjustedcurves将其所有参数传递给依赖于“方法”参数的助手函数,在本例中为“平均”,因此现在来看(隐藏)函数:
getAnywhere( ggadjustedcurves.average )请注意,除了在“主函数”中定义的少数参数之外,没有接受附加参数的规定,即不使用R的省略机制或其他可能的aes-参数的规格--除了大小。(它也不使用geom_line。)因此,您需要同时更改主函数和助手函数,以接受"linetype“参数。在这里,我将展示如何修改助手函数(尽管这也需要对ggadjustedcurves函数进行修改,如果您想让它变得完全通用的话,可能还需要修改其馀的辅助函数):
assignInNamespace('ggadjustedcurves.average',
function (data, fit, variable, size = 1, ..., linetype=linetype)
{
time <- surv <- NULL
lev <- sort(unique(data[, variable]))
pred <- survexp(as.formula(paste("~", variable)), data = data,
ratetable = fit)
curve <- data.frame(time = rep(c(0, pred$time), length(lev)),
variable = factor(rep(lev, each = 1 + length(pred$time))),
surv = c(rbind(1, pred$surv)))
ggplot(curve, aes(x = time, y = surv, color = variable)) +
geom_step(size = size, ..., linetype=linetype) # not geom_line
},
pos="package:survminer")

如果对"geom_segment线型“进行如此搜索,您会发现geom_segment (这是geon_step所使用的)的构造方式使得很容易给出短向量来修改步骤函数的”连续“长度。见ggplot error using linetype and group aesthetics。这意味着,如果需要不同的线条类型,则需要使用for-loop或lapply来构建单独的“步进曲线”。
https://stackoverflow.com/questions/56582928
复制相似问题