首页
学习
活动
专区
圈层
工具
发布
社区首页 >问答首页 >弦图与SSA格式程序

弦图与SSA格式程序
EN

Stack Overflow用户
提问于 2018-11-30 14:48:45
回答 1查看 193关注 0票数 3

我的问题是为什么每个SSA表单程序在默认情况下都对应于一个弦图。维基百科定义弦图

弦图是指四个或更多个顶点的所有圈都有一个和弦,它是一个边,它不是圈的一部分,而是连接该圈的两个顶点。

下面是一个从一些课堂讲稿中获取的简单示例,目的是了解SSA表单在注册分配方面的好处。提交人写道:

..。以下程序和相应的弦图:

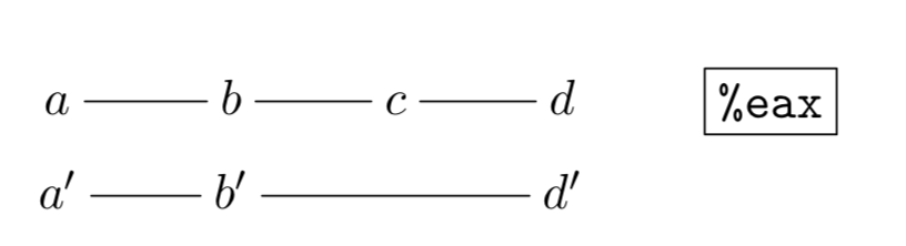
First:,我不明白为什么这个图是弦的。我意识到这个程序不是SSA形式的。然后将其转换为SSA格式,得到干涉图。

但同样,我看不出这是一个弦图,也看不出第一个图是如何与后面的任何一个图相关的。

所有这些都使得我们很难理解SSA程序是如何产生弦交图的。

以下是我已经研究过的一些消息来源:

  1. ga=2.67844629.501567003.1543477413-723933249.1539714051
  2. https://homepages.dcc.ufmg.br/~fernando/publications/papers/APLAS05.pdf
  3. ssa.pdf
  4. https://homepages.dcc.ufmg.br/~fernando/classes/dcc888/ementa/slides/SSABasedRA.pdf
EN

回答 1

Stack Overflow用户

回答已采纳

发布于 2018-12-03 23:55:06

关于你从讲稿第6节中列出的课程:

我不明白这张图怎么是弦的。我意识到这个程序不是SSA形式的。

你是正确的,原来的程序不是在SSA的形式。你也有理由对为什么它的“弦图”是弦图感到困惑:,它不是。作者犯了一个小错误。在第一个程序中,他们写了“弦图”,意思是写“干涉图”。

你所指的第二个图是琐碎的弦索,因为它不包含任何循环。记住你给出的弦图的定义:

弦图是指四个或更多个顶点的所有圈都有一个chord,它是一个边,它不是循环的一部分,而是连接循环中的两个顶点。

如果有零个周期,那么所有这些周期都包含一个和弦。

票数 1
EN
页面原文内容由Stack Overflow提供。腾讯云小微IT领域专用引擎提供翻译支持
原文链接:

https://stackoverflow.com/questions/53559767

复制
相关文章

相似问题

领券
问题归档专栏文章快讯文章归档关键词归档开发者手册归档开发者手册 Section 归档