我很难理解最后的输出
for i in edgeList:
adjacencyList[i[0]].append(i[0])在下面的代码中。我试着在每一行打印语句,试图理解,但仍然感到困惑。
vertexList = ["0","1","2","3","4","5","6"]
edgeList = [(0,1), (0,2),(1,0), (1,3), (2,0), (2,4), (2,5), (3,1), (4,2), (4,6), (5,2), (6,4)]
adjacencyList = [[] for vertex in vertexList]
for i in edgeList:
adjacencyList[i[0]].append(i[1])
print(adjacencyList)
Output: [[1, 2], [0, 3], [0, 4, 5], [1], [2, 6], [2], [4]]这是否被认为是因为列表理解而出现在for循环中的for循环?如果有人能说出这里发生了什么,我很感激。(这与图论中的BFS有关)
发布于 2019-03-24 10:39:59
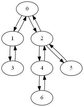
图形问题可视化的一个好工具是graphviz,它附带了一个dot命令。首先创建包含来自您的edgelist.dot变量的所有边缘的edgeList:
digraph G {
0 -> 1
0 -> 2
1 -> 0
1 -> 3
2 -> 0
2 -> 4
2 -> 5
3 -> 1
4 -> 2
4 -> 6
5 -> 2
6 -> 4
}(有一些较短的方法可供您查阅)。然后通过dot提供
c:\srv\tmp> dot -Tsvg -o edgelist.svg edgelist.dot然后打开创建的edgelist.svg文件:

邻接列表是可以从特定节点到达的节点列表,例如对于节点0,有指向节点1和2的箭头,因此adjacencyList[0],即节点0的邻接列表应该是[1, 2]。
类似地,节点2的输出箭头到达节点0、4和5,因此adjacencyList[2]应该是[0, 4, 5]。
按顺序手动遍历每个节点,邻接列表以以下方式结束:
[[1, 2], [0, 3], [0, 4, 5], [1], [2, 6], [2], [4]]
^ ^ ^ ^ ^ ^ ^
item/index: 0 1 2 3 4 5 6在您的代码中,这一行:
adjacencyList = [[] for vertex in vertexList]只需将adjacencyList创建为长度等于顶点数的空列表([])。
然后这个for循环:
for i in edgeList:
adjacencyList[i[0]].append(i[0])试图把它填入。为了了解出了什么问题,我们可以重写for-循环,这样它就可以解压edgeList中的边。
for (start, end) in edgeList:
adjacencyList[start].append(..?..)显然,..?..应该是end,而不是start:
for start, end in edgeList:
adjacencyList[start].append(end)现在,您可以看到for -循环正在执行我们在上面手动执行的操作,对于每个边缘(start, end),它将end添加到start的邻接列表中。
增编:在顶点(0、1等)的情况下,您的代码运行良好。具有与数组中的索引相同的值。虽然它是有效的,但在教学上可能并不可取(或者,我不知道;-)在任何情况下,如果我们将顶点重命名为"A",1变为"B"等,则需要对邻接列表使用不同的数据结构,例如:
from collections import defaultdict
edgeList = [("A", "B"),
("A", "C"),
("B","A"), ("B","D"),
("C","A"), ("C","E"), ("C","F"),
("D","B"),
("E","C"), ("E","G"),
("F","C"),
("G","E")]
adjacencyList = defaultdict(list)
for start, end in edgeList:
adjacencyList[start].append(end)
print(sorted(adjacencyList.items()))其中的指纹:
[('A', ['B', 'C']), ('B', ['A', 'D']), ('C', ['A', 'E', 'F']), ('D', ['B']), ('E', ['C', 'G']), ('F', ['C']), ('G', ['E'])]表示'A'的邻接列表是['B', 'C']等。
将此版本转换为第一个版本(尤其是在比Python更静态的语言中)是可能的(也可能有益于运行时间)。
发布于 2019-03-24 10:25:04
您的adjacencyList结构是错误的。
将adjacencyList[i[0]].append(i[0])替换为adjacencyList[i[0]].append(i[1])。我在另一个里面没有看到任何的循环。您的时间复杂性是O(n)。
adjacencyList的目的是存储给定节点的所有相邻节点,在您的情况下,它是列表的索引。
更改之后,您的输出应该是
[1,2,0,3,0,4,5,1,2,6,2,4]
由此,您可以将0有1和2解释为邻居。2有0和3个邻居,3有0,4和5作为邻居等等。
请注意,如果有{2、60、1000、4}等节点,则此方法将失败。在这种情况下,最好使用节点字典和邻居列表。
https://stackoverflow.com/questions/55322723
复制相似问题