我有带有标签的LaTeX方程的简单预订文档:
---
title: "Equation text"
output:
bookdown::pdf_document2: default
bookdown::word_document2: default
---
Below is the binom equation
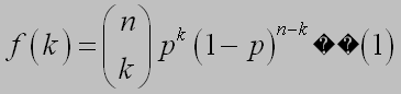
\begin{equation}
f\left(k\right)=\binom{n}{k}p^k\left(1-p\right)^{n-k} (\#eq:binom)
\end{equation}使用RStudio,它通常会编写成PDF:

它还与docx文档结合在一起,我在里面有OMML方程:

但出于某种原因,我需要这个方程的MathType形式。
因此,我执行它从OMML (Word 2007和late (OMML)方程)到MathType (OLE对象)的转换:

本程序以Word中的等式结尾:

问号具有以下十六进制等效值:E2 80 81 E2 80 81。
我怎么才能去掉这些钻石状的问号?或者我怎样才能避免他们的出现?
理想情况下,我需要在方程的右边有方程号。
发布于 2019-03-04 09:11:41
这个问题通过手动安装MathType发行版到C:/Windows/字体的所有所需字体来解决。
钻石不见了:

注:如果有人感兴趣的话,钻石的乳胶符号是\qquad。
https://stackoverflow.com/questions/54928343
复制相似问题