我有一个类似于samples_type的数据框架
Status variable value
PAT SPP1 1,994629e+00
PAT SPP1 1,179033e+00
PAT SPP1 2,901539e+00
PAT SPP1 1,140857e+00
PAT SPP1 1,467056e+00
PAT SPP1 2,579037e+00"Status“列可以采用两个值: PAT或CON。“变量”列可以接受许多值: SPP1、CCL24、ENG56 .
我想为Status:variable的每一个组合制作值的盒形图。
目前我有两个密码:
boxplot(value ~ Status:variable, data=samples_type,
col=c("red", "limegreen"), las=2, outline=F)以及:
p0 <- ggplot(data = samples_J0_type, aes(x=variable, y=value)) +
geom_boxplot(aes(fill=Status)) +
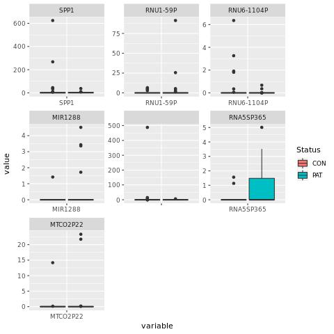
facet_wrap( ~ variable, scales="free")第一个代码给出了一个图中所有的盒子图,没有异常值。我想将它们分开,因为par(mfrow=c(.,.)将这样做。,我该怎么做?
对于第二段代码,我使用了ggplot2。我成功地分离了的盒图,但正如您所看到的,没有删除异常值,而且由于异常值的存在,我的盒图太小了。如何删除异常值?--我查过StackOverFlow --如何用ggplot2删除异常值--我只找到了一个盒子图的答案,但没有找到多个盒子图的答案。我不知道该怎么做.
编辑:每个代码的盒形图


发布于 2019-04-09 09:09:19
General
帮助有点困难,因为您没有提供最小的数据集,所以我必须回到现有的数据。
mt <- mtcars %>% select(cyl, mpg, am)
## add some outliers
mt <- rbind(mt, data.frame(cyl = c(4, 6, 8), mpg = rep(100, 3), am = 0))碱基R
您可以根据变量之一拆分数据,相应地设置mfrow并使用apply函数分别生成每个图:
## split your data according to one variable
dl <- split(mt, mt$am)
## set the mfrow
par(mfrow = 1:2)
## something more educated would be something like this
## needs to be adapted for border cases
## par(mfrow = c(ceiling(sqrt(length(dl))), ceiling(sqrt(length(dl)))))
## loop through all data sets
lapply(dl, function(d) boxplot(mpg ~ cyl, data = d, outline = FALSE))

然而,boxplot(. outliers = TRUE)并没有真正移除你的离群点,而是扩展你的胡须。
ggplot
对于你的第二个问题,你可以先通过
geom_boxplot(aes(fill = Status), outlier.shape = NA)然后根据你的数据通过ylim调整y-范围.
请注意。从技术上讲,您不需要使用outlier.shape = NA,因为如果您使用超出范围的ylim点将被删除,但是它会使代码更加冗长,以显示您想要做的事情。
具有内置数据集的示例
library(tidyverse)
## plot w/ outliers shown
ggplot(mt, aes(x = factor(cyl), y = mpg)) +
geom_boxplot() +
facet_wrap(~am)
## plot with outliers removed
ggplot(mt, aes(x = factor(cyl), y = mpg)) +
geom_boxplot(outlier.shape = NA) +
facet_wrap(~am) +
ylim(c(0, 50))警告
在您的更新中,您添加了情节,我看到您有免费的扩展,这将使这种方法毫无用处,因为您不能在每个面板的基础上指定ylim。
发布于 2019-04-09 14:05:56
感谢@thothal,我发布了最终代码:
dl = split(samples_type, samples_type$variable)
par(mfrow = c(ceiling(sqrt(length(dl))),ceiling(sqrt(length(dl)))))
iwalk(dl, ~ boxplot(value ~ Status , data = .x,
outline = FALSE,col=c("red", "limegreen"), main=.y))"iwalk“来自包裹"purrr”。
要记住,数据帧samples_type的负责人
Status variable value
PAT SPP1 1,994629e+00
PAT SPP1 1,179033e+00
PAT SPP1 2,901539e+00
PAT SPP1 1,140857e+00
PAT SPP1 1,467056e+00
PAT SPP1 2,579037e+00"Status“列可以采用两个值: PAT或CON。“变量”列可以接受许多值: SPP1、CCL24、ENG56 .
https://stackoverflow.com/questions/55588869
复制相似问题