我在excel中有如下所示的数据,我希望以图形形式显示数据,显示层次结构。此外,当搜索条件(如子搜索)时,只需要显示从顶部到该节点的路径。我是Python的新手,我正在尝试学习使用python可视化层次结构数据。为此,我还检查了Python。有人能指引我正确的方向吗。数据:
child parent
1 2010 1000
7 2100 1000
5 2110 1000
3 3000 2110
2 3011 2010
4 3033 2100
0 3102 2010
6 3111 2110输出:

发布于 2018-05-29 19:44:18
这个问题似乎包括两个部分:搜索和可视化。您提到的库似乎很适合这两个任务,但也许您正在寻找更轻量级的解决方案。
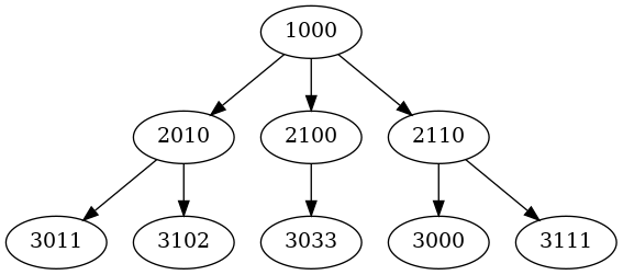
一种方法是结合墨维兹使用一些有限的自己的代码(它也有优秀的python绑定)。考虑到所分析的数据,会出现这样的情况:
from graphviz import Digraph
# child-parent pairs
data = [(2010, 1000), (2100, 1000), (2110, 1000),
(3000, 2110), (3011, 2010), (3033, 2100),
(3102, 2010), (3111, 2110)]
g = Digraph(format='svg')
for child, parent in data:
g.edge(str(parent), str(child))
g.render('graph')

还可以通过设置color属性突出显示节点和边缘。请注意,Graphviz只处理可视化。您必须编写自己的Node和/或Edge类来搜索路径。
https://stackoverflow.com/questions/50591396
复制相似问题