因此,我想要创建一个6个不同的方块情节(所以所有在一个图形)。然而,我遇到了一些麻烦。首先,有很多NA,它们随机地进入数据集,所以我不知道如何用这个问题来绘制一个图上的所有变量。其次,ggplot需要一个y变量..。我对tidyverse相当陌生,但我不知道如何创建一个y变量,以使每个图都能被表示出来。以下是我到目前为止掌握的代码和一些示例数据,只是得到了一些无稽之谈……:
library(readr)
library(ggplot2)
library(tidyr)
Box_Whiskers_Plot <- read_delim("C:/Users/johnt/Downloads/Box & Whiskers Plot.txt",
"\t", escape_double = FALSE, trim_ws = TRUE)
box_tidy <- gather(data = Box_Whiskers_Plot,
key = Concern,
value = Value)
ggplot(data = box_tidy, mapping = aes(x = Concern, y = Value)) +
geom_boxplot()样本数据:
structure(list(`1 concern` = c(NA, NA, NA, NA, "4.7051072361071977E-2",
"0.19811079686050914", "0.15241809445883892", "9.3784616216209704E-2",
NA, NA, "0.12902642667986841", NA, NA, NA, "-2.7995766112836051E-3",
NA, NA, NA, NA, NA, NA, NA, NA, NA, NA, "0.16257072914439274",
NA, NA, NA, NA, NA, NA, NA, "-0.32189822523240785", NA, NA, "8.8779492146409344E-2",
NA, NA, NA, NA, "0.25876167614411516", NA, NA, NA, NA, NA, NA,
NA, NA, NA, NA, NA, NA, NA, NA, NA, NA, NA, NA, NA, NA, NA, NA,
NA, NA, NA, NA, NA, NA, NA, NA, NA, "0.12140341771652063", NA,
NA, NA, NA, NA, NA, NA, "7.8315099203373872E-2", NA, NA, NA,
NA, NA, NA, NA, NA, NA, NA, NA, NA, NA, NA, NA, NA, NA, NA, NA,
NA, NA, NA, NA, NA, NA, NA, NA, NA, NA, NA, NA, NA, NA, NA, NA,
NA, "-2.4887790087301243E-2", NA, NA, "0.17817816702345479",
NA, NA, NA, NA, NA, NA, NA, NA, NA, NA, NA, NA, NA, NA, NA, NA,
NA, NA, NA, NA, NA, NA, NA, NA, NA, NA, NA, NA, NA, NA, NA, NA,
NA, NA, NA, NA, NA, NA, NA, NA, NA, NA, NA, "-0.45715764794257374",
NA, NA, NA, NA, NA, NA, NA, NA, NA, NA, NA, NA, NA, NA, NA, NA,
NA, NA, NA, NA, NA, NA, NA, NA, NA, NA, NA, "0.1727380710391988",
NA, NA, NA, NA, NA, "-", NA, NA, NA, NA, NA, NA, NA, NA, NA,
NA, NA, NA, NA, NA, NA, NA, "0.11810158539718096", NA, NA, NA,
"0.27340288238873622", NA, NA, "0.31222498045287939", NA, NA,
NA, NA, NA, NA, NA, NA, NA, NA, NA, NA, "1 concern", "8.3059150913641758E-2"
), `2 concerns` = c(NA, "0.30750786698302712", NA, NA, NA, NA,
NA, NA, "0.19491094633578943", "0.14347068243793348", NA, NA,
NA, NA, NA, "9.4003202704330935E-2", NA, NA, NA, NA, NA, NA,
"5.8682039323707746E-2", NA, NA, NA, NA, NA, NA, "0.38837474884084",
NA, NA, "9.9772158663856914E-2", NA, NA, NA, NA, "0.15369966808838376",
NA, "-9.7591933707396827E-2", "7.5799891559719335E-2", NA, "0.74069094176638783",
"0.18455079764897997", "0.35878241180217119", NA, NA, "9.7671065222774578E-2",
NA, "-1", "1.9762661406333537E-2", NA, NA, NA, NA, NA, NA, "0.12110279127050561",
"-8.8073972864920469E-2", NA, NA, "-5.3063552654085022E-2", "-0.19524178703281547",
NA, NA, NA, NA, NA, NA, NA, NA, NA, NA, NA, NA, NA, NA, "0.19324044960582598",
NA, NA, NA, NA, NA, "0.19558769095890249", "9.8480653359761305E-2",
"-2.7258845509566809E-2", NA, NA, "4.2377241471322602E-2", NA,
NA, NA, "-0.31089100169922018", NA, NA, "9.4259642624681561E-2",
NA, NA, NA, NA, NA, NA, NA, NA, "2.9465956237787916E-2", "0.36028868638565514",
"0.28696166852692623", "0.16026874768911181", NA, NA, NA, NA,
NA, NA, NA, "0.17495242646710829", NA, NA, NA, "8.0174590835183634E-2",
NA, NA, NA, NA, NA, "0.3741514609038552", NA, NA, NA, NA, NA,
NA, NA, NA, NA, "0.18203421025448296", NA, NA, NA, "0.18032116561517086",
NA, NA, "-0.24673024063961035", "8.3759133449436751E-2", NA,
NA, NA, NA, NA, NA, NA, NA, NA, NA, NA, NA, NA, NA, NA, "-0.12597421585178167",
NA, NA, NA, "0.19902495793991903", NA, NA, NA, NA, "-9.2408051470944635E-2",
NA, NA, NA, NA, NA, "1.3515493037121162E-2", NA, NA, "-2.2110562098653141E-2",
NA, NA, NA, NA, "3.5029098159769845E-2", NA, NA, NA, NA, NA,
NA, NA, "-0.38542680544884389", "0.2673937214255111", NA, NA,
NA, NA, NA, NA, "0.1514695655588354", NA, "-0.19290183848262321",
"0.19830470195985717", "0.25974088161209186", "0", "0.12635072134014091",
"4.3529572197642308E-2", NA, "-2.811733193779542E-2", "5.2999441490886978E-2",
"-1.5294438792050502E-2", "-0.1092036064257218", NA, NA, NA,
NA, NA, NA, NA, "-8.4682877918448418E-2", NA, NA, NA, NA, NA,
NA, "0.33060935555613358", "-0.26950721703104663", NA, NA, NA,
NA, NA, NA, NA, NA, NA, "2 concerns", "6.5143247152538983E-2"
), `3 concerns` = c(NA, NA, NA, "-6.2005384615384615E-2", NA,
NA, NA, NA, NA, NA, NA, NA, "0.16466373149154445", "0.14529429748819767",
NA, NA, "3.3101080910433733E-3", NA, NA, "-0.14716333286324612",
NA, NA, NA, "0.101855405108354", NA, NA, NA, "1.5624661137794593E-2",
"4.089776650666388E-2", NA, "-", "0.14868399697158718", NA, NA,
"8.4936940656134663E-2", "-7.3275278911856751E-5", NA, NA, "0.16209406140402915",
NA, NA, NA, NA, NA, NA, "7.5733790938149026E-2", "7.7802906849214093E-2",
NA, "0.29092905402715896", NA, NA, NA, "0.2433591777340911",
NA, NA, "0.16878584978409417", "0.23450765393402495", NA, NA,
NA, NA, NA, NA, "1.4972641033242029E-2", NA, NA, "0.15914858376902719",
NA, NA, NA, NA, NA, NA, NA, NA, NA, NA, NA, NA, "0.23167642917280462",
"-0.12014200114033269", NA, NA, NA, NA, NA, NA, NA, NA, NA, NA,
NA, NA, NA, NA, NA, "0.23296355648900113", "9.2737675544091028E-2",
"-1.135676252608786E-2", "-2.5231545331790839E-3", "-1.831276418414618E-2",
NA, "3.700270212564627E-2", NA, NA, NA, NA, NA, NA, NA, "0.12864133565206637",
NA, "0.2713309994071611", NA, NA, NA, NA, NA, NA, NA, NA, NA,
NA, NA, "0.33081997450170131", NA, NA, NA, NA, NA, NA, "0.10916148370698719",
NA, NA, NA, NA, NA, NA, NA, NA, "-1", "-0.10648202245319915",
NA, NA, NA, NA, NA, NA, "7.6583001375218229E-2", "0.11923826063359644",
"0.1382325704168097", "4.411629139778972E-2", NA, NA, "-2.7571494462436785E-2",
"-8.1186210791162505E-2", "0.36815766123347382", "0.21997253864625099",
"9.5269593575127098E-2", NA, "0.40386694165317971", "0.1317061317077115",
"8.4533840305895946E-2", NA, NA, NA, "7.064976326243011E-2",
"8.2533081202996961E-2", NA, NA, NA, NA, "-6.5935523766861404E-2",
"0.15935278497831473", NA, "0.1159060020401923", NA, NA, "0.11817005685670501",
"6.1029901139001863E-2", "0.12692362698225845", "3.4415424790262605E-2",
NA, NA, "0.23155179134453707", "0.14332216947092591", "7.4795242229677816E-2",
"0", NA, NA, NA, NA, NA, NA, "0.14534924839754271", "0.27815354547396853",
"0.19493428600637031", "0.1283055485269069", NA, NA, NA, NA,
NA, NA, NA, NA, NA, NA, NA, NA, NA, NA, NA, NA, NA, "-2.3773331360783301E-2",
NA, "0.20660830748524073", NA, "0.23154616465669209", NA, "-0.80937062468163068",
NA, NA, "0.41853447897377194", NA, NA, NA, "9.4089917760579844E-2",
NA, NA, "6.3552512454774224E-3", "-0.43971479670164443", "0.15974143122420936",
"-0.16029537031373786", NA, "3 concerns", "7.198593957320798E-2"
), `4 concerns` = c(NA, NA, NA, NA, NA, NA, NA, NA, NA, NA, NA,
NA, NA, NA, NA, NA, NA, NA, "6.4352691220779912E-2", NA, NA,
"0.21279729530946834", NA, NA, NA, NA, NA, NA, NA, NA, NA, NA,
NA, NA, NA, NA, NA, NA, NA, NA, NA, NA, NA, NA, NA, NA, NA, NA,
NA, NA, NA, NA, NA, "-9.3690492677869663E-2", NA, NA, NA, NA,
NA, NA, NA, NA, NA, NA, "-7.1185121289991993E-2", NA, NA, "6.569732863463229E-2",
NA, NA, "9.7222332805540157E-2", NA, NA, NA, NA, NA, NA, NA,
"8.5074456366478923E-2", NA, NA, NA, NA, NA, NA, NA, NA, NA,
NA, NA, NA, NA, NA, NA, NA, NA, NA, NA, NA, NA, NA, NA, NA, NA,
NA, NA, NA, NA, NA, NA, NA, NA, NA, NA, NA, NA, NA, NA, NA, NA,
NA, NA, "1.7663351832379881E-3", NA, NA, NA, "0.20859715043286409",
"-4.0588246304824382E-2", NA, NA, NA, NA, NA, NA, NA, NA, "3.1799587621662351E-2",
NA, "8.6166092731043253E-2", NA, NA, NA, NA, NA, NA, NA, "4.869038187032948E-2",
"0.18071545075957585", NA, NA, NA, NA, NA, NA, NA, NA, NA, NA,
NA, NA, NA, NA, NA, NA, NA, NA, NA, NA, NA, NA, NA, "4.2986578596766911E-2",
NA, NA, NA, NA, "9.4277092317434086E-3", NA, NA, NA, NA, NA,
NA, NA, NA, NA, NA, NA, "3.5496813684543493E-2", "-8.1501862554191895E-2",
NA, NA, "9.9940934380241986E-2", NA, NA, NA, NA, NA, NA, NA,
NA, NA, NA, NA, NA, NA, NA, NA, NA, NA, NA, NA, NA, NA, NA, NA,
NA, NA, NA, NA, NA, NA, NA, NA, NA, NA, NA, NA, NA, NA, NA, NA,
NA, NA, NA, NA, "4 concerns", "5.1777127158001604E-2"), `5 concerns` = c(NA,
NA, NA, NA, NA, NA, NA, NA, NA, NA, NA, NA, NA, NA, NA, NA, NA,
NA, NA, NA, NA, NA, NA, NA, NA, NA, NA, NA, NA, NA, NA, NA, NA,
NA, NA, NA, NA, NA, NA, NA, NA, NA, NA, NA, NA, NA, NA, NA, NA,
NA, NA, NA, NA, NA, NA, NA, NA, NA, NA, NA, NA, NA, NA, NA, NA,
NA, NA, NA, "8.9612836579635591E-2", "8.1063923186028175E-2",
NA, NA, NA, NA, NA, NA, NA, NA, NA, NA, NA, NA, NA, NA, NA, NA,
NA, NA, NA, NA, NA, NA, NA, "8.4668999169687842E-2", NA, NA,
NA, NA, NA, NA, NA, NA, NA, NA, NA, NA, NA, NA, NA, NA, NA, NA,
NA, "6.0739595493825904E-2", NA, NA, NA, NA, NA, NA, NA, NA,
NA, NA, NA, NA, NA, NA, NA, NA, "9.0340384993987888E-2", NA,
NA, NA, NA, NA, NA, NA, NA, NA, NA, NA, NA, NA, NA, NA, NA, NA,
NA, NA, NA, NA, NA, NA, NA, NA, NA, NA, NA, NA, NA, NA, NA, NA,
NA, NA, NA, NA, NA, NA, NA, NA, NA, NA, NA, NA, NA, NA, NA, NA,
NA, NA, NA, "6.1693228854984072E-2", NA, NA, NA, NA, NA, NA,
NA, NA, NA, NA, NA, NA, NA, NA, NA, NA, NA, NA, NA, NA, NA, NA,
NA, NA, NA, NA, NA, NA, NA, NA, NA, NA, NA, NA, NA, NA, NA, NA,
"-0.20631919750140182", NA, NA, NA, NA, NA, NA, NA, NA, NA, NA,
NA, NA, NA, "5 concerns", "3.7399967253821095E-2"), `6 concerns` = c(NA,
NA, NA, NA, NA, NA, NA, NA, NA, NA, NA, NA, NA, NA, NA, NA, NA,
NA, NA, NA, NA, NA, NA, NA, NA, NA, NA, NA, NA, NA, NA, NA, NA,
NA, NA, NA, NA, NA, NA, NA, NA, NA, NA, NA, NA, NA, NA, NA, NA,
NA, NA, "0.32874505543754307", NA, NA, NA, NA, NA, NA, NA, NA,
NA, NA, NA, NA, NA, NA, NA, NA, NA, NA, NA, NA, NA, NA, NA, NA,
NA, NA, NA, NA, NA, NA, NA, NA, NA, NA, NA, NA, NA, NA, NA, NA,
NA, NA, "0.15408216010209475", NA, NA, NA, NA, NA, NA, NA, NA,
NA, NA, NA, NA, NA, NA, NA, NA, NA, NA, NA, NA, NA, NA, NA, NA,
NA, NA, NA, NA, NA, NA, NA, NA, NA, NA, NA, NA, NA, NA, NA, NA,
NA, NA, NA, NA, NA, NA, NA, NA, NA, NA, NA, NA, NA, NA, NA, NA,
NA, NA, NA, NA, NA, NA, NA, NA, NA, NA, NA, NA, NA, NA, NA, NA,
NA, NA, NA, NA, NA, NA, NA, NA, NA, NA, NA, NA, NA, NA, NA, NA,
NA, NA, NA, NA, NA, NA, NA, NA, NA, NA, NA, NA, NA, NA, NA, NA,
NA, NA, NA, NA, NA, NA, NA, NA, NA, NA, NA, NA, "-4.8467807432570065E-2",
NA, NA, NA, NA, NA, NA, NA, NA, NA, NA, NA, NA, NA, NA, NA, NA,
NA, NA, NA, NA, NA, NA, NA, NA, "6 concerns", "0.14478646936902259"
)), row.names = c(NA, -238L), class = c("tbl_df", "tbl", "data.frame"
))发布于 2018-07-04 20:41:31
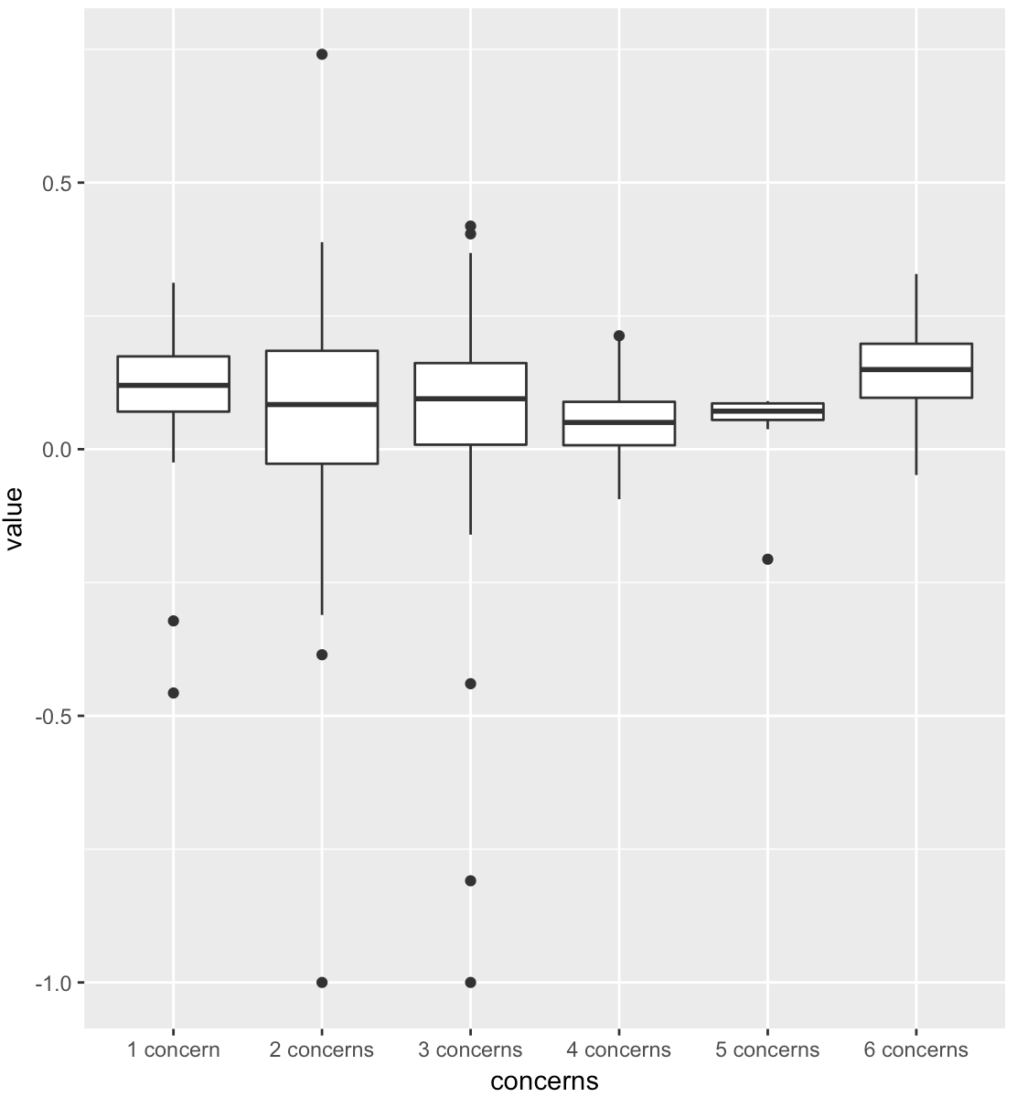
ggplot要求您的数据“整洁”(详见https://cran.r-project.org/web/packages/tidyr/vignettes/tidy-data.html)。在您的示例中,只需使用来自gather包的tidyr函数即可。由于数值实际上是字符而不是数字,所以在绘制数字之前,还需要将它们转换为数字。ggplot会删除NA值(带有警告),因此您不需要担心它们。因此,代码如下:
library(tidyverse)
Box_Whiskers_Plot <- Box_Whiskers_Plot %>%
gather(key = "concerns", "value") %>%
mutate(value = as.numeric(value))
ggplot(Box_Whiskers_Plot, mapping = aes(x = concerns, y = value)) +
geom_boxplot()其结果是:

https://stackoverflow.com/questions/51180056
复制相似问题