LoG (Laplacian of Gaussian)滤波器、一阶导数高斯滤波器和二阶导数高斯滤波器有什么不同?
它是否等于拉普拉斯算子的二阶导数高斯滤波器?

当我在网上搜索时,有不同的形状说,那就是二阶导数高斯滤波器。那么哪一个是正确的?

http://www.me.umn.edu/courses/me5286/vision/VisionNotes/2017/ME5286-Lecture7-2017-EdgeDetection2.pdf (临39)

s2016/filter-slides.pdf (临31)

6pp.pdf (P.3)
发布于 2019-02-25 19:15:57
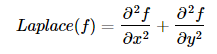
是的,Laplace被定义为二阶偏导数之和。就像你展示的等式一样。
在第一个图像中,f不是高斯的,f‘是。因此,f“是高斯的一阶导数,另一幅图像是高斯的二阶导数。
https://stackoverflow.com/questions/54872848
复制相似问题