我对编码很陌生。关于我的问题的基本信息是: r1和r2是两个变量: u1 = dr1/dt,u2 = dr2/dt,和du1/dt = d^2r1/dt^2,du2/dt = d^2r2/dt^2。在Matlab代码中,r(1)表示r1,r(2) -> u1,r(3) -> r2,r(4) -> u2。rdot(2)是du1/dt的表达式,rdot(4)是du2/dt的表达式,理想情况下我只需要4个初始条件: r1( 0 ),u1(0),r2(0),u2(0),它们是10d-6,0,5d-6,0。但在我的例子中,du1/dt依赖于du2/dt,反之亦然。见T1_1和T2_1的最后一项,而du1/dt和du2/dt的理想IC都是0。但是如何在我的代码中实现这一点呢?
我的密码在这里。
function rdot = f(t, r)
P_stat = 1.01325d5;
P_v = 2.3388d3;
mu = 1.002d-3;
sigma = 72.8d-3;
c_s = 1481d0;
poly_exp = 1.4d0;
rho = 998.2071d0;
f_s = 20d3;
P_s = 1.01325d5;
r1_eq = 10d-6;
r2_eq = 4d-6;
d = 1d-3;
rdot(1) = r(2);
P1_bw = ( (P_stat - P_v + (2.d0*sigma/r1_eq))*((r1_eq/r(1))^(3.d0*poly_exp)) ) - (2.d0*sigma/r(1)) - (4.d0*mu*r(2)/r(1));
P1_ext = P_s*sin(2.d0*pi*f_s*(t + (r(1)/c_s)));
T2_1 = ((2.d0*r(3)*(r(4)^2.d0)) + ((r(3)^2.d0)*rdot(4)))/d;
T2_4 = (1.d0 - (r(2)/c_s))*r(1);
T2_5 = 1.5d0*(1.d0 - (r(2)/(3.d0*c_s)))*(r(2)^2.d0);
T2_6 = (1.d0 + (r(2)/c_s))*(P1_bw - P_stat + P_v - P1_ext)/rho;
T2_8 = ( (-3.d0*poly_exp*r(2)*(P_stat - P_v + (2.d0*sigma/r1_eq))*((r1_eq/r(1))^(3.d0*poly_exp)) ) + (2.d0*sigma*r(2)/r(1)) - (4.d0*mu*(- ((r(2)^2.d0)/r(1)))) )/r(1);
T2_9 = 2.d0*pi*f_s*P_s*(cos(2.d0*pi*f_s*(t + (r(1)/c_s))))*(1.d0 + (r(2)/c_s) );
T2_7 = (r(1)/(rho*c_s))*(T2_8 - T2_9);
rdot(2) = (T2_6 + T2_7 - T2_1 - T2_5)/(T2_4 + (4.d0*mu/(rho*c_s)));
rdot(3) = r(4);
P2_bw = ( (P_stat - P_v + (2.d0*sigma/r1_eq))*((r1_eq/r(3))^(3.d0*poly_exp)) ) - (2.d0*sigma/r(3)) - (4.d0*mu*r(4)/r(3));
P2_ext = P_s*sin(2.d0*pi*f_s*(t + (r(3)/c_s)));
T1_1 = ((2.d0*r(1)*(r(2)^2.d0)) + ((r(1)^2.d0)*rdot(2)))/d;
T1_4 = (1.d0 - (r(4)/c_s))*r(3);
T1_5 = 1.5d0*(1.d0 - (r(4)/(3.d0*c_s)))*(r(4)^2.d0);
T1_6 = (1.d0 + (r(4)/c_s))*(P2_bw - P_stat + P_v - P2_ext)/rho;
T1_8 = ( (-3.d0*poly_exp*r(4)*(P_stat - P_v + (2.d0*sigma/r1_eq))*((r1_eq/r(3))^(3.d0*poly_exp)) ) + (2.d0*sigma*r(4)/r(3)) - (4.d0*mu*(- ((r(4)^2.d0)/r(3)))) )/r(3);
T1_9 = 2.d0*pi*f_s*P_s*(cos(2.d0*pi*f_s*(t + (r(3)/c_s))))*(1.d0 + (r(4)/c_s) );
T1_7 = (r(3)/(rho*c_s))*(T1_8 - T1_9);
rdot(4) = (T1_6 + T1_7 - T1_1 - T1_5)/(T1_4 + (4.d0*mu/(rho*c_s)));
rdot = rdot';clc;
clear all;
close all;
time_range = [0 3000d-6];
initial_conditions = [10d-6 0.d0 5d-6 0.d0];
[t, r] = ode45('bubble', time_range, initial_conditions);
plot(t, r(:, 1), t, r(:, 3));发布于 2018-10-25 07:52:54
对于每一级的ODE,您都需要一个初始条件。这是由于您正在计算的函数的数量。在您的示例中,您得到了一个二阶ODE系统,该系统在求解后将提供以下四个功能:r(1), r(2), r(3), r(4)
为什么我们甚至需要初始条件?假设您有一个简单的导数:y'= y,我们知道函数y = exp(x) * C解决了这个问题,但是我们需要调整C才能得到“唯一的解决方案”。另一方面,给y'一个初始条件是没有意义的,因为一旦定义了y,它就被完全定义了。无论“外来”变量是以导数的形式出现还是以线性因子的形式出现,都不重要。它与集成电路的数量无关。
我希望我能澄清一点。在我看来,你的程序应该是那样的,但我还没有机会试一试。
发布于 2018-10-25 10:11:26
从本质上说你的处境是
rdot(2) = a2 + b2*rdot(4)
rdot(4) = a4 + b4*rdot(2)其中a2,b2,a4,b4包含表达式中的所有其他术语。
这是一个线性系统,你必须解决它才能得到正确的值来返回。您可以使用Matlab的线性求解器,或者在这个简单的二维情况下手工完成,
rdot(2) = a2 + b2*(a4 + b4*rdot(2)) ==> rdot(2) = (a2 + b2*a4) / (1 - b2*b4)
rdot(4) = a4 + b4*(a2 + b2*rdot(4)) ==> rdot(2) = (a4 + b4*a2) / (1 - b2*b4)要应用这一点,您需要拆分
T1_1 as T1_1a + T1_1b*rdot(4), 您可以根据给定的常量和状态变量计算T1_1a和T1_1b。最后你有了什么
rdot(2)=(other + coeff*T1_1)/denom 你得分头进去
a2 =(other + coeff*T1_1a) / denom and
b2 = coeff*T1_1b / denom 然后对第二部分进行同样的处理,得到a4,b4,然后应用上面的解公式。
发布于 2018-10-25 10:43:46
我已经解决了这个问题,通过引入两个带有初始条件的新变量,但是它们在代码运行时被更新。新代码包含两个变量: r2ddot和r1ddot;
function rdot = f(t, r)
P_stat = 1.01325d5;
P_v = 2.3388d3;
mu = 1.002d-3;
sigma = 72.8d-3;
c_s = 1481d0;
poly_exp = 1.4d0;
rho = 998.2071d0;
f_s = 20d3;
P_s = 1.01325d5;
r1_eq = 4d-6;
r2_eq = 5d-6;
d = 50*(r1_eq + r2_eq);
r2ddot = 0;
r1ddot = 0;
rdot(1) = r(2);
P2_bw = ( (P_stat - P_v + (2.d0*sigma/r2_eq))*((r2_eq/r(3))^(3.d0*poly_exp)) ) - (2.d0*sigma/r(3)) - (4.d0*mu*r(4)/r(3));
P2_ext = P_s*sin(2.d0*pi*f_s*(t + (r(3)/c_s)));
T1_1 = ((2.d0*r(1)*(r(2)^2.d0)) + ((r(1)^2.d0)*r1ddot))/d;
T1_4 = (1.d0 - (r(4)/c_s))*r(3);
T1_5 = 1.5d0*(1.d0 - (r(4)/(3.d0*c_s)))*(r(4)^2.d0);
T1_6 = (1.d0 + (r(4)/c_s))*(P2_bw - P_stat + P_v - P2_ext)/rho;
T1_8 = ( (-3.d0*poly_exp*r(4)*(P_stat - P_v + (2.d0*sigma/r2_eq))*((r2_eq/r(3))^(3.d0*poly_exp)) ) + (2.d0*sigma*r(4)/r(3)) - (4.d0*mu*(- ((r(4)^2.d0)/r(3)))) )/r(3);
T1_9 = 2.d0*pi*f_s*P_s*(cos(2.d0*pi*f_s*(t + (r(3)/c_s))))*(1.d0 + (r(4)/c_s) );
T1_7 = (r(3)/(rho*c_s))*(T1_8 - T1_9);
rdot(2) = (T1_6 + T1_7 - T1_1 - T1_5)/(T1_4 + (4.d0*mu/(rho*c_s))) ;
r2ddot = rdot(2);
rdot(3) = r(4);
P1_bw = ( (P_stat - P_v + (2.d0*sigma/r1_eq))*((r1_eq/r(1))^(3.d0*poly_exp)) ) - (2.d0*sigma/r(1)) - (4.d0*mu*r(2)/r(1));
P1_ext = P_s*sin(2.d0*pi*f_s*(t + (r(1)/c_s)));
T2_1 = ((2.d0*r(3)*(r(4)^2.d0)) + ((r(3)^2.d0)*r2ddot))/d;
T2_4 = (1.d0 - (r(2)/c_s))*r(1);
T2_5 = 1.5d0*(1.d0 - (r(2)/(3.d0*c_s)))*(r(2)^2.d0);
T2_6 = (1.d0 + (r(2)/c_s))*(P1_bw - P_stat + P_v - P1_ext)/rho;
T2_8 = ( (-3.d0*poly_exp*r(2)*(P_stat - P_v + (2.d0*sigma/r1_eq))*((r1_eq/r(1))^(3.d0*poly_exp)) ) + (2.d0*sigma*r(2)/r(1)) - (4.d0*mu*(- ((r(2)^2.d0)/r(1)))) )/r(1);
T2_9 = 2.d0*pi*f_s*P_s*(cos(2.d0*pi*f_s*(t + (r(1)/c_s))))*(1.d0 + (r(2)/c_s) );
T2_7 = (r(1)/(rho*c_s))*(T2_8 - T2_9);
rdot(4) = (T2_6 + T2_7 - T2_1 - T2_5)/(T2_4 + (4.d0*mu/(rho*c_s)));
r1ddot = rdot(4);
rdot = rdot';
clc;
clear all;
close all;
time_range = [0 1d-3];
initial_conditions = [4d-6 0.d0 5d-6 0.d0];
[t, r] = ode45('bubble', time_range, initial_conditions);
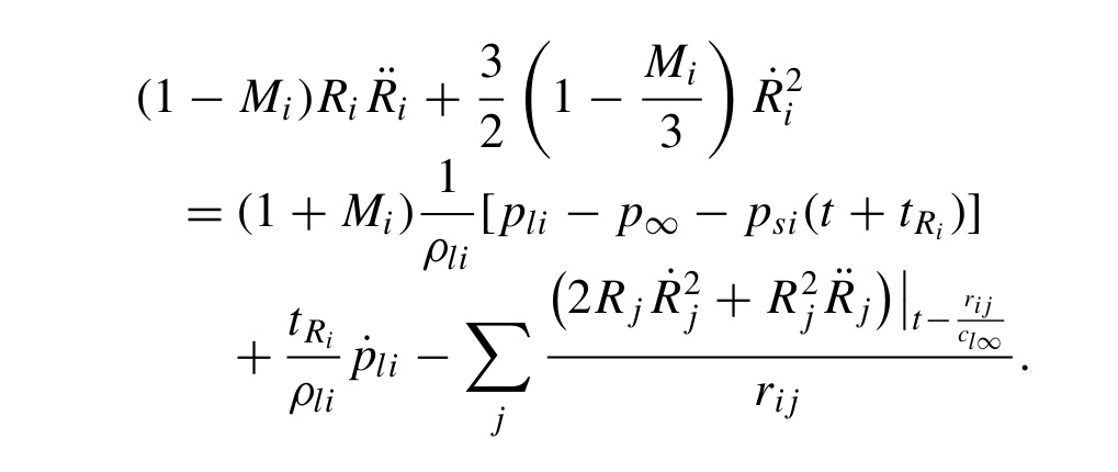
plot(t, r(:, 1), t, r(:, 3));但我无法得到预期的结果。实际上,我正在尝试复制所附论文的结果,参见等式7。在这里输入链接描述。

第二组方程可通过互换性指标1和2得到。
重要注意事项:Mettin的论文中方程7的最后一项中有一个错误,可以通过检查各个项的尺寸来验证。正确的最后一项可以从另一篇论文中看出,https://journals.aps.org/pre/abstract/10.1103/PhysRevE.83.066313在下面的方程(1)中看到了最后一项。忽略方程中的其他附加项。重要的一点是方程在Rj中是二阶的,方程在Ri中有一个二阶项。这就是我想要的代码。

任何帮助都将不胜感激。
https://stackoverflow.com/questions/52977587
复制相似问题