我在地图上有一组点,每个点都有一个给定的参数值。我想:
我不知道怎么做第二部分,除了循环。
图像显示一组空间分布点(左上)颜色,按聚类编码,并在右上角图中按参数值排序。下面一行显示按参数值(右)排序的每个集群的>10分(左)和面。正是这些方面,我希望能够根据最小的簇分离距离(d=1),按子簇来着色代码。
任何指点/帮助都很感激。我的可复制代码如下。

# TESTING
library(tidyverse)
library(gridExtra)
# Create a random (X, Y, Value) dataset
set.seed(36)
x_ex <- round(rnorm(200,50,20))
y_ex <- round(runif(200,0,85))
values <- rexp(200, 0.2)
df_ex <- data.frame(ID=1:length(y_ex),x=x_ex,y=y_ex,Test_Param=values)
# Cluster data by (X,Y) location
d = 4
chc <- hclust(dist(df_ex[,2:3]), method="single")
# Distance with a d threshold - used d=40 at one time but that changes...
chc.d40 <- cutree(chc, h=d)
# max(chc.d40)
# Join results
xy_df <- data.frame(df_ex, Clust=chc.d40)
# Plot results
breaks = max(chc.d40)
xy_df_filt <- xy_df %>% dplyr::group_by(Clust) %>% dplyr::mutate(n=n()) %>% dplyr::filter(n>10)# %>% nrow
p1 <- ggplot() +
geom_point(data=xy_df, aes(x=x, y=y, colour = Clust)) +
scale_color_gradientn(colours = rainbow(breaks)) +
xlim(0,100) + ylim(0,100)
p2 <- xy_df %>% dplyr::arrange(Test_Param) %>%
ggplot() +
geom_point(aes(x=1:length(Test_Param),y=Test_Param, colour = Test_Param)) +
scale_colour_gradient(low="red", high="green")
p3 <- ggplot() +
geom_point(data=xy_df_filt, aes(x=x, y=y, colour = Clust)) +
scale_color_gradientn(colours = rainbow(breaks)) +
xlim(0,100) + ylim(0,100)
p4 <- xy_df_filt %>% dplyr::arrange(Test_Param) %>%
ggplot() +
geom_point(aes(x=1:length(Test_Param),y=Test_Param, colour = Test_Param)) +
scale_colour_gradient(low="red", high="green") +
facet_wrap(~Clust, scales="free")
grid.arrange(p1, p2, p3, p4, ncol=2, nrow=2)这个片段不工作-不能在dplyr mutate()内输送.
# Second Hierarchical Clustering: Try to sub-cluster by Test_Param within the individual clusters I've already defined above
xy_df_filt %>% # This part does not work
dplyr::group_by(Clust) %>%
dplyr::mutate(subClust = hclust(dist(.$Test_Param), method="single") %>%
cutree(, h=1))下面是一种使用循环的方法--但是我更愿意学习如何使用dplyr或其他一些非循环方法来完成这个任务。下面是显示子聚类面的更新图像。
sub_df <- data.frame()
for (i in unique(xy_df_filt$Clust)) {
temp_df <- xy_df_filt %>% dplyr::filter(Clust == i)
# Cluster data by (X,Y) location
a_d = 1
a_chc <- hclust(dist(temp_df$Test_Param), method="single")
# Distance with a d threshold - used d=40 at one time but that changes...
a_chc.d40 <- cutree(a_chc, h=a_d)
# max(chc.d40)
# Join results to main df
sub_df <- bind_rows(sub_df, data.frame(temp_df, subClust=a_chc.d40)) %>% dplyr::select(ID, subClust)
}
xy_df_filt_2 <- left_join(xy_df_filt,sub_df, by=c("ID"="ID"))
p4 <- xy_df_filt_2 %>% dplyr::arrange(Test_Param) %>%
ggplot() +
geom_point(aes(x=1:length(Test_Param),y=Test_Param, colour = subClust)) +
scale_colour_gradient(low="red", high="green") +
facet_wrap(~Clust, scales="free")
grid.arrange(p1, p2, p3, p4, ncol=2, nrow=2)

发布于 2018-04-14 23:47:18
应该有一种使用do和tidy组合的方法,但是我总是很难按照我想要的方式来使用do。相反,我通常做的是将基础R中的split和purrr中的map_dfr组合起来。split将通过Clust将数据分解,并给出一个数据格式列表,然后您可以将其映射到上面。map_dfr对每个数据文件进行映射,并返回一个数据文件。
我从您的xy_df_filt开始,生成了我认为应该与您从for循环中获得的xy_df_filt_2相同的内容。我做了两个情节,虽然这两组星系团有点难看。
xy_df_filt_2 <- xy_df_filt %>%
split(.$Clust) %>%
map_dfr(function(df) {
subClust <- hclust(dist(df$Test_Param), method = "single") %>% cutree(., h = 1)
bind_cols(df, subClust = subClust)
})
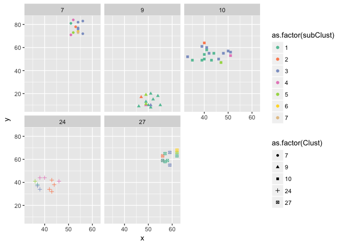
ggplot(xy_df_filt_2, aes(x = x, y = y, color = as.factor(subClust), shape = as.factor(Clust))) +
geom_point() +
scale_color_brewer(palette = "Set2")

清清楚楚
ggplot(xy_df_filt_2, aes(x = x, y = y, color = as.factor(subClust), shape = as.factor(Clust))) +
geom_point() +
scale_color_brewer(palette = "Set2") +
facet_wrap(~ Clust)

由reprex封装创建于2018-04-14 (v0.2.0)。
发布于 2018-04-14 17:36:23
你可以为你的子类做这件事。
xy_df_filt_2 <- xy_df_filt %>%
group_by(Clust) %>%
mutate(subClust = tibble(Test_Param) %>%
dist() %>%
hclust(method="single") %>%
cutree(h=1))嵌套管道没问题。我认为您的版本的问题在于您没有将正确的对象传递给dist。如果只将一个列传递给tibble,则不需要dist术语,但为了防止您像主集群一样使用几个列,我保留了它。
您可以使用相同的公式(但不使用group_by )从df_ex计算xy_df。
https://stackoverflow.com/questions/49784082
复制相似问题