我想要编写一个接受近70个参数的方法,并根据输入返回一个结果。
下面是我的算法的逻辑表示:

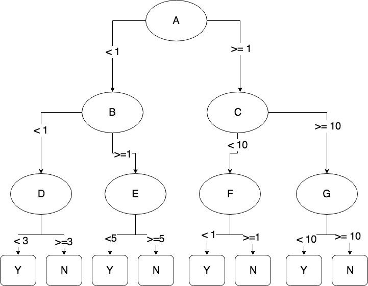
在表示中,有7个参数,作为树的结果,它给出了Y或N。
我如何才能完成这样的算法,但更大和更复杂?哪种语言能更有效地计算这个问题?
发布于 2018-07-12 10:12:58
一种方法是有一个顶点图,其中边包含需要满足的条件。
class Node:
def __init__(self, edges, val = None):
self.edges = edges
self.val = val
def decide(self, args):
if len(self.edges) < 1:
return self.val
for edge in self.edges:
(cond, next) = edge
if cond(args):
return next.decide(args)
break
n_a_a = Node([], 'y')
n_a_b = Node([], 'n')
n_b_a = Node([], 'y')
n_b_b = Node([], 'n')
n_a = Node([(lambda args: args['B'] > 0, n_a_a),
(lambda args: args['B'] <= 0, n_a_b)])
n_b = Node([(lambda args: args['B'] > 5, n_b_a),
(lambda args: args['B'] <= 5, n_b_b)])
root = Node([(lambda args: args['A'] > 0, n_a),
(lambda args: args['A'] <= 0), n_b)])
print root.decide({'A':5,'B':10})另一种方法是建模决策树,然后使用生成代码的代码根,或者自己手动编写如下代码:
def root(args):
if args['A'] > 0:
return n_a(args)
return n_b(args)
def n_a(args):
if args['B'] > 0:
return n_a_a(args)
return n_a_b(args)
def n_b(args):
if args['B'] > 5:
return n_b_a(args)
return n_b_b(args)
def n_a_a(args):
return 'y'
def n_a_b(args):
return 'n'
def n_b_a(args):
return 'y'
def n_b_b(args):
return 'n'
print root({'A':5,'B':10})发布于 2018-07-12 16:27:56
在机器学习术语中,您描述的是分类树。
有许多机器学习库实现分类树。其中许多都被设计为部署在服务器上,并将被优化为与构建的模型--即机器学习术语--进行有效的评分。
然而,这些库通常是为了从培训数据中学习树的结构而设计的,而您希望手动构建它。要使用这种方法,您需要找到一个库,它的模型格式您可以访问和‘假’。我不知道我该推荐哪一个,这里的主题是询问库的建议,但是数据科学可能会帮上忙。
一种选择是在PMML中对树进行编码,然后将其导入可以执行PMML模型的平台中。例如,我相信这可以在Server和/或Microsoft中完成。本参考描述了另一种部署PMML模型的方法。
或者,您可以生成一个显示所需规则的合成数据集,然后使用任何您喜欢的分类树库来训练该数据的模型。
https://stackoverflow.com/questions/51302378
复制相似问题