digraph G
{
rankdir=LR;
Array1 [ shape = record, label = "{ <a1>A(1) | <a2>A(2) | <a3>A(...) | <an>A(n)}"] ;
Array2 [ shape = record, label = "{ <b1>B(1) | <b2>B(2) | <b3>B(...) | <bn1>B(n+1)}"] ;
Array1:a1 -> Array2:b1 [style=solid];
Array1:an -> Array2:bn1 [style=solid];
{rank=same; Array1; Array2;}
}我试图从左到右绘制两个数组,但Array1位于顶部,Array2位于底部。
正如您在图片中看到的,没有绘制箭头,但是布局应该是这样的。我也从点中得到了一些错误,但是我找不到任何有用的信息:
dot -Tpng algoA.dot -o algoA.png :(
Warning: flat edge between adjacent nodes one of which has a record shape - replace records with HTML-like labels
Edge Array2 -> Array1
Error: lost Array1 Array2 edge
Error: lost Array1 Array2 edgedigraph G
{
rankdir=LR;
Array1 [ shape = record, label = "{ <a1>A(1) | <a2>A(2) | <a3>A(...) | <an>A(n)}"] ;
Array2 [ shape = record, label = "{ <b1>B(1) | <b2>B(2) | <b3>B(...) | <bn1>B(n+1)}"] ;
Array1:a1 -> Array2:b1 [style=solid];
Array1:an -> Array2:bn1 [style=solid];
//{rank=same; Array1; Array2;}
}如果代码中没有rank=same,我就会得到我想要的箭头,但不像我想要的那样--顶部是Array1,底部是Array2。错误信息消失了。我做错了什么?我尝试了几种方法,但它们都不适用于我,我总是得到一个错误的布局,或者我必须添加其他几个节点来绘制它,而那些不可见的箭头也不会被绘制。
发布于 2018-06-14 09:50:43
键在错误消息中:replace records with HTML-like labels。详细信息可以找到这里。
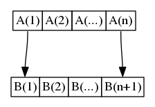
根据您的代码以及我所理解的您想要实现的目标,这可以通过创建两个类似HTML的标签来实现。代码中的注释。
digraph so
{
# plaintext is being used to create HTML-like labels
node [shape=plaintext]
# no border for the table, a single border for each cell and
# no distance between individual cells looks like record shape
# PORTs being defined as addresses of individual cells
# that edges can be directed to
array1 [label=<
<TABLE BORDER="0" CELLBORDER="1" CELLSPACING="0"> <TR>
<TD PORT="a1">A(1)</TD>
<TD PORT="a2">A(2)</TD>
<TD PORT="ax">A(...)</TD>
<TD PORT="an">A(n)</TD>
</TR> </TABLE>>];
array2 [label=<
<TABLE BORDER="0" CELLBORDER="1" CELLSPACING="0"> <TR>
<TD PORT="b1">B(1)</TD>
<TD PORT="b2">B(2)</TD>
<TD PORT="bx">B(...)</TD>
<TD PORT="bn">B(n+1)</TD>
</TR> </TABLE>>];
array1:a1 -> array2:b1;
array1:an -> array2:bn;
}这产生了(我认为)你想要的东西:

https://stackoverflow.com/questions/50846877
复制相似问题