我正在尝试用天然纸 0.4.0实现Deep的DNC - PyTorch。
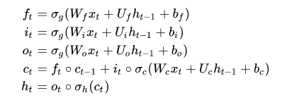
在实现LSTM变体时,他们使用了I,在尺寸上遇到了一些问题。
简化假设BATCH=1。
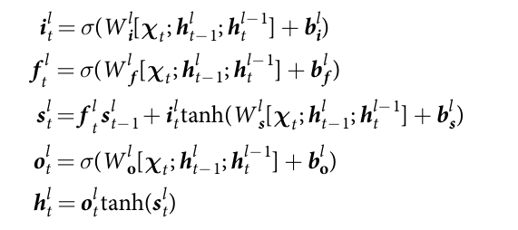
他们在文件中列出的方程式如下:

其中,[x;h]意味着将x和h串联成一个向量,而i、f和o是列向量。
我的问题是如何计算状态s_t。
第二个附录是通过将i与列向量相乘得到的,结果要么是标量(转置i,然后做标量积),要么是错误的(两个列向量乘以)。
,所以状态导致单个标量.
同样的推理,隐藏状态h_t也是标量,但它必须是列向量。
显然我错了,但我不知道在哪里。
发布于 2018-07-25 15:19:19
https://stackoverflow.com/questions/51516943
复制相似问题