我试图使用来自两个x0和y0坐标数组的数据来创建一个函数,该函数使用提供的x0和y0计算分段序列。
为此,我创建了一个函数
import numpy as np
import matplotlib.pylab as pl
def broken_line(x, x0, y0):
cl = []
fl = []
for i in range(len(x0)-1):
ab = np.polyfit(x0[i:i+2], y0[i:i+2], 1)
# Compute and append a "condition" interval
cl.append(np.logical_and(x >= x0[i], x <= x0[i+1]))
# Create a line function for the interval
fl.append(lambda x: x*ab[0] + ab[1])
return(np.piecewise(x, condlist=cl, funclist=fl))然后,为了测试它,我绘制了
x0 = np.array([1, 3, 5, 10])
y0 = np.array([2, 1, 5, 7])
x = np.linspace(1, 10, 30)
pl.plot(x, broken_line(x, x0, y0))
pl.plot(x0, y0)
pl.show()

然而,结果并不像我所期望的那样。我查看了关于这个主题的其他文章,包括这和另一个,以及numpy.piecewise文档。但是,我无法理解为什么代码不能像预期的那样工作。看起来只考虑了lambda的最后一个定义。欢迎提出建议。
发布于 2018-03-01 11:48:42
lambda定义中的ab是在周围的作用域中定义的,因此每次迭代都会发生变化。只有最后一次迭代的ab值反映在所有lambda函数中。
一个可能的解决方案是使用工厂方法创建lambda函数:
import numpy as np
import matplotlib.pylab as pl
def lambda_factory(ab):
return lambda x:x*ab[0]+ab[1]
def broken_line(x, x0, y0):
cl = []
fl = []
for i in range(len(x0)-1):
ab = np.polyfit(x0[i:i+2], y0[i:i+2], 1)
# Compute and append a "condition" interval
cl.append(np.logical_and(x >= x0[i], x <= x0[i+1]))
# Create a line function for the interval
fl.append(lambda_factory(ab))
return(np.piecewise(x, condlist=cl, funclist=fl))
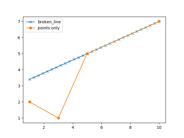
x0 = np.array([1, 3, 5, 10])
y0 = np.array([2, 1, 5, 7])
x = np.linspace(1, 10, 30)
pl.plot(x, broken_line(x, x0, y0))
pl.plot(x0, y0)
pl.show()另一种解决方案是将ab保存在指向lambda的变量中,从而使用
fl.append(lambda x, ab=ab:x*ab[0]+ab[1])在循环内。在这里,您将创建外部作用域变量ab的局部变量ab。
在这两种情况下,结果如下所示:

有关更多参考,请参见python常见问题
https://stackoverflow.com/questions/49047279
复制相似问题