我希望用Graphviz neato引擎生成两个子图。一个子图将包含彼此连接的节点,另一个将包含没有连接到任何其他节点的单个节点。我已经从Graphviz网站调整了这示例如下:
digraph G {
node [shape = circle];
edge [arrowhead = normal, label="", color="#919191"];
subgraph cluster_0 {
color=lightgrey;
label="Singletons";
a0;
a1;
a2;
a3;
}
subgraph cluster_1 {
color=lightgrey;
label="Non-singletons";
b0 -> b1;
b2 -> b3;
}
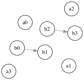
}它在使用neato引擎处理时给出了下面的图,其中每个子图中的节点不是聚集在一起的。
neato -Tpng test.dot > test_neato.png

使用dot引擎进行处理可以获得良好的结果,但我需要生成具有大量节点的网络,而且neato引擎更适合这种格式。
dot -Tpng test.dot > test_dot.png

我想要边框、标题和集群(如上面使用dot的示例所示),但使用neato引擎来定位节点。有没有办法在Graphviz中做到这一点?
提前谢谢你的帮助。
发布于 2018-06-11 10:23:49
https://stackoverflow.com/questions/50741263
复制相似问题